NEET-XII-Physics
01: Electric Charges And Fields
Note: Please signup/signin free to get personalized experience.
Note: Please signup/signin free to get personalized experience.
10 minutes can boost your percentage by 10%
Note: Please signup/signin free to get personalized experience.
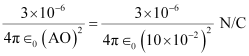
- #8-aWhat is the electric field at the midpoint O of the line AB joining the two charges?Ans : The situation is represented in the given figure. O is the mid-point of line AB.

Distance between the two charges, AB = 20 cm
∴AO = OB = 10 cm
Net electric field at point O = E
Electric field at point O caused by +3μC charge,
E1 =
along OB
Where,
= Permittivity of free space

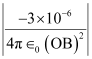
Magnitude of electric field at point O caused by -3μC charge,
E2 =
=
along OB

= 5.4 × 106 N/C along OB
Therefore, the electric field at mid-point O is 5.4 × 106 N C-1 along OB.
- #8-bIf a negative test charge of magnitude 1.5 × 10-9 C is placed at this point, what is the force experienced by the test charge?Ans : A test charge of amount 1.5 × 10-9 C is placed at mid-point O.
q = 1.5 × 10-9 C
Force experienced by the test charge = F
∴F = qE
= 1.5 × 10-9 × 5.4 × 106
= 8.1 × 10-3 N
The force is directed along line OA. This is because the negative test charge is repelled by the charge placed at point B but attracted towards point A.
Therefore, the force experienced by the test charge is 8.1 × 10-3 N along OA.
- Qstn #9A system has two charges qA = 2.5 × 10-7 C and qB = -2.5 × 10-7 C located at points A: (0, 0, - 15 cm) and B: (0, 0, + 15 cm), respectively. What are the total charge and electric dipole moment of the system?
Ans : Both the charges can be located in a coordinate frame of reference as shown in the given figure.

At A, amount of charge, qA = 2.5 × 10-7C
At B, amount of charge, qB = -2.5 × 10-7 C
Total charge of the system,
q = qA + qB
= 2.5 × 107 C - 2.5 × 10-7 C
= 0
Distance between two charges at points A and B,
d = 15 + 15 = 30 cm = 0.3 m
Electric dipole moment of the system is given by,
p = qA × d = qB × d
= 2.5 × 10-7 × 0.3
= 7.5 × 10-8 C m along positive z-axis
Therefore, the electric dipole moment of the system is 7.5 × 10-8 C m along positive z-axis.
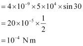
- Qstn #10An electric dipole with dipole moment 4 × 10-9 C m is aligned at 30° with the direction of a uniform electric field of magnitude 5 × 104 N C-1. Calculate the magnitude of the torque acting on the dipole.
Ans : Electric dipole moment, p = 4 × 10-9 C m
Angle made by p with a uniform electric field, θ = 30°
Electric field, E = 5 × 104 N C-1
Torque acting on the dipole is given by the relation,
τ = pE sinθ

Therefore, the magnitude of the torque acting on the dipole is 10-4 N m.
- #11-aEstimate the number of electrons transferred (from which to which?)Ans : When polythene is rubbed against wool, a number of electrons get transferred from wool to polythene. Hence, wool becomes positively charged and polythene becomes negatively charged.
Amount of charge on the polythene piece, q = -3 × 10-7 C
Amount of charge on an electron, e = -1.6 × 10-19 C
Number of electrons transferred from wool to polythene = n
n can be calculated using the relation,
q = ne


= 1.87 × 1012
Therefore, the number of electrons transferred from wool to polythene is 1.87 × 1012.
- #11-bIs there a transfer of mass from wool to polythene?Ans : Yes.
There is a transfer of mass taking place. This is because an electron has mass,
me = 9.1 × 10-3 kg
Total mass transferred to polythene from wool,
m = me × n
= 9.1 × 10-31 × 1.85 × 1012
= 1.706 × 10-18 kg
Hence, a negligible amount of mass is transferred from wool to polythene.
- #12
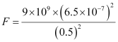
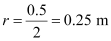
- #12-aTwo insulated charged copper spheres A and B have their centers separated by a distance of 50 cm. What is the mutual force of electrostatic repulsion if the charge on each is 6.5 × 10-7 C? The radii of A and B are negligible compared to the distance of separation.Ans : Charge on sphere A, qA = Charge on sphere B, qB = 6.5 × 10-7 C
Distance between the spheres, r = 50 cm = 0.5 m
Force of repulsion between the two spheres,

Where,
`` \epsilon``0 = Free space permittivity
= 9 × 109 N m2 C-2
∴
= 1.52 × 10-2 N
Therefore, the force between the two spheres is 1.52 × 10-2 N.
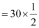
- #12-bWhat is the force of repulsion if each sphere is charged double the above amount, and the distance between them is halved?Ans : After doubling the charge, charge on sphere A, qA = Charge on sphere B, qB = 2 × 6.5 × 10-7 C = 1.3 × 10-6 C
The distance between the spheres is halved.
∴
Force of repulsion between the two spheres,


= 16 × 1.52 × 10-2
= 0.243 N
Therefore, the force between the two spheres is 0.243 N.
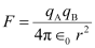
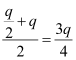
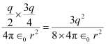
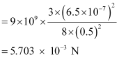
- Qstn #13Suppose the spheres A and B in Exercise 1.12 have identical sizes. A third sphere of the same size but uncharged is brought in contact with the first, then brought in contact with the second, and finally removed from both. What is the new force of repulsion between A and B?
Ans : Distance between the spheres, A and B, r = 0.5 m
Initially, the charge on each sphere, q = 6.5 × 10-7 C
When sphere A is touched with an uncharged sphere C,
amount of charge from A will transfer to sphere C. Hence, charge on each of the spheres, A and C, is
.
When sphere C with charge
is brought in contact with sphere B with charge q, total charges on the system will divide into two equal halves given as,

Each sphere will share each half. Hence, charge on each of the spheres, C and B, is
.
Force of repulsion between sphere A having charge
and sphere B having charge
=

Therefore, the force of attraction between the two spheres is 5.703 × 10-3 N.
- Qstn #14Figure 1.33 shows tracks of three charged particles in a uniform electrostatic field. Give the signs of the three charges. Which particle has the highest charge to mass ratio?

Ans : Opposite charges attract each other and same charges repel each other. It can be observed that particles 1 and 2 both move towards the positively charged plate and repel away from the negatively charged plate. Hence, these two particles are negatively charged. It can also be observed that particle 3 moves towards the negatively charged plate and repels away from the positively charged plate. Hence, particle 3 is positively charged.
The charge to mass ratio (emf) is directly proportional to the displacement or amount of deflection for a given velocity. Since the deflection of particle 3 is the maximum, it has the highest charge to mass ratio.
- #15-aWhat is the flux of this field through a square of 10 cm on a side whose plane is parallel to the yz plane?Ans : Electric field intensity,
= 3 × 103 î N/C
Magnitude of electric field intensity,
= 3 × 103 N/C
Side of the square, s = 10 cm = 0.1 m
Area of the square, A = s2 = 0.01 m2
The plane of the square is parallel to the y-z plane. Hence, angle between the unit vector normal to the plane and electric field, θ = 0°
Flux (Φ) through the plane is given by the relation,
Φ =
= 3 × 103 × 0.01 × cos0°
= 30 N m2/C
- #15-bWhat is the flux through the same square if the normal to its plane makes a 60° angle with the x-axis?Ans : Plane makes an angle of 60° with the x-axis. Hence, θ = 60°
Flux, Φ =
= 3 × 103 × 0.01 × cos60°
= 15 N m2/C