NEET-XI-Chemistry
04: The p-Block Elements
Note: Please signup/signin free to get personalized experience.
Note: Please signup/signin free to get personalized experience.
10 minutes can boost your percentage by 10%
No item to list.
Note: Please signup/signin free to get personalized experience.
- #Chapter 4 - The p-Block Elements
- Qstn #1-iB to Tl andAns : B to Tl
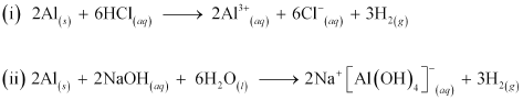
The electric configuration of group 13 elements is ns2 np1. Therefore, the most common oxidation state exhibited by them should be +3. However, it is only boron and aluminium which practically show the +3 oxidation state. The remaining elements, i.e., Ga, In, Tl, show both the +1 and +3 oxidation states. On moving down the group, the +1 state becomes more stable. For example, Tl (+1) is more stable than Tl (+3). This is because of the inert pair effect. The two electrons present in the s-shell are strongly attracted by the nucleus and do not participate in bonding. This inert pair effect becomes more and more prominent on moving down the group. Hence, Ga (+1) is unstable, In (+1) is fairly stable, and Tl (+1) is very stable.
-
Group 13 element Oxidation state B
+3
Al
+3
Ga, In, Tl
+1, +3
The stability of the +3 oxidation state decreases on moving down the group.
-
- Qstn #1-iiC to Pb.Ans : C to Pb
The electronic configuration of group 14 elements is ns2 np2. Therefore, the most common oxidation state exhibited by them should be +4. However, the +2 oxidation state becomes more and more common on moving down the group. C and Si mostly show the +4 state. On moving down the group, the higher oxidation state becomes less stable. This is because of the inert pair effect. Thus, although Ge, Sn, and Pb show both the +2 and + 4 states, the stability of the lower oxidation state increases and that of the higher oxidation state decreases on moving down the group.
Group 14 element
Oxidation state
C
+4
Si
+4
Ge, Sn, Pb
+2, +4

- Qstn #2How can you explain higher stability of BCl3 as compared to TlCl3?
Ans : Boron and thallium belong to group 13 of the periodic table. In this group, the +1 oxidation state becomes more stable on moving down the group. BCl3 is more stable than TlCl3 because the +3 oxidation state of B is more stable than the +3 oxidation state of Tl. In Tl, the +3 state is highly oxidising and it reverts back to the more stable +1 state.
- Qstn #3Why does boron trifluoride behave as a Lewis acid?
Ans : The electric configuration of boron is ns2 np1. It has three electrons in its valence shell. Thus, it can form only three covalent bonds. This means that there are only six electrons around boron and its octet remains incomplete. When one atom of boron combines with three fluorine atoms, its octet remains incomplete. Hence, boron trifluoride remains electron-deficient and acts as a Lewis acid.

- Qstn #4Consider the compounds, BCl3 and CCl4. How will they behave with water? Justify.
Ans : Being a Lewis acid, BCl3 readily undergoes hydrolysis. Boric acid is formed as a result.

CCl4 completely resists hydrolysis. Carbon does not have any vacant orbital. Hence, it cannot accept electrons from water to form an intermediate. When CCl4 and water are mixed, they form separate layers.

- Qstn #5Is boric acid a protic acid? Explain.
Ans : Boric acid is not a protic acid. It is a weak monobasic acid, behaving as a Lewis acid.

It behaves as an acid by accepting a pair of electrons from -OH ion.
- Qstn #6Explain what happens when boric acid is heated.
Ans : On heating orthoboric acid (H3BO3) at 370 K or above, it changes to metaboric acid (HBO2). On further heating, this yields boric oxide B2O3.

- Qstn #7Describe the shapes of BF3 and BH4-. Assign the hybridisation of boron in these species.
Ans : (i) BF3
As a result of its small size and high electronegativity, boron tends to form monomeric covalent halides. These halides have a planar triangular geometry. This triangular shape is formed by the overlap of three sp2 hybridised orbitals of boron with the sp orbitals of three halogen atoms. Boron is sp2 hybridised in BF3.

(ii) BH4-
Boron-hydride ion (BH4-) is formed by the sp3 hybridisation of boron orbitals. Therefore, it is tetrahedral in structure.

- Qstn #8Write reactions to justify amphoteric nature of aluminium.
Ans : A substance is called amphoteric if it displays characteristics of both acids and bases. Aluminium dissolves in both acids and bases, showing amphoteric behaviour.

- Qstn #9What are electron deficient compounds? Are BCl3 and SiCl4 electron deficient species? Explain.
Ans : In an electron-deficient compound, the octet of electrons is not complete, i.e., the central metal atom has an incomplete octet. Therefore, it needs electrons to complete its octet.
(i) BCl3
BCl3 is an appropriate example of an electron-deficient compound. B has 3 valence electrons. After forming three covalent bonds with chlorine, the number of electrons around it increases to 6. However, it is still short of two electrons to complete its octet.
(ii) SiCl4
The electronic configuration of silicon is ns2 np2. This indicates that it has four valence electrons. After it forms four covalent bonds with four chlorine atoms, its electron count increases to eight. Thus, SiCl4 is not an electron-deficient compound.
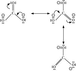
- Qstn #10Write the resonance structures of
and
.
Ans : (a)

(b)

There are only two resonating structures for the bicarbonate ion.
- Qstn #11What is the state of hybridisation of carbon inAns : The state of hybridisation of carbon in:
- #11-a
(b) diamond
(c) graphite?
Ans :
C in
is sp2 hybridised and is bonded to three oxygen atoms.
(b) Diamond
Each carbon in diamond is sp3 hybridised and is bound to four other carbon atoms.
(c) Graphite
Each carbon atom in graphite is sp2 hybridised and is bound to three other carbon atoms.