NEET-XII-Physics
10: Wave Optics
Note: Please signup/signin free to get personalized experience.
Note: Please signup/signin free to get personalized experience.
10 minutes can boost your percentage by 10%
Note: Please signup/signin free to get personalized experience.
- Qstn #8What is the Brewster angle for air to glass transition? (Refractive index of glass = 1.5.)
Ans : Refractive index of glass,
Brewster angle = θ
Brewster angle is related to refractive index as:

Therefore, the Brewster angle for air to glass transition is 56.31°.
- Qstn #9Light of wavelength 5000 Ã… falls on a plane reflecting surface. What are the wavelength and frequency of the reflected light? For what angle of incidence is the reflected ray normal to the incident ray?
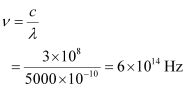
Ans : Wavelength of incident light, λ = 5000 Å = 5000 × 10-10 m
Speed of light, c = 3 × 108 m
Frequency of incident light is given by the relation,

The wavelength and frequency of incident light is the same as that of reflected ray. Hence, the wavelength of reflected light is 5000 Å and its frequency is 6 × 1014 Hz.
When reflected ray is normal to incident ray, the sum of the angle of incidence,
and angle of reflection,
is 90°.
According to the law of reflection, the angle of incidence is always equal to the angle of reflection. Hence, we can write the sum as:

Therefore, the angle of incidence for the given condition is 45°.
- Qstn #10Estimate the distance for which ray optics is good approximation for an aperture of 4 mm and wavelength 400 nm.
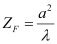
Ans : Fresnel’s distance (ZF) is the distance for which the ray optics is a good approximation. It is given by the relation,

Where,
Aperture width, a = 4 mm = 4 ×10-3 m
Wavelength of light, λ = 400 nm = 400 × 10-9 m

Therefore, the distance for which the ray optics is a good approximation is 40 m.
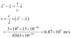
- Qstn #11The 6563 Ã…
line emitted by hydrogen in a star is found to be red shifted by 15 Ã…. Estimate the speed with which the star is receding from the Earth.
Ans : Wavelength of
line emitted by hydrogen,
λ = 6563 Å
= 6563 × 10-10 m.
Star’s red-shift,
Speed of light,
Let the velocity of the star receding away from the Earth be v.
The red shift is related with velocity as:

Therefore, the speed with which the star is receding away from the Earth is 6.87 × 105 m/s.
- Qstn #12Explain how Corpuscular theory predicts the speed of light in a medium, say, water, to be greater than the speed of light in vacuum. Is the prediction confirmed by experimental determination of the speed of light in water? If not, which alternative picture of light is consistent with experiment?
Ans : No; Wave theory
Newton’s corpuscular theory of light states that when light corpuscles strike the interface of two media from a rarer (air) to a denser (water) medium, the particles experience forces of attraction normal to the surface. Hence, the normal component of velocity increases while the component along the surface remains unchanged.
Hence, we can write the expression:
... (i)
Where,
i = Angle of incidence
r = Angle of reflection
c = Velocity of light in air
v = Velocity of light in water
We have the relation for relative refractive index of water with respect to air as:

Hence, equation (i) reduces to

But,
> 1
Hence, it can be inferred from equation (ii) that v > c. This is not possible since this prediction is opposite to the experimental results of c > v.
The wave picture of light is consistent with the experimental results.
- Qstn #13You have learnt in the text how Huygens’ principle leads to the laws of reflection and refraction. Use the same principle to deduce directly that a point object placed in front of a plane mirror produces a virtual image whose distance from the mirror is equal to the object distance from the mirror.
Ans : Let an object at O be placed in front of a plane mirror MO’ at a distance r (as shown in the given figure).

A circle is drawn from the centre (O) such that it just touches the plane mirror at point O’. According to Huygens’ Principle, XY is the wavefront of incident light.
If the mirror is absent, then a similar wavefront X’Y’ (as XY) would form behind O’ at distance r (as shown in the given figure).

can be considered as a virtual reflected ray for the plane mirror. Hence, a point object placed in front of the plane mirror produces a virtual image whose distance from the mirror is equal to the object distance (r).
- Qstn #14Let us list some of the factors, which could possibly influence the speed of wave propagation:
(i) Nature of the source.
(ii) Direction of propagation.
(iii) Motion of the source and/or observer.
(iv) Wave length.
(v) Intensity of the wave.
On which of these factors, if any, does
- #14-aThe speed of light in vacuum,Ans : Thespeed of light in a vacuum i.e., 3 × 108 m/s (approximately) is a universal constant. It is not affected by the motion of the source, the observer, or both. Hence, the given factor does not affect the speed of light in a vacuum.
- #14-bThe speed of light in a medium (say, glass or water), depend?Ans : Out of the listed factors, the speed of light in a medium depends on the wavelength of light in that medium.
- Qstn #15For sound waves, the Doppler formula for frequency shift differs slightly between the two situations: (i) source at rest; observer moving, and (ii) source moving; observer at rest. The exact Doppler formulas for the case of light waves in vacuum are, however, strictly identical for these situations. Explain why this should be so. Would you expect the formulas to be strictly identical for the two situations in case of light travelling in a medium?
Ans : No
Sound waves can propagate only through a medium. The two given situations are not scientifically identical because the motion of an observer relative to a medium is different in the two situations. Hence, the Doppler formulas for the two situations cannot be the same.
In case of light waves, sound can travel in a vacuum. In a vacuum, the above two cases are identical because the speed of light is independent of the motion of the observer and the motion of the source. When light travels in a medium, the above two cases are not identical because the speed of light depends on the wavelength of the medium.
- Qstn #16In double-slit experiment using light of wavelength 600 nm, the angular width of a fringe formed on a distant screen is 0.1°. What is the spacing between the two slits?
Ans : Wavelength of light used, λ = 6000 nm = 600 × 10-9 m
Angular width of fringe,
Angular width of a fringe is related to slit spacing (d) as:


Therefore, the spacing between the slits is
.
- #17-aIn a single slit diffraction experiment, the width of the slit is made double the original width. How does this affect the size and intensity of the central diffraction band?Ans : In a single slit diffraction experiment, if the width of the slit is made double the original width, then the size of the central diffraction band reduces to half and the intensity of the central diffraction band increases up to four times.
- #17-bIn what way is diffraction from each slit related to the interference pattern in a double-slit experiment?Ans : The interference pattern in a double-slit experiment is modulated by diffraction from each slit. The pattern is the result of the interference of the diffracted wave from each slit.
- #17-cWhen a tiny circular obstacle is placed in the path of light from a distant source, a bright spot is seen at the centre of the shadow of the obstacle. Explain why?Ans : When a tiny circular obstacle is placed in the path of light from a distant source, a bright spot is seen at the centre of the shadow of the obstacle. This is because light waves are diffracted from the edge of the circular obstacle, which interferes constructively at the centre of the shadow. This constructive interference produces a bright spot.