NEET-XII-Physics
08: Electromagnetic Waves
- #12About 5% of the power of a 100 W light bulb is converted to visible radiation. What is the average intensity of visible radiation
(a) at a distance of 1 m from the bulb?
(b) at a distance of 10 m?
Assume that the radiation is emitted isotropically and neglect reflection.
(b) at a distance of 10 m?
Assume that the radiation is emitted isotropically and neglect reflection.
(a) at a distance of 1 m from the bulb?
(b) at a distance of 10 m?
Assume that the radiation is emitted isotropically and neglect reflection.
(b) at a distance of 10 m?
Assume that the radiation is emitted isotropically and neglect reflection.
Ans : Power rating of bulb, P = 100 W
It is given that about 5% of its power is converted into visible radiation.
Power of visible radiation,

Hence, the power of visible radiation is 5W.
(a) Distance of a point from the bulb, d = 1 m
Hence, intensity of radiation at that point is given as:

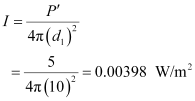
(b) Distance of a point from the bulb, d1 = 10 m
Hence, intensity of radiation at that point is given as:

(b) Distance of a point from the bulb, d1 = 10 m
Hence, intensity of radiation at that point is given as:

(a) Distance of a point from the bulb, d = 1 m
Hence, intensity of radiation at that point is given as:

(b) Distance of a point from the bulb, d1 = 10 m
Hence, intensity of radiation at that point is given as:

(b) Distance of a point from the bulb, d1 = 10 m
Hence, intensity of radiation at that point is given as:

- #12-aat a distance of 1 m from the bulb?
(b) at a distance of 10 m?
Assume that the radiation is emitted isotropically and neglect reflection.
Ans : Distance of a point from the bulb, d = 1 m
Hence, intensity of radiation at that point is given as:

(b) Distance of a point from the bulb, d1 = 10 m
Hence, intensity of radiation at that point is given as:

- #12-bat a distance of 10 m?
Assume that the radiation is emitted isotropically and neglect reflection.
Ans : Distance of a point from the bulb, d1 = 10 m
Hence, intensity of radiation at that point is given as:
