NEET-XII-Chemistry
04: Chemical Kinetics
- Qstn #1-iiiCH3CHO(g) → CH4(g) + CO(g) Rate = k [CH3CHO]3/2Ans : Given rate = k [CH3CHO]3/2
Therefore, order of reaction =
Dimension of

- Qstn #1-ivC2H5Cl(g) → C2H4(g) + HCl(g) Rate = k [C2H5Cl]Ans : Given rate = k [C2H5Cl]
Therefore, order of the reaction = 1
Dimension of

- Qstn #2For the reaction:
2A + B → A2B
the rate = k[A][B]2 with k = 2.0 × 10-6 mol-2 L2 s-1. Calculate the initial rate of the reaction when [A] = 0.1 mol L-1, [B] = 0.2 mol L-1. Calculate the rate of reaction after [A] is reduced to 0.06 mol L-1.
Ans : The initial rate of the reaction is
Rate = k [A][B]2
= (2.0 × 10-6 mol-2 L2 s-1) (0.1 mol L-1) (0.2 mol L-1)2
= 8.0 × 10-9 mol-2 L2 s-1
When [A] is reduced from 0.1 mol L-1 to 0.06 mol-1, the concentration of A reacted = (0.1 - 0.06) mol L-1 = 0.04 mol L-1
Therefore, concentration of B reacted
= 0.02 mol L-1
Then, concentration of B available, [B] = (0.2 - 0.02) mol L-1
= 0.18 mol L-1
After [A] is reduced to 0.06 mol L-1, the rate of the reaction is given by,
Rate = k [A][B]2
= (2.0 × 10-6 mol-2 L2 s-1) (0.06 mol L-1) (0.18 mol L-1)2
= 3.89 mol L-1 s-1
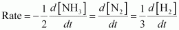
- Qstn #3The decomposition of NH3 on platinum surface is zero order reaction. What are the rates of production of N2 and H2 if k = 2.5 × 10-4 mol-1 L s-1?
Ans : The decomposition of NH3 on platinum surface is represented by the following equation.

Therefore,

However, it is given that the reaction is of zero order.
Therefore,

Therefore, the rate of production of N2 is

And, the rate of production of H2 is

= 7.5 × 10-4 mol L-1 s-1
- Qstn #4The decomposition of dimethyl ether leads to the formation of CH4, H2 and CO and the reaction rate is given by
Rate = k [CH3OCH3]3/2
The rate of reaction is followed by increase in pressure in a closed vessel, so the rate can also be expressed in terms of the partial pressure of dimethyl ether, i.e.,

If the pressure is measured in bar andtime in minutes, then what are the units of rate and rate constants?
Ans : If pressure is measured in bar and time in minutes, then
Unit of rate = bar min-1


Therefore, unit of rate constants

- Qstn #5Mention the factors that affect the rate of a chemical reaction.
Ans : The factors that affect the rate of a reaction are as follows.
(i) Concentration of reactants (pressure in case of gases)
(ii) Temperature
(iii) Presence of a catalyst
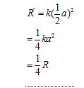
- Qstn #6A reaction is second order with respect to a reactant. How is the rate of reaction affected if the concentration of the reactant is
Ans : Letthe concentration of the reactant be [A] = a
Rate of reaction, R = k [A]2
= ka2
- Qstn #6-idoubledAns : If the concentration of the reactant is doubled, i.e. [A] = 2a, then the rate of the reaction would be

= 4ka2
= 4 R
Therefore, the rate of the reaction would increase by 4 times.
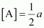
- Qstn #6-iireduced to half?Ans : If the concentration of the reactant is reduced to half, i.e.
, then the rate of the reaction would be

Therefore, the rate of the reaction would be reduced to
- Qstn #7What is the effect of temperature on the rate constant of a reaction? How can this temperature effect on rate constant be represented quantitatively?
Ans : The rate constant is nearly doubled with a rise in temperature by 10° for a chemical reaction.
The temperature effect on the rate constant can be represented quantitatively by Arrhenius equation,

where, k is the rate constant,
A is the Arrhenius factor or the frequency factor,
R is the gas constant,
T is the temperature, and
Ea is the energy of activation for the reaction
- Qstn #8In a pseudo first order hydrolysis of ester in water, the following results were obtained:
t/s
0
30
60
90
[Ester]mol L-1
0.55
0.31
0.17
0.085
- Qstn #8-iCalculate the average rate of reaction between the time interval 30 to 60 seconds.Ans : Average rate of reaction between the time interval, 30 to 60 seconds,


= 4.67 × 10-3 mol L-1 s-1
- Qstn #8-iiCalculate the pseudo first order rate constant for the hydrolysis of ester.Ans : For a pseudo first order reaction,

For t = 30 s,
= 1.911 × 10-2 s-1
For t = 60 s,
= 1.957 × 10-2 s-1
For t = 90 s,
= 2.075 × 10-2 s-1
Then, average rate constant,
