NEET-XII-Physics
09: Ray Optics And Optical Instruments
Qstn# 38 Prvs-Qstn
- #38Figure 9.37 shows an equiconvex lens (of refractive index 1.50) in contact with a liquid layer on top of a plane mirror. A small needle with its tip on the principal axis is moved along the axis until its inverted image is found at the position of the needle. The distance of the needle from the lens is measured to be 45.0 cm. The liquid is removed and the experiment is repeated. The new distance is measured to be 30.0 cm. What is the refractive index of the liquid?

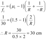
Ans : Focal length of the convex lens, f1 = 30 cm
The liquid acts as a mirror. Focal length of the liquid = f2
Focal length of the system (convex lens + liquid), f = 45 cm
For a pair of optical systems placed in contact, the equivalent focal length is given as:

Let the refractive index of the lens be
and the radius of curvature of one surface be R. Hence, the radius of curvature of the other surface is -R.
R can be obtained using the relation:

Let
be the refractive index of the liquid.
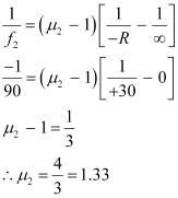
Radius of curvature of the liquid on the side of the plane mirror =
Radius of curvature of the liquid on the side of the lens, R = -30 cm
The value of
can be calculated using the relation:

Hence, the refractive index of the liquid is 1.33.