NEET-XII-Physics
14: Semiconductor Electronics: Materials Devices and Simple Circuits
Note: Please signup/signin free to get personalized experience.
Note: Please signup/signin free to get personalized experience.
10 minutes can boost your percentage by 10%
Note: Please signup/signin free to get personalized experience.
- #6 - Semiconductor Electronics: Materials, Devices And Simple Circuits
- Qstn #1In an n-type silicon, which of the following statement is true:
(a) Electrons are majority carriers and trivalent atoms are the dopants.
(b) Electrons are minority carriers and pentavalent atoms are the dopants.
(c) Holes are minority carriers and pentavalent atoms are the dopants.
(d) Holes are majority carriers and trivalent atoms are the dopants.Ans : The correct statement is (c).
In an n-type silicon, the electrons are the majority carriers, while the holes are the minority carriers. An n-type semiconductor is obtained when pentavalent atoms, such as phosphorus, are doped in silicon atoms.
- Qstn #2Which of the statements given in Exercise 14.1 is true for p-type semiconductors.
Ans : The correct statement is (d).
In a p-type semiconductor, the holes are the majority carriers, while the electrons are the minority carriers. A p-type semiconductor is obtained when trivalent atoms, such as aluminium, are doped in silicon atoms.
- Qstn #3Carbon, silicon and germanium have four valence electrons each. These are characterised by valence and conduction bands separated by energy band gap respectively equal to (Eg)C, (Eg)Si and (Eg)Ge. Which of the following statements is true?
(a) (Eg)Si < (Eg)Ge < (Eg)C
(b) (Eg)C < (Eg)Ge > (Eg)Si
(c) (Eg)C > (Eg)Si > (Eg)Ge
(d) (Eg)C = (Eg)Si = (Eg)GeAns : The correct statement is (c).
Of the three given elements, the energy band gap of carbon is the maximum and that of germanium is the least.
The energy band gap of these elements are related as: (Eg)C > (Eg)Si > (Eg)Ge
- Qstn #4In an unbiased p-n junction, holes diffuse from the p-region to n-region because
(a) free electrons in the n-region attract them.
(b) they move across the junction by the potential difference.
(c) hole concentration in p-region is more as compared to n-region.
(d) All the above.Ans : The correct statement is (c).
The diffusion of charge carriers across a junction takes place from the region of higher concentration to the region of lower concentration. In this case, the p-region has greater concentration of holes than the n-region. Hence, in an unbiased p-n junction, holes diffuse from the p-region to the n-region.
- Qstn #5When a forward bias is applied to a p-n junction, it
(a) raises the potential barrier.
(b) reduces the majority carrier current to zero.
(c) lowers the potential barrier.
(d) None of the above.Ans : The correct statement is (c).
When a forward bias is applied to a p-n junction, it lowers the value of potential barrier. In the case of a forward bias, the potential barrier opposes the applied voltage. Hence, the potential barrier across the junction gets reduced.
- Qstn #6For transistor action, which of the following statements are correct:
(a) Base, emitter and collector regions should have similar size and doping concentrations.
(b) The base region must be very thin and lightly doped.
(c) The emitter junction is forward biased and collector junction is reverse biased.
(d) Both the emitter junction as well as the collector junction are forward biased.Ans : The correct statement is (b), (c).
For a transistor action, the junction must be lightly doped so that the base region is very thin. Also, the emitter junction must be forward-biased and collector junction should be reverse-biased.
- Qstn #7For a transistor amplifier, the voltage gain
(a) remains constant for all frequencies.
(b) is high at high and low frequencies and constant in the middle frequency range.
(c) is low at high and low frequencies and constant at mid frequencies.
(d) None of the above.Ans : The correct statement is (c).
The voltage gain of a transistor amplifier is constant at mid frequency range only. It is low at high and low frequencies.
- Qstn #8In half-wave rectification, what is the output frequency if the input frequency is 50 Hz. What is the output frequency of a full-wave rectifier for the same input frequency.
Ans : Input frequency = 50 Hz
For a half-wave rectifier, the output frequency is equal to the input frequency.
∴Output frequency = 50 Hz
For a full-wave rectifier, the output frequency is twice the input frequency.
∴Output frequency = 2 × 50 = 100 Hz
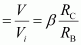
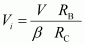
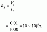
- Qstn #9For a CE-transistor amplifier, the audio signal voltage across the collected resistance of 2 k``\Omega`` is 2 V. Suppose the current amplification factor of the transistor is 100, find the input signal voltage and base current, if the base resistance is 1 k``\Omega``.
Ans : Collector resistance, RC = 2 k``\Omega`` = 2000 ``\Omega``
Audio signal voltage across the collector resistance, V = 2 V
Current amplification factor of the transistor, β = 100
Base resistance, RB = 1 k``\Omega`` = 1000 ``\Omega``
Input signal voltage = Vi
Base current = IB
We have the amplification relation as:
Voltage amplification


Therefore, the input signal voltage of the amplifier is 0.01 V.
Base resistance is given by the relation:

Therefore, the base current of the amplifier is 10 μA.
- Qstn #10Two amplifiers are connected one after the other in series (cascaded). The first amplifier has a voltage gain of 10 and the second has a voltage gain of 20. If the input signal is 0.01 volt, calculate the output ac signal.
Ans : Voltage gain of the first amplifier, V1 = 10
Voltage gain of the second amplifier, V2 = 20
Input signal voltage, Vi = 0.01 V
Output AC signal voltage = Vo
The total voltage gain of a two-stage cascaded amplifier is given by the product of voltage gains of both the stages, i.e.,
V = V1 × V2
= 10 × 20 = 200
We have the relation:

V0 = V × Vi
= 200 × 0.01 = 2 V
Therefore, the output AC signal of the given amplifier is 2 V.
- Qstn #11A p-n photodiode is fabricated from a semiconductor with band gap of 2.8 eV. Can it detect a wavelength of 6000 nm?
Ans : Energy band gap of the given photodiode, Eg = 2.8 eV
Wavelength, λ = 6000 nm = 6000 × 10-9 m
The energy of a signal is given by the relation:
E =
Where,
h = Planck’s constant
= 6.626 × 10-34 Js
c = Speed of light
= 3 × 108 m/s
E
= 3.313 × 10-20 J
But 1.6 × 10-19 J = 1 eV
∴E = 3.313 × 10-20 J

The energy of a signal of wavelength 6000 nm is 0.207 eV, which is less than 2.8 eV - the energy band gap of a photodiode. Hence, the photodiode cannot detect the signal.
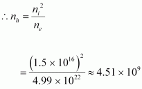
- Qstn #12The number of silicon atoms per m3 is 5 × 1028. This is doped simultaneously with 5 × 1022 atoms per m3 of Arsenic and 5 × 1020 per m3 atoms of Indium. Calculate the number of electrons and holes. Given that ni= 1.5 × 1016 m-3. Is the material n-type or p-type?
Ans : Number of silicon atoms, N = 5 × 1028 atoms/m3
Number of arsenic atoms, nAs = 5 × 1022 atoms/m3
Number of indium atoms, nIn = 5 × 1020 atoms/m3
Number of thermally-generated electrons, ni = 1.5 × 1016 electrons/m3
Number of electrons, ne = 5 × 1022 - 1.5 × 1016 ≈ 4.99 × 1022
Number of holes = nh
In thermal equilibrium, the concentrations of electrons and holes in a semiconductor are related as:
nenh = ni2

Therefore, the number of electrons is approximately 4.99 × 1022 and the number of holes is about 4.51 × 109. Since the number of electrons is more than the number of holes, the material is an n-type semiconductor.
- Qstn #13In an intrinsic semiconductor the energy gap Egis 1.2 eV. Its hole mobility is much smaller than electron mobility and independent of temperature. What is the ratio between conductivity at 600K and that at 300K? Assume that the temperature dependence of intrinsic carrier concentration niis given by

where n0 is a constant.
Ans : Energy gap of the given intrinsic semiconductor, Eg = 1.2 eV
The temperature dependence of the intrinsic carrier-concentration is written as:

Where,
kB = Boltzmann constant = 8.62 × 10-5 eV/K
T = Temperature
n0 = Constant
Initial temperature, T1 = 300 K
The intrinsic carrier-concentration at this temperature can be written as:
... (1)
Final temperature, T2 = 600 K
The intrinsic carrier-concentration at this temperature can be written as:
... (2)
The ratio between the conductivities at 600 K and at 300 K is equal to the ratio between the respective intrinsic carrier-concentrations at these temperatures.

Therefore, the ratio between the conductivities is 1.09 × 105.
- Qstn #14In a p-n junction diode, the current I can be expressed as

where I0 is called the reverse saturation current, V is the voltage across the diode and is positive for forward bias and negative for reverse bias, and I is the current through the diode, kBis the Boltzmann constant (8.6×10-5 eV/K) and T is the absolute temperature. If for a given diode I0 = 5 × 10-12 A and T = 300 K, then
Ans : In a p-n junction diode, the expression for current is given as:

Where,
I0 = Reverse saturation current = 5 × 10-12 A
T = Absolute temperature = 300 K
kB = Boltzmann constant = 8.6 × 10-5 eV/K = 1.376 × 10-23 J K-1
V = Voltage across the diode