NEET-XII-Physics
11: Dual Nature Of Radiation And Matter
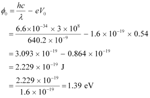
- #27Monochromatic radiation of wavelength 640.2 nm (1nm = 10-9 m) from a neon lamp irradiates photosensitive material made of caesium on tungsten. The stopping voltage is measured to be 0.54 V. The source is replaced by an iron source and its 427.2 nm line irradiates the same photo-cell. Predict the new stopping voltage.
Ans : Wavelength of the monochromatic radiation, λ = 640.2 nm
= 640.2 × 10-9 m
Stopping potential of the neon lamp, V0 = 0.54 V
Charge on an electron, e = 1.6 × 10-19 C
Planck’s constant, h = 6.6 × 10-34 Js
Let
be the work function and ν be the frequency of emitted light.
We have the photo-energy relation from the photoelectric effect as:
eV0 = hν -.gif)

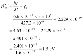
Wavelength of the radiation emitted from an iron source, λ‘ = 427.2 nm
= 427.2 × 10-9 m
Let
be the new stopping potential. Hence, photo-energy is given as:

Hence, the new stopping potential is 1.50 eV.