NEET-XII-Chemistry
04: Chemical Kinetics
- #4 - Chemical Kinetics
- #Section : ISECTION I Page No 98:
- Qstn #1For the reaction R → P, the concentration of a reactant changes from 0.03 M to 0.02 M in 25 minutes. Calculate the average rate of reaction using units of time both in minutes and seconds.
Ans : Average rate of reaction

= 6.67 × 10-6 M s-1
- Qstn #2In a reaction, 2A → Products, the concentration of A decreases from 0.5 mol L-1 to 0.4 mol L-1 in 10 minutes. Calculate the rate during this interval?
Ans : Average rate

= 0.005 mol L-1 min-1
= 5 × 10-3 M min-1
SECTION I SECTION I Page No 103:
- Qstn #3For a reaction, A + B → Product; the rate law is given by,
. What is the order of the reaction?
Ans : The order of the reaction

= 2.5
- Qstn #4The conversion of molecules X to Y follows second order kinetics. If concentration of X is increased to three times how will it affect the rate of formation of Y?
Ans : The reaction X → Y follows second order kinetics.
Therefore, the rate equation for this reaction will be:
Rate = k[X]2 (1)
Let [X] = a mol L-1, then equation (1) can be written as:
Rate1 = k .(a)2
= ka2
If the concentration of X is increased to three times, then [X] = 3a mol L-1
Now, the rate equation will be:
Rate = k (3a)2
= 9(ka2)
Hence, the rate of formation will increase by 9 times.
SECTION I SECTION I Page No 111:
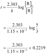
- Qstn #5A first order reaction has a rate constant 1.15 10-3 s-1. How long will 5 g of this reactant take to reduce to 3 g?
Ans : From the question, we can write down the following information:
Initial amount = 5 g
Final concentration = 3 g
Rate constant = 1.15 10-3 s-1
We know that for a 1st order reaction,

= 444.38 s
= 444 s (approx)
- Qstn #6Time required to decompose SO2Cl2 to half of its initial amount is 60 minutes. If the decomposition is a first order reaction, calculate the rate constant of the reaction.
Ans : We know that for a 1st order reaction,

It is given that t1/2 = 60 min

SECTION I SECTION I Page No 116:
- Qstn #7What will be the effect of temperature on rate constant?
Ans : The rate constant of a reaction is nearly doubled with a 10° rise in temperature. However, the exact dependence of the rate of a chemical reaction on temperature is given by Arrhenius equation,

Where,
A is the Arrhenius factor or the frequency factor
T is the temperature
R is the gas constant
Ea is the activation energy
- Qstn #8The rate of the chemical reaction doubles for an increase of 10 K in absolute temperature from 298 K. Calculate Ea.
Ans : It is given that T1 = 298 K
∴T2 = (298 + 10) K
= 308 K
We also know that the rate of the reaction doubles when temperature is increased by 10°.
Therefore, let us take the value of k1 = k and that of k2 = 2k
Also, R = 8.314 J K-1 mol-1
Now, substituting these values in the equation:

We get:


= 52897.78 J mol-1
= 52.9 kJ mol-1
Note: There is a slight variation in this answer and the one given in the NCERT textbook.
- Qstn #9The activation energy for the reaction
2HI(g) → H2 + I2(g)
is 209.5 kJ mol-1 at 581K. Calculate the fraction of molecules of reactants having energy equal to or greater than activation energy?
Ans : In the given case:
Ea = 209.5 kJ mol-1 = 209500 J mol-1
T = 581 K
R = 8.314 JK-1 mol-1
Now, the fraction of molecules of reactants having energy equal to or greater than activation energy is given as:
x=e-Ea/RT⇒Inx=-EaRT⇒logx=-Ea2.303RT⇒logx=-209500Jmol-12.303×8.314JK-1mol-1×581=-18.8323Now,x=Antilog-18.8323=1.471×10-19
- #Section : IISECTION I Page No 117:
- Qstn #1From the rate expression for the following reactions, determine their order of reaction and the dimensions of the rate constants.
- Qstn #1-i3 NO(g) → N2O (g) Rate = k[NO]2Ans : Given rate = k [NO]2
Therefore, order of the reaction = 2
Dimension of

- Qstn #1-iiH2O2 (aq) + 3 I- (aq) + 2 H+ → 2 H2O (l) +
Rate = k[H2O2][I-]Ans : Given rate = k [H2O2] [I-]
Therefore, order of the reaction = 2
Dimension of
