NEET-XII-Chemistry
04: Chemical Kinetics
- #15-iPlot [N2O5] against t.
() Find the half-life period for the reaction.
() Draw a graph between log [N2O5] and t.
() What is the rate law?
() Calculate the rate constant.
() Calculate the half-life period from k and compare it with (ii).Ans :

() Time corresponding to the concentration,
is the half life. From the graph, the half life is obtained as 1450 s.
()-
t(s)


0
1.63
- 1.79
400
1.36
- 1.87
800
1.14
- 1.94
1200
0.93
- 2.03
1600
0.78
- 2.11
2000
0.64
- 2.19
2400
0.53
- 2.28
2800
0.43
- 2.37
3200
0.35
- 2.46

() The given reaction is of the first order as the plot,
v/s t, is a straight line. Therefore, the rate law of the reaction is

() From the plot,
v/s t, we obtain

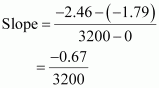
Again, slope of the line of the plot
v/s t is given by
.
Therefore, we obtain,


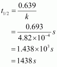
() Half-life is given by,

This value, 1438 s, is very close to the value that was obtained from the graph.
-
- #15-iiFind the half-life period for the reaction.Ans : Time corresponding to the concentration,
is the half life. From the graph, the half life is obtained as 1450 s.
- #15-iiiDraw a graph between log [N2O5] and t.Ans :
-
t(s)


0
1.63
- 1.79
400
1.36
- 1.87
800
1.14
- 1.94
1200
0.93
- 2.03
1600
0.78
- 2.11
2000
0.64
- 2.19
2400
0.53
- 2.28
2800
0.43
- 2.37
3200
0.35
- 2.46

-
- #15-ivWhat is the rate law?Ans : The given reaction is of the first order as the plot,
v/s t, is a straight line. Therefore, the rate law of the reaction is

- #15-vCalculate the rate constant.Ans : From the plot,
v/s t, we obtain

Again, slope of the line of the plot
v/s t is given by
.
Therefore, we obtain,


- #15-viCalculate the half-life period from k and compare it with (ii).Ans : Half-life is given by,

This value, 1438 s, is very close to the value that was obtained from the graph.