NEET-XII-Physics
13: Nuclei
Note: Please signup/signin free to get personalized experience.
Note: Please signup/signin free to get personalized experience.
10 minutes can boost your percentage by 10%
Note: Please signup/signin free to get personalized experience.
- Qstn #24The neutron separation energy is defined as the energy required to remove a neutron from the nucleus. Obtain the neutron separation energies of the nuclei
and
from the following data:
= 39.962591 u
) = 40.962278 u
= 25.986895 u
) = 26.981541 u
Ans : For

For
A neutron
is removed from a
nucleus. The corresponding nuclear reaction can be written as:

It is given that:
Mass
= 39.962591 u
Mass
) = 40.962278 u
Mass
= 1.008665 u
The mass defect of this reaction is given as:
Δm =


∴Δm = 0.008978 × 931.5 MeV/c2
Hence, the energy required for neutron removal is calculated as:

For
, the neutron removal reaction can be written as:

It is given that:
Mass
= 26.981541 u
Mass
= 25.986895 u
The mass defect of this reaction is given as:

Hence, the energy required for neutron removal is calculated as:

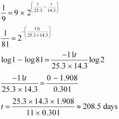
- Qstn #25A source contains two phosphorous radio nuclides
(T1/2 = 14.3d) and
(T1/2 = 25.3d). Initially, 10% of the decays come from
. How long one must wait until 90% do so?
Ans : Half life of
, T1/2 = 14.3 days
Half life of
, T’1/2 = 25.3 days
nucleus decay is 10% of the total amount of decay.
The source has initially 10% of
nucleus and 90% of
nucleus.
Suppose after t days, the source has 10% of
nucleus and 90% of
nucleus.
Initially:
Number of
nucleus = N
Number of
nucleus = 9 N
Finally:
Number of
Number of
For
nucleus, we can write the number ratio as:

For
, we can write the number ratio as:

On dividing equation (1) by equation (2), we get:

Hence, it will take about 208.5 days for 90% decay of
.
- Qstn #26Under certain circumstances, a nucleus can decay by emitting a particle more massive than an α-particle. Consider the following decay processes:


Calculate the Q-values for these decays and determine that both are energetically allowed.
Ans : Take a
emission nuclear reaction:

We know that:
Mass of
m1 = 223.01850 u
Mass of
m2 = 208.98107 u
Mass of
, m3 = 14.00324 u
Hence, the Q-value of the reaction is given as:
Q = (m1 - m2 - m3) c2
= (223.01850 - 208.98107 - 14.00324) c2
= (0.03419 c2) u
But 1 u = 931.5 MeV/c2
∴Q = 0.03419 × 931.5
= 31.848 MeV
Hence, the Q-value of the nuclear reaction is 31.848 MeV. Since the value is positive, the reaction is energetically allowed.
Now take a
emission nuclear reaction:

We know that:
Mass of
m1 = 223.01850
Mass of
m2 = 219.00948
Mass of
, m3 = 4.00260
Q-value of this nuclear reaction is given as:
Q = (m1 - m2 - m3) c2
= (223.01850 - 219.00948 - 4.00260) C2
= (0.00642 c2) u
= 0.00642 × 931.5 = 5.98 MeV
Hence, the Q value of the second nuclear reaction is 5.98 MeV. Since the value is positive, the reaction is energetically allowed.
- Qstn #27Consider the fission of
by fast neutrons. In one fission event, no neutrons are emitted and the final end products, after the beta decay of the primary fragments, are
and
. Calculate Q for this fission process. The relevant atomic and particle masses are
m
=238.05079 u
m
=139.90543 u
m
= 98.90594 u
Ans : In the fission of
, 10 β- particles decay from the parent nucleus. The nuclear reaction can be written as:

It is given that:
Mass of a nucleus
m1 = 238.05079 u
Mass of a nucleus
m2 = 139.90543 u
Mass of a nucleus
, m3 = 98.90594 u
Mass of a neutron
m4 = 1.008665 u
Q-value of the above equation,

Where,
m’ = Represents the corresponding atomic masses of the nuclei
= m1 - 92me
= m2 - 58me
= m3 - 44me
= m4

Hence, the Q-value of the fission process is 231.007 MeV.
- #28-aCalculate the energy released in MeV in this reaction from the data:
= 2.014102 u
= 3.016049 u
Ans : Take the D-T nuclear reaction:
It is given that:
Mass of
, m1= 2.014102 u
Mass of
, m2 = 3.016049 u
Mass of
m3 = 4.002603 u
Mass of
, m4 = 1.008665 u
Q-value of the given D-T reaction is:
Q = [m1 + m2- m3 - m4] c2
= [2.014102 + 3.016049 - 4.002603 - 1.008665] c2
= [0.018883 c2] u
But 1 u = 931.5 MeV/c2
∴Q = 0.018883 × 931.5 = 17.59 MeV
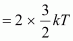
- #28-bConsider the radius of both deuterium and tritium to be approximately 2.0 fm. What is the kinetic energy needed to overcome the coulomb repulsion between the two nuclei? To what temperature must the gas be heated to initiate the reaction? (Hint: Kinetic energy required for one fusion event =average thermal kinetic energy available with the interacting particles = 2(3kT/2); k = Boltzman’s constant, T = absolute temperature.)Ans : Radius of deuterium and tritium, r ≈ 2.0 fm = 2 × 10-15 m
Distance between the two nuclei at the moment when they touch each other, d = r + r = 4 × 10-15 m
Charge on the deuterium nucleus = e
Charge on the tritium nucleus = e
Hence, the repulsive potential energy between the two nuclei is given as:

Where,
∈0 = Permittivity of free space


Hence, 5.76 × 10-14 J or
of kinetic energy (KE) is needed to overcome the Coulomb repulsion between the two nuclei.
However, it is given that:
KE
Where,
k = Boltzmann constant = 1.38 × 10-23 m2 kg s-2 K-1
T = Temperature required for triggering the reaction

Hence, the gas must be heated to a temperature of 1.39 × 109 K to initiate the reaction.
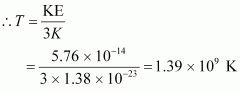
- Qstn #29Obtain the maximum kinetic energy of β-particles, and the radiation frequencies of γ decays in the decay scheme shown in Fig. 13.6. You are given that
m (198Au) = 197.968233 u
m (198Hg) =197.966760 u

Ans : It can be observed from the given γ-decay diagram that γ1 decays from the 1.088 MeV energy level to the 0 MeV energy level.
Hence, the energy corresponding to γ1-decay is given as:
E1 = 1.088 - 0 = 1.088 MeV
hν1= 1.088 × 1.6 × 10-19 × 106 J
Where,
h = Planck’s constant = 6.6 × 10-34 Js
ν1 = Frequency of radiation radiated by γ1-decay

It can be observed from the given γ-decay diagram that γ2 decays from the 0.412 MeV energy level to the 0 MeV energy level.
Hence, the energy corresponding to γ2-decay is given as:
E2 = 0.412 - 0 = 0.412 MeV
hν2= 0.412 × 1.6 × 10-19 × 106 J
Where,
ν2 = Frequency of radiation radiated by γ2-decay

It can be observed from the given γ-decay diagram that γ3 decays from the 1.088 MeV energy level to the 0.412 MeV energy level.
Hence, the energy corresponding to γ3-decay is given as:
E3 = 1.088 - 0.412 = 0.676 MeV
hν3= 0.676 × 10-19 × 106 J
Where,
ν3 = Frequency of radiation radiated by γ3-decay

Mass of
= 197.968233 u
Mass of
= 197.966760 u
1 u = 931.5 MeV/c2
Energy of the highest level is given as:

β1 decays from the 1.3720995 MeV level to the 1.088 MeV level
∴Maximum kinetic energy of the β1 particle = 1.3720995 - 1.088
= 0.2840995 MeV
β2 decays from the 1.3720995 MeV level to the 0.412 MeV level
∴Maximum kinetic energy of the β2 particle = 1.3720995 - 0.412
= 0.9600995 MeV
- Qstn #30Calculate and compare the energy released by a) fusion of 1.0 kg of hydrogen deep within Sun and b) the fission of 1.0 kg of 235U in a fission reactor.
Ans : a) Amount of hydrogen, m = 1 kg = 1000 g
1 mole, i.e., 1 g of hydrogen (
) contains 6.023 × 1023 atoms.
∴1000 g of
contains 6.023 × 1023 × 1000 atoms.
Within the sun, four
nuclei combine and form one
nucleus. In this process 26 MeV of energy is released.
Hence, the energy released from the fusion of 1 kg
is:

b) Amount of
= 1 kg = 1000 g
1 mole, i.e., 235 g of
contains 6.023 × 1023 atoms.
∴1000 g of
contains 
It is known that the amount of energy released in the fission of one atom of
is 200 MeV.
Hence, energy released from the fission of 1 kg of
is:

∴
Therefore, the energy released in the fusion of 1 kg of hydrogen is nearly 8 times the energy released in the fission of 1 kg of uranium.
- Qstn #31Suppose India had a target of producing by 2020 AD, 200,000 MW of electric power, ten percent of which was to be obtained from nuclear power plants. Suppose we are given that, on an average, the efficiency of utilization (i.e. conversion to electric energy) of thermal energy produced in a reactor was 25%. How much amount of fissionable uranium would our country need per year by 2020? Take the heat energy per fission of 235U to be about 200MeV.
Ans : Amount of electric power to be generated, P = 2 × 105 MW
10% of this amount has to be obtained from nuclear power plants.
∴Amount of nuclear power,
= 2 × 104 MW
= 2 × 104 × 106 J/s
= 2 × 1010 × 60 × 60 × 24 × 365 J/y
Heat energy released per fission of a 235U nucleus, E = 200 MeV
Efficiency of a reactor = 25%
Hence, the amount of energy converted into the electrical energy per fission is calculated as:

Number of atoms required for fission per year:

1 mole, i.e., 235 g of U235 contains 6.023 × 1023 atoms.
∴Mass of 6.023 × 1023 atoms of U235 = 235 g = 235 × 10-3 kg
∴Mass of 78840 × 1024 atoms of U235


Hence, the mass of uranium needed per year is 3.076 × 104 kg.