NEET-XII-Physics
09: Ray Optics And Optical Instruments
Note: Please signup/signin free to get personalized experience.
Note: Please signup/signin free to get personalized experience.
10 minutes can boost your percentage by 10%
Note: Please signup/signin free to get personalized experience.
- #18-bA virtual image, we always say, cannot be caught on a screen.
Yet when we ‘see’ a virtual image, we are obviously bringing it on to the ‘screen’ (i.e., the retina) of our eye. Is there a contradiction?
Ans : No
A virtual image is formed when light rays diverge. The convex lens of the eye causes these divergent rays to converge at the retina. In this case, the virtual image serves as an object for the lens to produce a real image.
- #18-cA diver under water, looks obliquely at a fisherman standing on the bank of a lake. Would the fisherman look taller or shorter to the diver than what he actually is?Ans : The diver is in the water and the fisherman is on land (i.e., in air). Water is a denser medium than air. It is given that the diver is viewing the fisherman. This indicates that the light rays are travelling from a denser medium to a rarer medium. Hence, the refracted rays will move away from the normal. As a result, the fisherman will appear to be taller.
- #18-dDoes the apparent depth of a tank of water change if viewed obliquely? If so, does the apparent depth increase or decrease?Ans : Yes; Decrease
The apparent depth of a tank of water changes when viewed obliquely. This is because light bends on travelling from one medium to another. The apparent depth of the tank when viewed obliquely is less than the near-normal viewing.
- #18-eThe refractive index of diamond is much greater than that of ordinary glass. Is this fact of some use to a diamond cutter?Ans : Yes
The refractive index of diamond (2.42) is more than that of ordinary glass (1.5). The critical angle for diamond is less than that for glass. A diamond cutter uses a large angle of incidence to ensure that the light entering the diamond is totally reflected from its faces. This is the reason for the sparkling effect of a diamond.
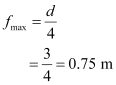
- Qstn #19The image of a small electric bulb fixed on the wall of a room is to be obtained on the opposite wall 3 m away by means of a large convex lens. What is the maximum possible focal length of the lens required for the purpose?
Ans : Distance between the object and the image, d = 3 m
Maximum focal length of the convex lens =
For real images, the maximum focal length is given as:

Hence, for the required purpose, the maximum possible focal length of the convex lens is 0.75 m.
- Qstn #20A screen is placed 90 cm from an object. The image of the object on the screen is formed by a convex lens at two different locations separated by 20 cm. Determine the focal length of the lens.
Ans : Distance between the image (screen) and the object, D = 90 cm
Distance between two locations of the convex lens, d = 20 cm
Focal length of the lens = f
Focal length is related to d and D as:

Therefore, the focal length of the convex lens is 21.39 cm.
- #21Ans : Focal length of the convex lens, f1 = 30 cm
Focal length of the concave lens, f2 = -20 cm
Distance between the two lenses, d = 8.0 cm
- #21-aDetermine the ‘effective focal length’ of the combination of the two lenses in Exercise 9.10, if they are placed 8.0 cm apart with their principal axes coincident. Does the answer depend on which side of the combination a beam of parallel light is incident? Is the notion of effective focal length of this system useful at all?Ans : When the parallel beam of light is incident on the convex lens first:
According to the lens formula, we have:

Where,
= Object distance = ∞
v1 = Image distance

The image will act as a virtual object for the concave lens.
Applying lens formula to the concave lens, we have:

Where,
= Object distance
= (30 - d) = 30 - 8 = 22 cm
= Image distance

The parallel incident beam appears to diverge from a point that is
from the centre of the combination of the two lenses.
(ii) When the parallel beam of light is incident, from the left, on the concave lens first:
According to the lens formula, we have:

Where,
= Object distance = -∞
= Image distance

The image will act as a real object for the convex lens.
Applying lens formula to the convex lens, we have:

Where,
= Object distance
= -(20 + d) = -(20 + 8) = -28 cm
= Image distance

Hence, the parallel incident beam appear to diverge from a point that is (420 - 4) 416 cm from the left of the centre of the combination of the two lenses.
The answer does depend on the side of the combination at which the parallel beam of light is incident. The notion of effective focal length does not seem to be useful for this combination.
- #21-bAn object 1.5 cm in size is placed on the side of the convex lens in the arrangement (a) above. The distance between the object and the convex lens is 40 cm. Determine the magnification produced by the two-lens system, and the size of the image.Ans : Height of the image, h1 = 1.5 cm
Object distance from the side of the convex lens,

According to the lens formula:

Where,
= Image distance

Magnification,

Hence, the magnification due to the convex lens is 3.
The image formed by the convex lens acts as an object for the concave lens.
According to the lens formula:

Where,
= Object distance
= +(120 - 8) = 112 cm.
= Image distance

Magnification,

Hence, the magnification due to the concave lens is
.
The magnification produced by the combination of the two lenses is calculated as:

The magnification of the combination is given as:

Where,
h1 = Object size = 1.5 cm
h2 = Size of the image

Hence, the height of the image is 0.98 cm.
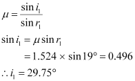
- Qstn #22At what angle should a ray of light be incident on the face of a prism of refracting angle 60° so that it just suffers total internal reflection at the other face? The refractive index of the material of the prism is 1.524.
Ans : The incident, refracted, and emergent rays associated with a glass prism ABC are shown in the given figure.

Angle of prism, ∠A = 60°
Refractive index of the prism, µ = 1.524
= Incident angle
= Refracted angle
= Angle of incidence at the face AC
e = Emergent angle = 90°
According to Snell’s law, for face AC, we can have:

It is clear from the figure that angle

According to Snell’s law, we have the relation:

Hence, the angle of incidence is 29.75°.
- Qstn #23You are given prisms made of crown glass and flint glass with a wide variety of angles. Suggest a combination of prisms which will
- #23-adeviate a pencil of white light without much dispersion,
(b) disperse (and displace) a pencil of white light without much deviation.
(b) disperse (and displace) a pencil of white light without much deviation.Ans : Place the two prisms beside each other. Make sure that their bases are on the opposite sides of the incident white light, with their faces touching each other. When the white light is incident on the first prism, it will get dispersed. When this dispersed light is incident on the second prism, it will recombine and white light will emerge from the combination of the two prisms.
(b) Take the system of the two prisms as suggested in answer (a). Adjust (increase) the angle of the flint-glass-prism so that the deviations due to the combination of the prisms become equal. This combination will disperse the pencil of white light without much deviation.
(b) Take the system of the two prisms as suggested in answer (a). Adjust (increase) the angle of the flint-glass-prism so that the deviations due to the combination of the prisms become equal. This combination will disperse the pencil of white light without much deviation.
- #23-bdisperse (and displace) a pencil of white light without much deviation.Ans : Take the system of the two prisms as suggested in answer (a). Adjust (increase) the angle of the flint-glass-prism so that the deviations due to the combination of the prisms become equal. This combination will disperse the pencil of white light without much deviation.
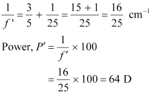
- Qstn #24For a normal eye, the far point is at infinity and the near point of distinct vision is about 25cm in front of the eye. The cornea of the eye provides a converging power of about 40 dioptres, and the least converging power of the eye-lens behind the cornea is about 20 dioptres. From this rough data estimate the range of accommodation (i.e., the range of converging power of the eye-lens) of a normal eye.
Ans : Least distance of distinct vision, d = 25 cm
Far point of a normal eye,
Converging power of the cornea,
Least converging power of the eye-lens,
To see the objects at infinity, the eye uses its least converging power.
Power of the eye-lens, P = Pc + Pe = 40 + 20 = 60 D
Power of the eye-lens is given as:

To focus an object at the near point, object distance (u) = -d = -25 cm
Focal length of the eye-lens = Distance between the cornea and the retina
= Image distance
Hence, image distance,
According to the lens formula, we can write:

Where,
= Focal length

∴Power of the eye-lens = 64 - 40 = 24 D
Hence, the range of accommodation of the eye-lens is from 20 D to 24 D.
- Qstn #25Does short-sightedness (myopia) or long-sightedness (hypermetropia) imply necessarily that the eye has partially lost its ability of accommodation? If not, what might cause these defects of vision?
Ans : A myopic or hypermetropic person can also possess the normal ability of accommodation of the eye-lens. Myopia occurs when the eye-balls get elongated from front to back. Hypermetropia occurs when the eye-balls get shortened. When the eye-lens loses its ability of accommodation, the defect is called presbyopia.