NEET-XII-Physics

09: Ray Optics And Optical Instruments

II - page 5
  • #33
    An angular magnification (magnifying power) of 30X is desired using an objective of focal length 1.25 cm and an eyepiece of focal length 5 cm. How will you set up the compound microscope?
    Ans : Focal length of the objective lens,= 1.25 cm

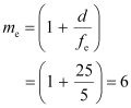
    Focal length of the eyepiece, fe = 5 cm

    Least distance of distinct vision, d = 25 cm

    Angular magnification of the compound microscope = 30X

    Total magnifying power of the compound microscope, m = 30

    The angular magnification of the eyepiece is given by the relation:



    The angular magnification of the objective lens (mo) is related to me as:

    = m



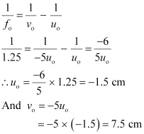
    Applying the lens formula for the objective lens:



    The object should be placed 1.5 cm away from the objective lens to obtain the desired magnification.

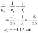
    Applying the lens formula for the eyepiece:



    Where,

    = Image distance for the eyepiece = -d = -25 cm

    = Object distance for the eyepiece



    Separation between the objective lens and the eyepiece



    Therefore, the separation between the objective lens and the eyepiece should be 11.67 cm.