NEET-XII-Physics
08: Electromagnetic Waves
Note: Please signup/signin free to get personalized experience.
Note: Please signup/signin free to get personalized experience.
10 minutes can boost your percentage by 10%
Note: Please signup/signin free to get personalized experience.
- #8 - Electromagnetic Waves
- Qstn #1Figure 8.6 shows a capacitor made of two circular plates each of radius 12 cm, and separated by 5.0 cm. The capacitor is being charged by an external source (not shown in the figure). The charging current is constant and equal to 0.15 A.
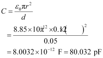
Ans : Radius of each circular plate, r = 12 cm = 0.12 m
Distance between the plates, d = 5 cm = 0.05 m
Charging current, I = 0.15 A
Permittivity of free space,
= 8.85 × 10-12 C2 N-1 m-2
- #1-aCalculate the capacitance and the rate of charge of potential difference between the plates.Ans : Capacitance between the two plates is given by the relation,
C
Where,
A = Area of each plate

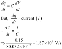
Charge on each plate, q = CV
Where,
V = Potential difference across the plates
Differentiation on both sides with respect to time (t) gives:

Therefore, the change in potential difference between the plates is 1.87 ×109 V/s.
- #1-bObtain the displacement current across the plates.Ans : The displacement current across the plates is the same as the conduction current. Hence, the displacement current, id is 0.15 A.
- #1-cIs Kirchhoff’s first rule (junction rule) valid at each plate of the capacitor? Explain.

Ans : Yes
Kirchhoff’s first rule is valid at each plate of the capacitor provided that we take the sum of conduction and displacement for current.
- Qstn #2A parallel plate capacitor (Fig. 8.7) made of circular plates each of radius R = 6.0 cm has a capacitance C = 100 pF. The capacitor is connected to a 230 V ac supply with a (angular) frequency of 300 rad s-1.
Ans : Radius of each circular plate, R = 6.0 cm = 0.06 m
Capacitance of a parallel plate capacitor, C = 100 pF = 100 × 10-12 F
Supply voltage, V = 230 V
Angular frequency, ω = 300 rad s-1
- #2-aWhat is the rms value of the conduction current?Ans : Rms value of conduction current, I

Where,
XC = Capacitive reactance

∴ I = V × ωC
= 230 × 300 × 100 × 10-12
= 6.9 × 10-6 A
= 6.9 μA
Hence, the rms value of conduction current is 6.9 μA.
- #2-bIs the conduction current equal to the displacement current?Ans : Yes, conduction current is equal to displacement current.
- #2-cDetermine the amplitude of B at a point 3.0 cm from the axis between the plates.

Ans : Magnetic field is given as:
B
Where,
μ0 = Free space permeability
I0 = Maximum value of current =
r = Distance between the plates from the axis = 3.0 cm = 0.03 m
∴B
= 1.63 × 10-11 T
Hence, the magnetic field at that point is 1.63 × 10-11 T.
- Qstn #3What physical quantity is the same for X-rays of wavelength 10-10 m, red light of wavelength 6800 Ã… and radiowaves of wavelength 500 m?
Ans : The speed of light (3 × 108 m/s) in a vacuum is the same for all wavelengths. It is independent of the wavelength in the vacuum.
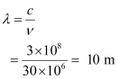
- Qstn #4A plane electromagnetic wave travels in vacuum along z-direction. What can you say about the directions of its electric and magnetic field vectors? If the frequency of the wave is 30 MHz, what is its wavelength?
Ans : The electromagnetic wave travels in a vacuum along the z-direction. The electric field (E) and the magnetic field (H) are in the x-y plane. They are mutually perpendicular.
Frequency of the wave, ν = 30 MHz = 30 × 106 s-1
Speed of light in a vacuum, c = 3 × 108 m/s
Wavelength of a wave is given as:

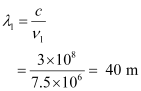
- Qstn #5A radio can tune in to any station in the 7.5 MHz to 12 MHz band. What is the corresponding wavelength band?
Ans : A radio can tune to minimum frequency, ν1 = 7.5 MHz= 7.5 × 106 Hz
Maximum frequency, ν2 = 12 MHz = 12 × 106 Hz
Speed of light, c = 3 × 108 m/s
Corresponding wavelength for ν1 can be calculated as:

Corresponding wavelength for ν2 can be calculated as:

Thus, the wavelength band of the radio is 40 m to 25 m.
- Qstn #6A charged particle oscillates about its mean equilibrium position with a frequency of 109 Hz. What is the frequency of the electromagnetic waves produced by the oscillator?
Ans : The frequency of an electromagnetic wave produced by the oscillator is the same as that of a charged particle oscillating about its mean position i.e., 109 Hz.
- Qstn #7The amplitude of the magnetic field part of a harmonic electromagnetic wave in vacuum is B0 = 510 nT. What is the amplitude of the electric field part of the wave?
Ans : Amplitude of magnetic field of an electromagnetic wave in a vacuum,
B0 = 510 nT = 510 × 10-9 T
Speed of light in a vacuum, c = 3 × 108 m/s
Amplitude of electric field of the electromagnetic wave is given by the relation,
E = cB0
= 3 × 108 × 510 × 10-9 = 153 N/C
Therefore, the electric field part of the wave is 153 N/C.
- Qstn #8Suppose that the electric field amplitude of an electromagnetic wave is E0 = 120 N/C and that its frequency is ν = 50.0 MHz.Ans : Electric field amplitude, E0 = 120 N/C
Frequency of source, ν = 50.0 MHz = 50 × 106 Hz
Speed of light, c = 3 × 108 m/s