NEET-XII-Physics
01: Electric Charges And Fields
Note: Please signup/signin free to get personalized experience.
Note: Please signup/signin free to get personalized experience.
10 minutes can boost your percentage by 10%
Note: Please signup/signin free to get personalized experience.
- #Chapter 1 - Electric Charges And Fields
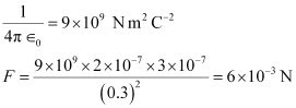
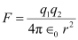
- Qstn #1What is the force between two small charged spheres having charges of 2 × 10-7 C and 3 × 10-7 C placed 30 cm apart in air?Ans : Repulsive force of magnitude 6 × 10-3 N
Charge on the first sphere, q1 = 2 × 10-7 C
Charge on the second sphere, q2 = 3 × 10-7 C
Distance between the spheres, r = 30 cm = 0.3 m
Electrostatic force between the spheres is given by the relation,
$$ F = \frac{q_1q_2}{4\pi\epsilon_0r^2} $$
Where, `` \epsilon``0 = Permittivity of free space

Hence, force between the two small charged spheres is 6 × 10-3 N. The charges are of same nature. Hence, force between them will be repulsive.
- Qstn #2The electrostatic force on a small sphere of charge 0.4 μC due to another small sphere of charge - 0.8 μC in air is 0.2 N.
- #2-aWhat is the distance between the two spheres?Ans : Electrostatic force on the first sphere, F = 0.2 N
Charge on this sphere, q1 = 0.4 μC = 0.4 × 10-6 C
Charge on the second sphere, q2 = - 0.8 μC = - 0.8 × 10-6 C
Electrostatic force between the spheres is given by the relation,
.gif)

Where, `` \epsilon``0 = Permittivity of free space
``r^2=\frac{q_1q_2}{4\pi \epsilon F}=9× 10^9 × 0.4× 10^{-6}× 0.8× 10^{-6} × \frac{1}{0.2}=144× 10^{-4} ``
Hence `` r=\sqrt{144× 10^{-4}}=0.12m``
The distance between the two spheres is 0.12m.
- #2-bWhat is the force on the second sphere due to the first?Ans : Both the spheres attract each other with the same force. Therefore, the force on the second sphere due to the first is 0.2 N.
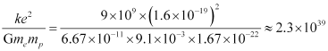
- Qstn #3Check that the ratio ke2/G memp is dimensionless. Look up a Table of Physical Constants and determine the value of this ratio. What does the ratio signify?
Ans : The given ratio is
.
Where,
G = Gravitational constant
Its unit is N m2 kg-2.
me and mp = Masses of electron and proton.
Their unit is kg.
e = Electric charge.
Its unit is C.

`` \epsilon``0 = Permittivity of free space
Its unit is N m2 C-2.

Hence, the given ratio is dimensionless.
e = 1.6 × 10-19 C
G = 6.67 × 10-11 N m2 kg-2
me= 9.1 × 10-31 kg
mp = 1.66 × 10-27 kg
Hence, the numerical value of the given ratio is

This is the ratio of electric force to the gravitational force between a proton and an electron, keeping distance between them constant.
- #4
- #4-aExplain the meaning of the statement ‘electric charge of a body is quantised’.Ans : Electric charge of a body is quantized. This means that only integral (1, 2, ...., n) number of electrons can be transferred from one body to the other. Charges are not transferred in fraction. Hence, a body possesses total charge only in integral multiples of electric charge.
- #4-bWhy can one ignore quantisation of electric charge when dealing with macroscopic i.e., large scale charges?Ans : In macroscopic or large scale charges, the charges used are huge as compared to the magnitude of electric charge. Hence, quantization of electric charge is of no use on macroscopic scale. Therefore, it is ignored and it is considered that electric charge is continuous.
- Qstn #5When a glass rod is rubbed with a silk cloth, charges appear on both. A similar phenomenon is observed with many other pairs of bodies. Explain how this observation is consistent with the law of conservation of charge.
Ans : Rubbing produces charges of equal magnitude but of opposite nature on the two bodies because charges are created in pairs. This phenomenon of charging is called charging by friction. The net charge on the system of two rubbed bodies is zero. This is because equal amount of opposite charges annihilate each other. When a glass rod is rubbed with a silk cloth, opposite natured charges appear on both the bodies. This phenomenon is in consistence with the law of conservation of energy. A similar phenomenon is observed with many other pairs of bodies.
- Qstn #6Four point charges qA = 2 μC, qB = -5 μC, qC = 2 μC, and qD = -5 μC are located at the corners of a square ABCD of side 10 cm. What is the force on a charge of 1 μC placed at the centre of the square?
Ans : The given figure shows a square of side 10 cm with four charges placed at its corners. O is the centre of the square.

Where,
(Sides) AB = BC = CD = AD = 10 cm
(Diagonals) AC = BD =
cm
AO = OC = DO = OB =
cm
A charge of amount 1μC is placed at point O.
Force of repulsion between charges placed at corner A and centre O is equal in magnitude but opposite in direction relative to the force of repulsion between the charges placed at corner C and centre O. Hence, they will cancel each other. Similarly, force of attraction between charges placed at corner B and centre O is equal in magnitude but opposite in direction relative to the force of attraction between the charges placed at corner D and centre O. Hence, they will also cancel each other. Therefore, net force caused by the four charges placed at the corner of the square on 1 μC charge at centre O is zero.
- #7
- #7-aAn electrostatic field line is a continuous curve. That is, a field line cannot have sudden breaks. Why not?Ans : An electrostatic field line is a continuous curve because a charge experiences a continuous force when traced in an electrostatic field. The field line cannot have sudden breaks because the charge moves continuously and does not jump from one point to the other.
- #7-bExplain why two field lines never cross each other at any point?Ans : If two field lines cross each other at a point, then electric field intensity will show two directions at that point. This is not possible. Hence, two field lines never cross each other.