NEET-XI-Biology
16: Digestion and Absorption
Note: Please signup/signin free to get personalized experience.
Note: Please signup/signin free to get personalized experience.
10 minutes can boost your percentage by 10%
No item to list.
Note: Please signup/signin free to get personalized experience.
- #16 - Digestion and Absorption
- #Section : IPage No 267:
- #1-anullnullGastric juice contains
-(i) pepsin, lipase and rennin
(ii) trypsin lipase and rennin
(iii) trypsin, pepsin and lipase
(iv) trypsin, pepsin and renin
(b) Succus entericus is the name given to
-(i) a junction between ileum and large intestine
(ii) intestinal juice
(iii) swelling in the gut
(iv) appendix
Ans : (i) Pepsin, lipase, and rennin
Gastric juice contains pepsin, lipase, and rennin. Pepsin is secreted in an inactive form as pepsinogen, which is activated by HCl. Pepsin digests proteins into peptones. Lipase breaks down fats into fattyacids. Rennin is a photolytic enzyme present in the gastric juice. It helps in the coagulation of milk. (b) (ii) Intestinal juice
Succus entericus is another name for intestinal juice. It is secreted by the intestinal gland. Intestinal juice contains a variety of enzymes such as maltase, lipases, nucleosidases, dipeptidases, etc.
- #1-bSuccus entericus is the name given to
-(i) a junction between ileum and large intestine
(ii) intestinal juice
(iii) swelling in the gut
(iv) appendix
Ans : (ii) Intestinal juice
Succus entericus is another name for intestinal juice. It is secreted by the intestinal gland. Intestinal juice contains a variety of enzymes such as maltase, lipases, nucleosidases, dipeptidases, etc.
- Qstn #2Match column I with column II
Column I
Column II
(a)
Bilirubin and biliverdin
(i)
Parotid
(b)
Hydrolysis of starch
(ii)
Bile
(c)
Digestion of fat
(iii)
Lipases
(d)
Salivary gland
(iv)
Amylases
Ans :Column I
Column II
(a)
Bilirubin and biliverdin
(ii)
Bile
(b)
Hydrolysis of starch
(iv)
Amylases
(c)
Digestion of fat
(iii)
Lipases
(d)
Salivary gland
(i)
Parotid
- #3-aWhy are villi present in the intestine and not in the stomach?Ans : The mucosal wall of the small intestine forms millions of tiny finger-like projections known as villi. These villi increase the surface area for more efficient food absorption.
Within these villi, there are numerous blood vessels that absorb the digested products of proteins and carbohydrates, carrying them to the blood stream. The villi also contain lymph vessels for absorbing the products of fat-digestion. From the blood stream, the absorbed food is finally delivered to each and every cell of the body.
The mucosal walls of the stomach form irregular folds known as rugae. These help increase the surface area to volume ratio of the expanding stomach.
- #3-bHow does pepsinogen change into its active form?Ans : Pepsinogen is a precursor of pepsin stored in the stomach walls. It is converted into pepsin by hydrochloric acid. Pepsin is the activated in the form of pepsinogen.
Pepsinogen
Pepsin + Inactive peptide
(Inactive) (Active)
- #3-cWhat are the basic layers of the wall of alimentary canal?Ans : The walls of the alimentary canal are made up of four layers. These are as follows:

(i) Serosa is the outermost layer of the human alimentary canal. It is made up of a thin layer of secretory epithelial cells, with some connective tissues underneath.
(ii) Muscularis is a thin layer of smooth muscles arranged into an outer longitudinal layer and an inner circular layer.
(iii) Sub-mucosa is a layer of loose connective tissues, containing nerves, blood, and lymph vessels. It supports the mucosa.
- Mucosa is the innermost lining of the lumen of the alimentary canal. It is mainly involved in absorption and secretion.
- #3-dHow does bile help in the digestion of fats?Ans : Bile is a digestive juice secreted by the liver and stored in the gall bladder. Bile juice has bile salts such as bilirubin and biliverdin. These break down large fat globules into smaller globules so that the pancreatic enzymes can easily act on them. This process is known as emulsification of fats. Bile juice also makes the medium alkaline and activates lipase.
- Qstn #4State the role of pancreatic juice in digestion of proteins.
Ans : Pancreatic juice contains a variety of inactive enzymes such as trypsinogen, chymotrypsinogen, and carboxypeptidases. These enzymes play an important role in the digestion of proteins.
Physiology of protein-digestion
The enzyme enterokinase is secreted by the intestinal mucosa. It activates trypsinogen into trypsin.
Trypsinogen
Trypsin + Inactive peptide
Trypsin then activates the other enzymes of pancreatic juice such as chymotrypsinogen and carboxypeptidase.
Chymotrypsinogen is a milk-coagulating enzyme that converts proteins into peptides.
Chymotrypsinogen
Chymotrypsin
(Inactive) (Active)
Proteins
Peptides
Carboxypeptidase acts on the carboxyl end of the peptide chain and helps release the last amino acids. Hence, it helps in the digestion of proteins.
Peptides
Smaller peptide chain + Amino acids
Thus, in short, we can say that the partially-hydrolysed proteins present in the chyme are acted upon by various proteolytic enzymes of the pancreatic juice for their complete digestion.
Proteins, peptones
Dipeptides and proteases
- Qstn #5Describe the process of digestion of protein in stomach.
Ans : The digestion of proteins begins in the stomach and is completed in the small intestine. The digestive juice secreted in the gastric glands present on the stomach walls is called gastric juice. The food that enters the stomach becomes acidic on mixing with this gastric juice.
The main components of gastric juice are hydrochloric acid, pepsinogen, mucus, and rennin. Hydrochloric acid dissolves the bits of food and creates an acidic medium so that pepsinogen is converted into pepsin. Pepsin is a protein- digesting enzyme. It is secreted in its inactive form called pepsinogen, which then gets activated by hydrochloric acid. The activated pepsin then converts proteins into proteases and peptides.
Proteins
Proteases + Peptides
Rennin is a proteolytic enzyme, released in an inactive form called prorennin. Rennin plays an important role in the coagulation of milk.

- Qstn #6Given the dental formula of human beings
Ans : The dental formula expresses the arrangement of teeth in each half of the upper jaw and the lower jaw. The entire formula is multiplied by two to express the total number of teeth.
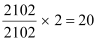
The dental formula for milk teeth in humans is:
Each half of the upper jaw and the lower jaw has 2 incisors, 1 canine, and 2 molars. Premolars are absent in milk teeth.
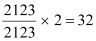
The dental formula for permanent teeth in humans is:
Each half of the upper jaw and the lower jaw has 2 incisors, 1 canine, 2 premolars, and 3 molars. An adult human has 32 permanent teeth.
- Qstn #7Bile juice contains no digestive enzymes, yet it is important for digestion. Why?
Ans : Bile is a digestive juice secreted by the liver. Although it does not contain any digestive enzymes, it plays an important role in the digestion of fats. Bile juice contains bile salts, bile pigments like bilirubin, biliverdin and phospholipids. Bile salts break down large fat globules into smaller globules so that the pancreatic enzymes can easily act on them. This process is known as emulsification of fats. Bile juice also makes the medium alkaline and activates lipase.
