NEET-XII-Physics
07: Alternating Current
Note: Please signup/signin free to get personalized experience.
Note: Please signup/signin free to get personalized experience.
10 minutes can boost your percentage by 10%
Note: Please signup/signin free to get personalized experience.
- #20-cFor which frequencies of the source is the power transferred to the circuit half the power at resonant frequency? What is the current amplitude at these frequencies?Ans : The power transferred to the circuit is half the power at resonant frequency.
Frequencies at which power transferred is half, =

Where,

Hence, change in frequency,
∴
And,
Hence, at 648.22 Hz and 678.74 Hz frequencies, the power transferred is half.
At these frequencies, current amplitude can be given as:

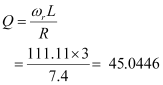
- #20-dWhat is the Q-factor of the given circuit?Ans : Q-factor of the given circuit can be obtained using the relation,


Hence, the Q-factor of the given circuit is 21.74.
- Qstn #21Obtain the resonant frequency and Q-factor of a series LCR circuit with L = 3.0 H, C = 27 μF, and R = 7.4 ``\Omega``. It is desired to improve the sharpness of the resonance of the circuit by reducing its ‘full width at half maximum’ by a factor of 2. Suggest a suitable way.
Ans : Inductance, L = 3.0 H
Capacitance, C = 27 μF = 27 × 10-6 F
Resistance, R = 7.4 ``\Omega``
At resonance, angular frequency of the source for the given LCR series circuit is given as:

Q-factor of the series:

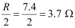
To improve the sharpness of the resonance by reducing its ‘full width at half maximum’ by a factor of 2 without changing
, we need to reduce R to half i.e.,
Resistance =
- #22-aIn any ac circuit, is the applied instantaneous voltage equal to the algebraic sum of the instantaneous voltages across the series elements of the circuit? Is the same true for rms voltage?Ans : Yes; the statement is not true for rms voltage
It is true that in any ac circuit, the applied voltage is equal to the average sum of the instantaneous voltages across the series elements of the circuit. However, this is not true for rms voltage because voltages across different elements may not be in phase.
- #22-bA capacitor is used in the primary circuit of an induction coil.Ans : High induced voltage is used to charge the capacitor.
A capacitor is used in the primary circuit of an induction coil. This is because when the circuit is broken, a high induced voltage is used to charge the capacitor to avoid sparks.
- #22-cAn applied voltage signal consists of a superposition of a dc voltage and an ac voltage of high frequency. The circuit consists of an inductor and a capacitor in series. Show that the dc signal will appear across C and the ac signal across L.Ans : The dc signal will appear across capacitor C because for dc signals, the impedance of an inductor (L) is negligible while the impedance of a capacitor (C) is very high (almost infinite). Hence, a dc signal appears across C. For an ac signal of high frequency, the impedance of L is high and that of C is very low. Hence, an ac signal of high frequency appears across L.
- #22-dA choke coil in series with a lamp is connected to a dc line. The lamp is seen to shine brightly. Insertion of an iron core in the choke causes no change in the lamp’s brightness. Predict the corresponding observations if the connection is to an ac line.Ans : If an iron core is inserted in the choke coil (which is in series with a lamp connected to the ac line), then the lamp will glow dimly. This is because the choke coil and the iron core increase the impedance of the circuit.
- #22-eWhy is choke coil needed in the use of fluorescent tubes with ac mains? Why can we not use an ordinary resistor instead of the choke coil?Ans : A choke coil is needed in the use of fluorescent tubes with ac mains because it reduces the voltage across the tube without wasting much power. An ordinary resistor cannot be used instead of a choke coil for this purpose because it wastes power in the form of heat.
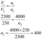
- Qstn #23A power transmission line feeds input power at 2300 V to a stepdown transformer with its primary windings having 4000 turns. What should be the number of turns in the secondary in order to get output power at 230 V?
Ans : Input voltage, V1 = 2300
Number of turns in primary coil, n1 = 4000
Output voltage, V2 = 230 V
Number of turns in secondary coil = n2
Voltage is related to the number of turns as:

Hence, there are 400 turns in the second winding.
- Qstn #24At a hydroelectric power plant, the water pressure head is at a height of 300 m and the water flow available is 100 m3 s-1. If the turbine generator efficiency is 60%, estimate the electric power available from the plant (g= 9.8 m s-2).
Ans : Height of water pressure head, h = 300 m
Volume of water flow per second, V = 100 m3/s
Efficiency of turbine generator, n = 60% = 0.6
Acceleration due to gravity, g = 9.8 m/s2
Density of water, ``\rho`` = 103 kg/m3
Electric power available from the plant = η × h``\rho``gV
= 0.6 × 300 × 103 × 9.8 × 100
= 176.4 × 106 W
= 176.4 MW
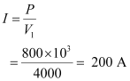
- Qstn #25A small town with a demand of 800 kW of electric power at 220 V is situated 15 km away from an electric plant generating power at 440 V. The resistance of the two wire line carrying power is 0.5 ``\Omega`` per km. The town gets power from the line through a 4000-220 V step-down transformer at a sub-station in the town.
Ans : Total electric power required, P = 800 kW = 800 × 103 W
Supply voltage, V = 220 V
Voltage at which electric plant is generating power, V‘ = 440 V
Distance between the town and power generating station, d = 15 km
Resistance of the two wire lines carrying power = 0.5 ``\Omega``/km
Total resistance of the wires, R = (15 + 15)0.5 = 15 ``\Omega``
A step-down transformer of rating 4000 - 220 V is used in the sub-station.
Input voltage, V1 = 4000 V
Output voltage, V2 = 220 V
Rms current in the wire lines is given as:

- #25-aEstimate the line power loss in the form of heat.Ans : Line power loss = I2R
= (200)2 × 15
= 600 × 103 W
= 600 kW
- #25-bHow much power must the plant supply, assuming there is negligible power loss due to leakage?Ans : Assuming that the power loss is negligible due to the leakage of the current:
Total power supplied by the plant = 800 kW + 600 kW
= 1400 kW
- #25-cCharacterise the step up transformer at the plant.Ans : Voltage drop in the power line = IR = 200 × 15 = 3000 V
Hence, total voltage transmitted from the plant = 3000 + 4000
= 7000 V
Also, the power generated is 440 V.
Hence, the rating of the step-up transformer situated at the power plant is 440 V - 7000 V.