NEET-XII-Physics
04: Moving Charges And Magnetism
Note: Please signup/signin free to get personalized experience.
Note: Please signup/signin free to get personalized experience.
10 minutes can boost your percentage by 10%
Note: Please signup/signin free to get personalized experience.
- #Chapter 4 - Moving Charges And Magnetism
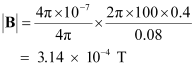
- Qstn #1A circular coil of wire consisting of 100 turns, each of radius 8.0 cm carries a current of 0.40 A. What is the magnitude of the magnetic field B at the centre of the coil?
Ans : Number of turns on the circular coil, n = 100
Radius of each turn, r = 8.0 cm = 0.08 m
Current flowing in the coil, I = 0.4 A
Magnitude of the magnetic field at the centre of the coil is given by the relation,

Where,
= Permeability of free space
= 4``\pi`` × 10-7 T m A-1

Hence, the magnitude of the magnetic field is 3.14 × 10-4 T.
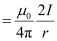
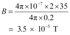
- Qstn #2A long straight wire carries a current of 35 A. What is the magnitude of the field B at a point 20 cm from the wire?
Ans : Current in the wire, I = 35 A
Distance of a point from the wire, r = 20 cm = 0.2 m
Magnitude of the magnetic field at this point is given as:
B
Where,
= Permeability of free space = 4``\pi`` × 10-7 T m A-1

Hence, the magnitude of the magnetic field at a point 20 cm from the wire is 3.5 × 10-5 T.
- Qstn #3A long straight wire in the horizontal plane carries a current of 50 A in north to south direction. Give the magnitude and direction of B at a point 2.5 m east of the wire.
Ans : Current in the wire, I = 50 A
A point is 2.5 m away from the East of the wire.
Magnitude of the distance of the point from the wire, r = 2.5 m.
Magnitude of the magnetic field at that point is given by the relation, B
Where,
= Permeability of free space = 4``\pi`` × 10-7 T m A-1

The point is located normal to the wire length at a distance of 2.5 m. The direction of the current in the wire is vertically downward. Hence, according to the Maxwell’s right hand thumb rule, the direction of the magnetic field at the given point is vertically upward.
- Qstn #4A horizontal overhead power line carries a current of 90 A in east to west direction. What is the magnitude and direction of the magnetic field due to the current 1.5 m below the line?
Ans : Current in the power line, I = 90 A
Point is located below the power line at distance, r = 1.5 m
Hence, magnetic field at that point is given by the relation,

Where,
= Permeability of free space = 4``\pi`` × 10-7 T m A-1

The current is flowing from East to West. The point is below the power line. Hence, according to Maxwell’s right hand thumb rule, the direction of the magnetic field is towards the South.
- Qstn #5What is the magnitude of magnetic force per unit length on a wire carrying a current of 8 A and making an angle of 30° with the direction of a uniform magnetic field of 0.15 T?
Ans : Current in the wire, I = 8 A
Magnitude of the uniform magnetic field, B = 0.15 T
Angle between the wire and magnetic field, θ = 30°.
Magnetic force per unit length on the wire is given as:
f = BI sinθ
= 0.15 × 8 ×1 × sin30°
= 0.6 N m-1
Hence, the magnetic force per unit length on the wire is 0.6 N m-1.
- Qstn #6A 3.0 cm wire carrying a current of 10 A is placed inside a solenoid perpendicular to its axis. The magnetic field inside the solenoid is given to be 0.27 T. What is the magnetic force on the wire?
Ans : Length of the wire, l = 3 cm = 0.03 m
Current flowing in the wire, I = 10 A
Magnetic field, B = 0.27 T
Angle between the current and magnetic field, θ = 90°
Magnetic force exerted on the wire is given as:
F = BIlsinθ
= 0.27 × 10 × 0.03 sin90°
= 8.1 × 10-2 N
Hence, the magnetic force on the wire is 8.1 × 10-2 N. The direction of the force can be obtained from Fleming’s left hand rule.
- Qstn #7Two long and parallel straight wires A and B carrying currents of 8.0 A and 5.0 A in the same direction are separated by a distance of 4.0 cm. Estimate the force on a 10 cm section of wire A.
Ans : Current flowing in wire A, IA = 8.0 A
Current flowing in wire B, IB = 5.0 A
Distance between the two wires, r = 4.0 cm = 0.04 m
Length of a section of wire A, l = 10 cm = 0.1 m
Force exerted on length l due to the magnetic field is given as:

Where,
= Permeability of free space = 4``\pi`` × 10-7 T m A-1

The magnitude of force is 2 × 10-5 N. This is an attractive force normal to A towards B because the direction of the currents in the wires is the same.
- Qstn #8A closely wound solenoid 80 cm long has 5 layers of windings of 400 turns each. The diameter of the solenoid is 1.8 cm. If the current carried is 8.0 A, estimate the magnitude of B inside the solenoid near its centre.
Ans : Length of the solenoid, l = 80 cm = 0.8 m
There are five layers of windings of 400 turns each on the solenoid.
Total number of turns on the solenoid, N = 5 × 400 = 2000
Diameter of the solenoid, D = 1.8 cm = 0.018 m
Current carried by the solenoid, I = 8.0 A
Magnitude of the magnetic field inside the solenoid near its centre is given by the relation,

Where,
= Permeability of free space = 4``\pi`` × 10-7 T m A-1

Hence, the magnitude of the magnetic field inside the solenoid near its centre is 2.512 × 10-2 T.
- Qstn #9A square coil of side 10 cm consists of 20 turns and carries a current of 12 A. The coil is suspended vertically and the normal to the plane of the coil makes an angle of 30° with the direction of a uniform horizontal magnetic field of magnitude 0.80 T. What is the magnitude of torque experienced by the coil?
Ans : Length of a side of the square coil, l = 10 cm = 0.1 m
Current flowing in the coil, I = 12 A
Number of turns on the coil, n = 20
Angle made by the plane of the coil with magnetic field, θ = 30°
Strength of magnetic field, B = 0.80 T
Magnitude of the magnetic torque experienced by the coil in the magnetic field is given by the relation,
τ = n BIA sinθ
Where,
A = Area of the square coil
l × l = 0.1 × 0.1 = 0.01 m2
∴ τ = 20 × 0.8 × 12 × 0.01 × sin30°
= 0.96 N m
Hence, the magnitude of the torque experienced by the coil is 0.96 N m.
- Qstn #10Two moving coil meters, M1 and M2 have the following particulars:
R1 = 10 ``\Omega``, N1 = 30,
A1 = 3.6 × 10-3 m2, B1 = 0.25 T
R2 = 14 ``\Omega``, N2 = 42,
A2 = 1.8 × 10-3 m2, B2 = 0.50 T
(The spring constants are identical for the two meters).
Determine the ratio ofAns : For moving coil meter M1:
Resistance, R1 = 10 ``\Omega``
Number of turns, N1 = 30
Area of cross-section, A1 = 3.6 × 10-3 m2
Magnetic field strength, B1 = 0.25 T
Spring constant K1 = K
For moving coil meter M2:
Resistance, R2 = 14 ``\Omega``
Number of turns, N2 = 42
Area of cross-section, A2 = 1.8 × 10-3 m2
Magnetic field strength, B2 = 0.50 T
Spring constant, K2 = K
- #10-acurrent sensitivity andAns : Current sensitivity of M1 is given as:

And, current sensitivity of M2 is given as:

Ratio

Hence, the ratio of current sensitivity of M2 to M1 is 1.4.
- #10-bvoltage sensitivity of M2 and M1.Ans : Voltage sensitivity for M2 is given as:

And, voltage sensitivity for M1 is given as:
``V_{s1}=\frac{N_1B_1A_1}{K_1R_1}``
Ratio
``\frac{V_{s2}}{V_{s1}=\frac{N_2B_2A_2K_1R_1}{K_2R_2N_1B_1A_1}``
Hence, the ratio of voltage sensitivity of M2 to M1 is 1.
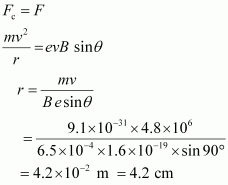
- Qstn #11In a chamber, a uniform magnetic field of 6.5 G (1 G = 10-4 T) is maintained. An electron is shot into the field with a speed of 4.8 × 106 m s-1 normal to the field. Explain why the path of the electron is a circle. Determine the radius of the circular orbit. (e = 1.6 × 10-19 C, me= 9.1×10-31 kg)
Ans : Magnetic field strength, B = 6.5 G = 6.5 × 10-4 T
Speed of the electron, v = 4.8 × 106 m/s
Charge on the electron, e = 1.6 × 10-19 C
Mass of the electron, me = 9.1 × 10-31 kg
Angle between the shot electron and magnetic field, θ = 90°
Magnetic force exerted on the electron in the magnetic field is given as:
F = evB sinθ
This force provides centripetal force to the moving electron. Hence, the electron starts moving in a circular path of radius r.
Hence, centripetal force exerted on the electron,

In equilibrium, the centripetal force exerted on the electron is equal to the magnetic force i.e.,

Hence, the radius of the circular orbit of the electron is 4.2 cm.
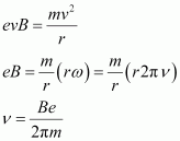
- Qstn #12In Exercise 4.11 obtain the frequency of revolution of the electron in its circular orbit. Does the answer depend on the speed of the electron? Explain.
Ans : Magnetic field strength, B = 6.5 × 10-4 T
Charge of the electron, e = 1.6 × 10-19 C
Mass of the electron, me = 9.1 × 10-31 kg
Velocity of the electron, v = 4.8 × 106 m/s
Radius of the orbit, r = 4.2 cm = 0.042 m
Frequency of revolution of the electron = ν
Angular frequency of the electron = ω = 2``\pi``ν
Velocity of the electron is related to the angular frequency as:
v = rω
In the circular orbit, the magnetic force on the electron is balanced by the centripetal force. Hence, we can write:

This expression for frequency is independent of the speed of the electron.
On substituting the known values in this expression, we get the frequency as:

Hence, the frequency of the electron is around 18 MHz and is independent of the speed of the electron.