NEET-XII-Physics
10: Wave Optics
Note: Please signup/signin free to get personalized experience.
Note: Please signup/signin free to get personalized experience.
10 minutes can boost your percentage by 10%
Note: Please signup/signin free to get personalized experience.
- #17-dTwo students are separated by a 7 m partition wall in a room 10 m high. If both light and sound waves can bend around obstacles, how is it that the students are unable to see each other even though they can converse easily.Ans : Bending of waves by obstacles by a large angle is possible when the size of the obstacle is comparable to the wavelength of the waves.
On the one hand, the wavelength of the light waves is too small in comparison to the size of the obstacle. Thus, the diffraction angle will be very small. Hence, the students are unable to see each other. On the other hand, the size of the wall is comparable to the wavelength of the sound waves. Thus, the bending of the waves takes place at a large angle. Hence, the students are able to hear each other.
- #17-eRay optics is based on the assumption that light travels in a straight line. Diffraction effects (observed when light propagates through small apertures/slits or around small obstacles) disprove this assumption. Yet the ray optics assumption is so commonly used in understanding location and several other properties of images in optical instruments. What is the justification?Ans : The justification is that in ordinary optical instruments, the size of the aperture involved is much larger than the wavelength of the light used.
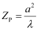
- Qstn #18Two towers on top of two hills are 40 km apart. The line joining them passes 50 m above a hill halfway between the towers. What is the longest wavelength of radio waves, which can be sent between the towers without appreciable diffraction effects?
Ans : Distance between the towers, d = 40 km
Height of the line joining the hills, d = 50 m.
Thus, the radial spread of the radio waves should not exceed 50 km.
Since the hill is located halfway between the towers, Fresnel’s distance can be obtained as:
ZP = 20 km = 2 × 104 m
Aperture can be taken as:
a = d = 50 m
Fresnel’s distance is given by the relation,

Where,
λ = Wavelength of radio waves

Therefore, the wavelength of the radio waves is 12.5 cm.
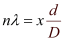
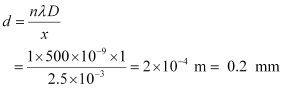
- Qstn #19A parallel beam of light of wavelength 500 nm falls on a narrow slit and the resulting diffraction pattern is observed on a screen 1 m away. It is observed that the first minimum is at a distance of 2.5 mm from the centre of the screen. Find the width of the slit.
Ans : Wavelength of light beam, λ = 500 nm = 500 × 10-9 m
Distance of the screen from the slit, D = 1 m
For first minima, n = 1
Distance between the slits = d
Distance of the first minimum from the centre of the screen can be obtained as:
x = 2.5 mm = 2.5 × 10-3 m
It is related to the order of minima as:


Therefore, the width of the slits is 0.2 mm.
- #20-aWhen a low flying aircraft passes overhead, we sometimes notice
a slight shaking of the picture on our TV screen. Suggest a possible explanation.
Ans : Weak radar signals sent by a low flying aircraft can interfere with the TV signals received by the antenna. As a result, the TV signals may get distorted. Hence, when a low flying aircraft passes overhead, we sometimes notice a slight shaking of the picture on our TV screen.
- #20-bAs you have learnt in the text, the principle of linear superposition of wave displacement is basic to understanding intensity distributions in diffraction and interference patterns. What is the justification of this principle?Ans : The principle of linear superposition of wave displacement is essential to our understanding of intensity distributions and interference patterns. This is because superposition follows from the linear character of a differential equation that governs wave motion. If y1 and y2 are the solutions of the second order wave equation, then any linear combination of y1 and y2 will also be the solution of the wave equation.
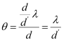
- Qstn #21In deriving the single slit diffraction pattern, it was stated that the intensity is zero at angles of nλ/a. Justify this by suitably dividing the slit to bring out the cancellation.
Ans : Consider that a single slit of width d is divided into n smaller slits.
Width of each slit, 
Angle of diffraction is given by the relation,

Now, each of these infinitesimally small slit sends zero intensity in directionθ. Hence, the combination of these slits will give zero intensity.