NEET-XII-Physics
09: Ray Optics And Optical Instruments
- #35-aFor the telescope described in Exercise 9.34 (a), what is the separation between the objective lens and the eyepiece?
(b) If this telescope is used to view a 100 m tall tower 3 km away, what is the height of the image of the tower formed by the objective lens?
(c) What is the height of the final image of the tower if it is formed at 25 cm?Ans : In normal adjustment, the separation between the objective lens and the eyepiece
(b) Height of the tower, h1 = 100 m
Distance of the tower (object) from the telescope, u = 3 km = 3000 m
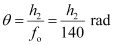
The angle subtended by the tower at the telescope is given as:

The angle subtended by the image produced by the objective lens is given as:

Where,
h2 = Height of the image of the tower formed by the objective lens

Therefore, the objective lens forms a 4.7 cm tall image of the tower.
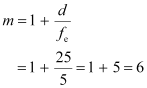
(c) Image is formed at a distance, d = 25 cm
The magnification of the eyepiece is given by the relation:

Height of the final image
Hence, the height of the final image of the tower is 28.2 cm.
- #35-bIf this telescope is used to view a 100 m tall tower 3 km away, what is the height of the image of the tower formed by the objective lens?Ans : Height of the tower, h1 = 100 m
Distance of the tower (object) from the telescope, u = 3 km = 3000 m
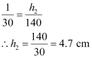
The angle subtended by the tower at the telescope is given as:

The angle subtended by the image produced by the objective lens is given as:

Where,
h2 = Height of the image of the tower formed by the objective lens

Therefore, the objective lens forms a 4.7 cm tall image of the tower.
- #35-cWhat is the height of the final image of the tower if it is formed at 25 cm?Ans : Image is formed at a distance, d = 25 cm
The magnification of the eyepiece is given by the relation:

Height of the final image
Hence, the height of the final image of the tower is 28.2 cm.