NEET-XII-Chemistry
02: Solutions
- Qstn #26If
the density of some lake water is 1.25 g mL-1 and contains 92 g of Na+ ions per kg of water, calculate the molality of Na+ ions in the lake.Ans : Number of moles present
in 92 g of Na+ ions =
= 4 mol
Therefore, molality of
Na+ ions in the lake
= 4 m
- Qstn #27If
the solubility product of CuS is 6 × 10-16,
calculate the maximum molarity of CuS in aqueous solution.Ans : Solubility product of
CuS, Ksp = 6 × 10-16
Let s be the
solubility of CuS in mol L-1.

Now,
= s × s
= s2
Then, we have, Ksp =

= 2.45 × 10-8 mol L-1
Hence, the maximum
molarity of CuS in an aqueous solution is 2.45 × 10-8 mol L-1.
- Qstn #28Calculate
the mass percentage of aspirin (C9H8O4)
in acetonitrile (CH3CN)
when 6.5 g of C9H8O4 is dissolved in 450 g of CH3CN.Ans : 6.5
g of C9H8O4 is dissolved in 450 g of CH3CN.
Then,
total mass of the solution = (6.5 + 450) g
= 456.5 g
Therefore, mass
percentage ofC9H8O4
=
1.424%
- Qstn #29Nalorphene
(C19H21NO3),
similar to morphine, is used to combat withdrawal
symptoms
in narcotic users. Dose of nalorphene generally given is 1.5 mg.
Calculate
the mass of 1.5 × 10-3m
aqueous solution required for the above dose.Ans : The
molar mass of nalorphene
is given as:

In
1.5 × 10-3m aqueous solution of nalorphene,
1 kg
(1000 g) of water contains 1.5 × 10-3 mol

Therefore,
total mass of the solution

This
implies that the mass of the solution
containing 0.4665 g of nalorphene is 1000.4665 g.
Therefore,
mass of the solution containing 1.5 mg of nalorphene is:

Hence, the
mass of aqueous solution required is 3.22 g.
Note: There is a slight variation in this answer and the one given in the
NCERT textbook.
- Qstn #30Calculate
the amount of benzoic acid (C6H5COOH)
required for preparing 250 mL of 0.15 M solution in methanol.Ans : 0.15 M solution of
benzoic acid in methanol means,
1000 mL of solution
contains 0.15 mol of benzoic acid
Therefore, 250 mL of
solution contains =
mol of benzoic acid
= 0.0375 mol of
benzoic acid
Molar
mass of benzoic acid (C6H5COOH)
= 7 × 12 + 6 × 1 + 2 × 16
=
122 g mol-1
Hence, required benzoic
acid = 0.0375 mol × 122 g mol-1
= 4.575 g
- Qstn #31The
depression in freezing point of water observed for the same amount of
acetic acid, trichloroacetic acid and trifluoroacetic acid increases
in the order given above. Explain briefly.Ans :

Among H, Cl, and F, H
is least electronegative while F is most electronegative. Then, F can
withdraw electrons towards itself more than Cl and H. Thus,
trifluoroacetic acid can easily lose H+ ions i.e.,
trifluoroacetic acid ionizes to the largest extent. Now, the more
ions produced, the greater is the depression of the freezing point.
Hence, the depression in the freezing point increases in the order:
Acetic acid <
trichloroacetic acid < trifluoroacetic acid
- Qstn #32Calculate
the depression in the freezing point of water when 10 g of
CH3CH2CHClCOOH
is added to 250 g of water. Ka = 1.4 × 10-3, Kf = 1.86
K kg
mol-1.Ans : Molar
mass of


∴No.
of moles present in 10 g of

It
is given that 10 g of
is
added to 250 g of water.
∴Molality
of the solution,

Let α be the degree of dissociation of
undergoes
dissociation according to the following equation:



Since α is very small with respect to 1, 1 - α
≈
1
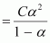
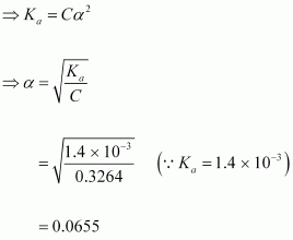
Now,


Again,

Total
moles of equilibrium = 1 - α
+ α
+ α
= 1
+ α


Hence, the
depression in the freezing point of water is given as:


- Qstn #3319.5
g of CH2FCOOH
is dissolved in 500 g of water. The depression in the freezing point
of water observed is 1.0°C. Calculate the van’t Hoff factor
and dissociation constant of fluoroacetic acid.Ans : It is
given that:

We know
that:

Therefore,
observed molar mass of
The
calculated molar mass of
is:

Therefore,
van’t Hoff factor,

Let
α
be the degree of dissociation of


Now,
the value of Ka is given as:


Taking
the volume of the solution as 500 mL, we have the concentration:

Therefore,


- Qstn #34Vapour
pressure of water at 293 Kis 17.535 mm Hg. Calculate the
vapour pressure of water at 293 Kwhen 25 g of glucose is dissolved in
450 g of water.Ans : Vapour pressure of
water,
=
17.535 mm of Hg
Mass of glucose, w2 = 25 g
Mass of water, w1 = 450 g
We know that,
Molar mass of glucose
(C6H12O6), M2 = 6
× 12 + 12 × 1 + 6 × 16
= 180 g mol-1
Molar mass of water, M1 = 18 g mol-1
Then, number of moles
of glucose,
= 0.139 mol
And, number of moles of
water,
= 25 mol
We know that,

⇒ 17.535 - p1 = 0.097
⇒ p1 = 17.44 mm of Hg
Hence, the vapour
pressure of water is 17.44 mm of Hg.
- Qstn #35Henry’s
law constant for the molality of methane in benzene at 298 Kis 4.27 × 105 mm Hg. Calculate the solubility of methane in benzene at 298 Kunder 760 mm Hg.Ans : Here,
p = 760 mm Hg
kH = 4.27 ×
105 mm Hg
According to Henry’s
law,
p = kHx

= 177.99 × 10-5
= 178 × 10-5 (approximately)
Hence, the mole
fraction of methane in benzene is 178 × 10-5.
- Qstn #36100
g of liquid A (molar mass 140 g mol-1)
was dissolved in 1000 g of liquid B (molar mass 180 g mol-1).
The vapour pressure of pure liquid B was found to be 500 torr.
Calculate the vapour pressure of pure liquid A and its vapour
pressure in the solution if the total vapour pressure of the solution
is 475 Torr.Ans : Number of moles of
liquid A,
= 0.714 mol
Number of moles of
liquid B,
= 5.556 mol
Then, mole fraction of
A,

= 0.114
And, mole fraction of
B, xB = 1 - 0.114
= 0.886
Vapour pressure of pure
liquid B,
=
500 torr
Therefore, vapour
pressure of liquid B in the solution,

= 500 × 0.886
= 443 torr
Total vapour pressure
of the solution, ptotal = 475 torr
Vapour
pressure of liquid A in the solution,
pA = ptotal - pB
= 475 - 443
= 32 torr
Now,


= 280.7 torr
Hence, the vapour
pressure of pure liquid A is 280.7 torr.
Page No 62:
- Qstn #37Vapour
pressure of pure acetone and chloroform at 328 K are 741.8 mm Hg and
632.8 mm Hg respectively. Assuming that they form ideal solution over
the entire range of composition, plot ptotal’ pchloroform’
and pacetone as a function of xacetone.
The experimental data observed for different compositions of mixture
is.
100 ×xacetone 0 11.8 23.4 36.0 50.8 58.2 64.5 72.1 pacetone /mm Hg 0 54.9 110.1 202.4 322.7 405.9 454.1 521.1 pchloroform/mm
Hg632.8 548.1 469.4 359.7 257.7 193.6 161.2 120.7 Ans : From the
question, we have the following data
100 ×xacetone 0 11.8 23.4 36.0 50.8 58.2 64.5 72.1 pacetone /mm Hg 0 54.9 110.1 202.4 322.7 405.9 454.1 521.1 pchloroform/mm
Hg632.8 548.1 469.4 359.7 257.7 193.6 161.2 120.7 ptota(mm
Hg)632.8 603.0 579.5 562.1 580.4 599.5 615.3 641.8 
It
can be observed from the graph that the plot for the ptotal of the solution curves downwards. Therefore, the solution shows
negative deviation from the ideal behaviour.
- Qstn #38Benzene and toluene form ideal solution over the entire range of composition. The vapour pressure of pure benzene and toluene at 300 K are 50.71 mm Hg and 32.06 mm Hg respectively. Calculate the mole fraction of benzene in vapour phase if 80 g of benzene is mixed with 100 g of toluene.Ans : Molar mass of benzene


Molar mass of toluene

Now, no. of moles present in 80 g of benzene

And, no. of moles present in 100 g of toluene

∴Mole fraction of benzene, xb
And, mole fraction of toluene,
It is given that vapour pressure of pure benzene,

And, vapour pressure of pure toluene,

Therefore, partial vapour pressure of benzene,


And, partial vapour pressure of toluene,


Hence, mole fraction of benzene in vapour phase is given by:


- Qstn #39The air is
a mixture of a number of gases. The major components are oxygen
and
nitrogen with approximate proportion of 20% is to 79% by volume at
298
K.
The water is in equilibrium with air at a pressure of 10 atm. At 298
Kif the
Henry’s
law constants for oxygen and nitrogen are 3.30 × 107 mm and 6.51 × 107 mm respectively, calculate the composition of these gases in water.Ans : Percentage
of oxygen (O2)
in air = 20 %
Percentage
of nitrogen (N2)
in air = 79%
Also, it
is given that water is in equilibrium with air at a total pressure of
10 atm, that is, (10 × 760) mm Hg = 7600 mm Hg
Therefore,
Partial
pressure of oxygen,
= 1520
mm Hg
Partial
pressure of nitrogen,
=
6004 mmHg
Now,
according to Henry’s law:
p = KH.x
For
oxygen:

For
nitrogen:

Hence,
the mole fractions of oxygen and nitrogen in water are 4.61 ×10-5and
9.22 × 10-5 respectively.
- Qstn #40Determine
the amount of CaCl2 (i =
2.47) dissolved in 2.5 litre of water such that its osmotic pressure
is 0.75 atm at 27°C.Ans : We
know that,


Here,
R
= 0.0821 L atm K-1mol-1
M
= 1 × 40 + 2 × 35.5
= 111g mol-1
Therefore, w
= 3.42 g
Hence,
the required amount of CaCl2 is 3.42 g.