NEET-XII-Physics
03: Current Electricity
Note: Please signup/signin free to get personalized experience.
Note: Please signup/signin free to get personalized experience.
10 minutes can boost your percentage by 10%
Note: Please signup/signin free to get personalized experience.
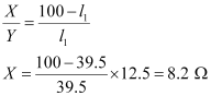
- #10-aIn a metre bridge [Fig. 3.27], the balance point is found to be at 39.5 cm from the end A, when the resistor Y is of 12.5 ``\Omega``. Determine the resistance of X. Why are the connections between resistors in a Wheatstone or meter bridge made of thick copper strips?Ans : Balance point from end A, l1 = 39.5 cm
Resistance of the resistor Y = 12.5 ``\Omega``
Condition for the balance is given as,

Therefore, the resistance of resistor X is 8.2 ``\Omega``.
The connection between resistors in a Wheatstone or metre bridge is made of thick copper strips to minimize the resistance, which is not taken into consideration in the bridge formula.
- #10-bDetermine the balance point of the bridge above if X and Y are interchanged.Ans : If X and Y are interchanged, then l1 and 100-l1 get interchanged.
The balance point of the bridge will be 100-l1 from A.
100-l1 = 100 - 39.5 = 60.5 cm
Therefore, the balance point is 60.5 cm from A.
- #10-cWhat happens if the galvanometer and cell are interchanged at the balance point of the bridge? Would the galvanometer show any current?Ans : When the galvanometer and cell are interchanged at the balance point of the bridge, the galvanometer will show no deflection. Hence, no current would flow through the galvanometer.
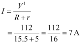
- Qstn #11A storage battery of emf 8.0 V and internal resistance 0.5 ``\Omega`` is being charged by a 120 V dc supply using a series resistor of 15.5 ``\Omega``. What is the terminal voltage of the battery during charging? What is the purpose of having a series resistor in the charging circuit?
Ans : Emf of the storage battery, E = 8.0 V
Internal resistance of the battery, r = 0.5 ``\Omega``
DC supply voltage, V = 120 V
Resistance of the resistor, R = 15.5 ``\Omega``
Effective voltage in the circuit = V1
R is connected to the storage battery in series. Hence, it can be written as
V1 = V - E
V1 = 120 - 8 = 112 V
Current flowing in the circuit = I, which is given by the relation,

Voltage across resistor R given by the product, IR = 7 × 15.5 = 108.5 V
DC supply voltage = Terminal voltage of battery + Voltage drop across R
Terminal voltage of battery = 120 - 108.5 = 11.5 V
A series resistor in a charging circuit limits the current drawn from the external source. The current will be extremely high in its absence. This is very dangerous.
- Qstn #12In a potentiometer arrangement, a cell of emf 1.25 V gives a balance point at 35.0 cm length of the wire. If the cell is replaced by another cell and the balance point shifts to 63.0 cm, what is the emf of the second cell?
Ans : Emf of the cell, E1 = 1.25 V
Balance point of the potentiometer, l1= 35 cm
The cell is replaced by another cell of emf E2.
New balance point of the potentiometer, l2 = 63 cm

Therefore, emf of the second cell is 2.25V.
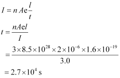
- Qstn #13The number density of free electrons in a copper conductor estimated in Example 3.1 is 8.5 × 1028 m-3. How long does an electron take to drift from one end of a wire 3.0 m long to its other end? The area of cross-section of the wire is 2.0 × 10-6 m2 and it is carrying a current of 3.0 A.
Ans : Number density of free electrons in a copper conductor, n = 8.5 × 1028 m-3 Length of the copper wire, l = 3.0 m
Area of cross-section of the wire, A = 2.0 × 10-6 m2
Current carried by the wire, I = 3.0 A, which is given by the relation,
I = nAeVd
Where,
e = Electric charge = 1.6 × 10-19 C
Vd = Drift velocity

Therefore, the time taken by an electron to drift from one end of the wire to the other is 2.7 × 104 s.
- Qstn #14The earth’s surface has a negative surface charge density of 10-9 C m-2. The potential difference of 400 kV between the top of the atmosphere and the surface results (due to the low conductivity of the lower atmosphere) in a current of only 1800 A over the entire globe. If there were no mechanism of sustaining atmospheric electric field, how much time (roughly) would be required to neutralise the earth’s surface? (This never happens in practice because there is a mechanism to replenish electric charges, namely the continual thunderstorms and lightning in different parts of the globe). (Radius of earth = 6.37 × 106 m.)
Ans : Surface charge density of the earth, σ = 10-9 C m-2
Current over the entire globe, I = 1800 A
Radius of the earth, r = 6.37 × 106 m
Surface area of the earth,
A = 4``\pi``r2
= 4``\pi`` × (6.37 × 106)2
= 5.09 × 1014 m2
Charge on the earth surface,
q = σ × A
= 10-9 × 5.09 × 1014
= 5.09 × 105 C
Time taken to neutralize the earth’s surface = t
Current,

Therefore, the time taken to neutralize the earth’s surface is 282.77 s.
- #15
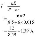
- #15-aSix lead-acid type of secondary cells each of emf 2.0 V and internal resistance 0.015 ``\Omega`` are joined in series to provide a supply to a resistance of 8.5 ``\Omega``. What are the current drawn from the supply and its terminal voltage?Ans : Number of secondary cells, n = 6
Emf of each secondary cell, E = 2.0 V
Internal resistance of each cell, r = 0.015 ``\Omega``
series resistor is connected to the combination of cells.
Resistance of the resistor, R = 8.5 ``\Omega``
Current drawn from the supply = I, which is given by the relation,

Terminal voltage, V = IR = 1.39 × 8.5 = 11.87 A
Therefore, the current drawn from the supply is 1.39 A and terminal voltage is
11.87 A.
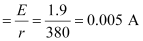
- #15-bA secondary cell after long use has an emf of 1.9 V and a large internal resistance of 380 ``\Omega``. What maximum current can be drawn from the cell? Could the cell drive the starting motor of a car?Ans : After a long use, emf of the secondary cell, E = 1.9 V
Internal resistance of the cell, r = 380 ``\Omega``
Hence, maximum current
Therefore, the maximum current drawn from the cell is 0.005 A. Since a large current is required to start the motor of a car, the cell cannot be used to start a motor.
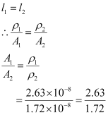
- Qstn #16Two wires of equal length, one of aluminium and the other of copper have the same resistance. Which of the two wires is lighter? Hence explain why aluminium wires are preferred for overhead power cables. (``\rho``Al = 2.63 × 10-8 ``\Omega`` m, ``\rho``Cu = 1.72 × 10-8 ``\Omega`` m, Relative density of Al = 2.7, of Cu = 8.9.)
Ans : Resistivity of aluminium, ``\rho``Al = 2.63 × 10-8 ``\Omega`` m
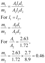
Relative density of aluminium, d1 = 2.7
Let l1 be the length of aluminium wire and m1 be its mass.
Resistance of the aluminium wire = R1
Area of cross-section of the aluminium wire = A1
Resistivity of copper, ``\rho``Cu = 1.72 × 10-8 ``\Omega`` m
Relative density of copper, d2 = 8.9
Let l2 be the length of copper wire and m2 be its mass.
Resistance of the copper wire = R2
Area of cross-section of the copper wire = A2
The two relations can be written as

It is given that,

And,

Mass of the aluminium wire,
m1 = Volume × Density
= A1l1 × d1 = A1 l1d1 ... (3)
Mass of the copper wire,
m2 = Volume × Density
= A2l2 × d2 = A2 l2d2 ... (4)
Dividing equation (3) by equation (4), we obtain

It can be inferred from this ratio that m1 is less than m2. Hence, aluminium is lighter than copper.
Since aluminium is lighter, it is preferred for overhead power cables over copper.
- Qstn #17What conclusion can you draw from the following observations on a resistor made of alloy manganin?
Current
A
Voltage
V
Current
A
Voltage
V
0.2
3.94
3.0
59.2
0.4
7.87
4.0
78.8
0.6
11.8
5.0
98.6
0.8
15.7
6.0
118.5
1.0
19.7
7.0
138.2
2.0
39.4
8.0
158.0
Ans : It can be inferred from the given table that the ratio of voltage with current is a constant, which is equal to 19.7. Hence, manganin is an ohmic conductor i.e., the alloy obeys Ohm’s law. According to Ohm’s law, the ratio of voltage with current is the resistance of the conductor. Hence, the resistance of manganin is 19.7 ``\Omega``.
- #18-aA steady current flows in a metallic conductor of non-uniform cross- section. Which of these quantities is constant along the conductor: current, current density, electric field, drift speed?Ans : When a steady current flows in a metallic conductor of non-uniform cross-section, the current flowing through the conductor is constant. Current density, electric field, and drift speed are inversely proportional to the area of cross-section. Therefore, they are not constant.
- #18-bIs Ohm’s law universally applicable for all conducting elements?
If not, give examples of elements which do not obey Ohm’s law.
Ans : No, Ohm’s law is not universally applicable for all conducting elements. Vacuum diode semi-conductor is a non-ohmic conductor. Ohm’s law is not valid for it.