NEET-XII-Chemistry
04: Chemical Kinetics
- Qstn #9-iiHow is the rate affected on increasing the concentration of B three times?Ans : If the concentration of B is increased three times, then

Therefore, the rate of reaction will increase 9 times.
- Qstn #9-iiiHow is the rate affected when the concentrations of both A and B are doubled?Ans : When the concentrations of both A and B are doubled,

Therefore, the rate of reaction will increase 8 times.
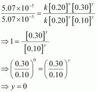
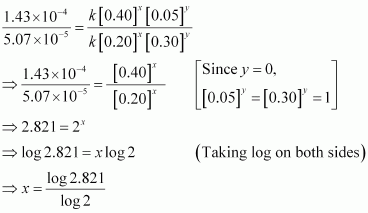
- Qstn #10In a reaction between A and B, the initial rate of reaction (r0) was measured for different initial concentrations of A and B as given below:
-
A/ mol L-1
0.20
0.20
0.40
B/ mol L-1
0.30
0.10
0.05
r0/ mol L-1 s-1
5.07 × 10-5
5.07 × 10-5
1.43 × 10-4
What is the order of the reaction with respect to A and B?
Ans : Let the order of the reaction with respect to A be x and with respect to B be y.
Therefore,

Dividing equation (i) by (ii), we obtain

Dividing equation (iii) by (ii), we obtain

= 1.496
= 1.5 (approximately)
Hence, the order of the reaction with respect to A is 1.5 and with respect to B is zero.
-
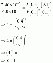
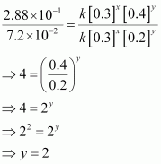
- Qstn #11The following results have been obtained during the kinetic studies of the reaction:
2A + B → C + D
-
Experiment
A/ mol L-1
B/ mol L-1
Initial rate of formation of D/mol L-1 min-1
I
0.1
0.1
6.0 × 10-3
II
0.3
0.2
7.2 × 10-2
III
0.3
0.4
2.88 × 10-1
IV
0.4
0.1
2.40 × 10-2
Determine the rate law and the rate constant for the reaction.
Ans : Let the order of the reaction with respect to A be x and with respect to B be y.
Therefore, rate of the reaction is given by,

According to the question,

Dividing equation (iv) by (i), we obtain

Dividing equation (iii) by (ii), we obtain

Therefore, the rate law is
Rate = k [A] [B]2


From experiment I, we obtain

= 6.0 L2 mol-2 min-1
From experiment II, we obtain

= 6.0 L2 mol-2 min-1
From experiment III, we obtain

= 6.0 L2 mol-2 min-1
From experiment IV, we obtain

= 6.0 L2 mol-2 min-1
Therefore, rate constant, k = 6.0 L2 mol-2 min-1
-
- Qstn #12The reaction between A and B is first order with respect to A and zero order with respect to B. Fill in the blanks in the following table:
-
Experiment
A/ mol L-1
B/ mol L-1
Initial rate/mol L-1 min-1
I
0.1
0.1
2.0 × 10-2
II
—
0.2
4.0 × 10-2
III
0.4
0.4
—
IV
—
0.2
2.0 × 10-2
Ans : The given reaction is of the first order with respect to A and of zero order with respect to B.
Therefore, the rate of the reaction is given by,
Rate = k [A]1 [B]0
⇒ Rate = k [A]
From experiment I, we obtain
2.0 × 10-2 mol L-1 min-1 = k (0.1 mol L-1)
⇒ k = 0.2 min-1
From experiment II, we obtain
4.0 × 10-2 mol L-1 min-1 = 0.2 min-1 [A]
⇒ [A] = 0.2 mol L-1
From experiment III, we obtain
Rate = 0.2 min-1 × 0.4 mol L-1
= 0.08 mol L-1 min-1
From experiment IV, we obtain
2.0 × 10-2 mol L-1 min-1 = 0.2 min-1 [A]
⇒ [A] = 0.1 mol L-1
-
- Qstn #14The half-life for radioactive decay of 14C is 5730 years. An archaeological artifact containing wood had only 80% of the 14C found in a living tree. Estimate the age of the sample.
Ans : Here,


It is known that,

= 1845 years (approximately)
Hence, the age of the sample is 1845 years.
- Qstn #15The experimental data for decomposition of N2O5

in gas phase at 318K are given below:
-
t(s)
0 400 800 1200 1600 2000 2400 2800 3200 
1.63 1.36 1.14 0.93 0.78 0.64 0.53 0.43 0.35
-
- Qstn #15-iiFind the half-life period for the reaction.Ans : Time corresponding to the concentration,
is the half life. From the graph, the half life is obtained as 1450 s.
- Qstn #15-iiiDraw a graph between log [N2O5] and t.Ans :
-
t(s)


0
1.63
- 1.79
400
1.36
- 1.87
800
1.14
- 1.94
1200
0.93
- 2.03
1600
0.78
- 2.11
2000
0.64
- 2.19
2400
0.53
- 2.28
2800
0.43
- 2.37
3200
0.35
- 2.46

-
- Qstn #15-ivWhat is the rate law?Ans : The given reaction is of the first order as the plot,
v/s t, is a straight line. Therefore, the rate law of the reaction is

