NEET-XII-Chemistry
04: Chemical Kinetics
- #9-iWrite the differential rate equation.
() How is the rate affected on increasing the concentration of B three times?
() How is the rate affected when the concentrations of both A and B are doubled?Ans : The differential rate equation will be

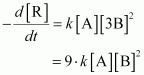
() If the concentration of B is increased three times, then

Therefore, the rate of reaction will increase 9 times.
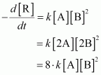
() When the concentrations of both A and B are doubled,

Therefore, the rate of reaction will increase 8 times.
- #9-iiHow is the rate affected on increasing the concentration of B three times?Ans : If the concentration of B is increased three times, then

Therefore, the rate of reaction will increase 9 times.
- #9-iiiHow is the rate affected when the concentrations of both A and B are doubled?Ans : When the concentrations of both A and B are doubled,

Therefore, the rate of reaction will increase 8 times.