back
refresh
Sign up
Home
Learn Fast
select Course
Show Unit/Chapter
Change Unit
Change Subject
Last Menu
NEET-XII-Chemistry
04: Chemical Kinetics
Previous Unit
Next Unit
page 3
Qstn# II-16
Prvs-Qstn
Next-Qstn
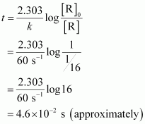
#16
The rate constant for a first order reaction is 60 s
-1
. How much time will it take to reduce the initial concentration of the reactant to its 1/16
th
value?
Hide Answer
Ans
:
It is known that,
Hence, the required time is 4.6 × 10
-2
s.
+