NEET-XII-Physics
04: Moving Charges And Magnetism
Note: Please signup/signin free to get personalized experience.
Note: Please signup/signin free to get personalized experience.
10 minutes can boost your percentage by 10%
Note: Please signup/signin free to get personalized experience.
- #18-cAn electron travelling west to east enters a chamber having a uniform electrostatic field in north to south direction. Specify the direction in which a uniform magnetic field should be set up to prevent the electron from deflecting from its straight line path.Ans : An electron travelling from West to East enters a chamber having a uniform electrostatic field in the North-South direction. This moving electron can remain undeflected if the electric force acting on it is equal and opposite of magnetic field. Magnetic force is directed towards the South. According to Fleming’s left hand rule, magnetic field should be applied in a vertically downward direction.
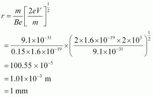
- Qstn #19An electron emitted by a heated cathode and accelerated through a potential difference of 2.0 kV, enters a region with uniform magnetic field of 0.15 T. Determine the trajectory of the electron if the fieldAns : Magnetic field strength, B = 0.15 T
Charge on the electron, e = 1.6 × 10-19 C
Mass of the electron, m = 9.1 × 10-31 kg
Potential difference, V = 2.0 kV = 2 × 103 V
Thus, kinetic energy of the electron = eV

Where,
v = velocity of the electron
- #19-ais transverse to its initial velocity,Ans : Magnetic force on the electron provides the required centripetal force of the electron. Hence, the electron traces a circular path of radius r.
Magnetic force on the electron is given by the relation,
B ev
Centripetal force

From equations (1) and (2), we get

Hence, the electron has a circular trajectory of radius 1.0 mm normal to the magnetic field.
- #19-bmakes an angle of 30° with the initial velocity.Ans : When the field makes an angle θ of 30° with initial velocity, the initial velocity will be,

From equation (2), we can write the expression for new radius as:

Hence, the electron has a helical trajectory of radius 0.5 mm along the magnetic field direction.
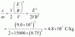
- Qstn #20A magnetic field set up using Helmholtz coils (described in Exercise 4.16) is uniform in a small region and has a magnitude of 0.75 T. In the same region, a uniform electrostatic field is maintained in a direction normal to the common axis of the coils. A narrow beam of (single species) charged particles all accelerated through 15 kV enters this region in a direction perpendicular to both the axis of the coils and the electrostatic field. If the beam remains undeflected when the electrostatic field is 9.0 × 105 V m-1, make a simple guess as to what the beam contains. Why is the answer not unique?
Ans : Magnetic field, B = 0.75 T
Accelerating voltage, V = 15 kV = 15 × 103 V
Electrostatic field, E = 9 × 105 V m-1
Mass of the electron = m
Charge of the electron = e
Velocity of the electron = v
Kinetic energy of the electron = eV
.gif)


Since the particle remains undeflected by electric and magnetic fields, we can infer that the force onthe charged particle due to electric field is balancing the force on the charged particle due to magnetic field.

Putting equation (2) in equation (1), we get

This value of specific charge e/m is equal to the value of deuteron or deuterium ions. This is not a unique answer. Other possible answers are He++, Li++, etc.
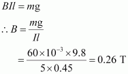
- Qstn #21A straight horizontal conducting rod of length 0.45 m and mass 60 g is suspended by two vertical wires at its ends. A current of 5.0 A is set up in the rod through the wires.
Ans : Length of the rod, l = 0.45 m
Mass suspended by the wires, m = 60 g = 60 × 10-3 kg
Acceleration due to gravity, g = 9.8 m/s2
Current in the rod flowing through the wire, I = 5 A
- #21-aWhat magnetic field should be set up normal to the conductor in order that the tension in the wires is zero?Ans : Magnetic field (B) is equal and opposite to the weight of the wire i.e.,

A horizontal magnetic field of 0.26 T normal to the length of the conductor should be set up in order to get zero tension in the wire. The magnetic field should be such that Fleming’s left hand rule gives an upward magnetic force.
- #21-bWhat will be the total tension in the wires if the direction of current is reversed keeping the magnetic field same as before? (Ignore the mass of the wires.) g = 9.8 m s-2.Ans : If the direction of the current is revered, then the force due to magnetic field and the weight of the wire acts in a vertically downward direction.
∴Total tension in the wire = BIl + mg

- Qstn #22The wires which connect the battery of an automobile to its starting motor carry a current of 300 A (for a short time). What is the force per unit length between the wires if they are 70 cm long and 1.5 cm apart? Is the force attractive or repulsive?
Ans : Current in both wires, I = 300 A
Distance between the wires, r = 1.5 cm = 0.015 m
Length of the two wires, l = 70 cm = 0.7 m
Force between the two wires is given by the relation,

Where,
= Permeability of free space = .gif)

Since the direction of the current in the wires is opposite, a repulsive force exists between them.
- Qstn #23A uniform magnetic field of 1.5 T exists in a cylindrical region of radius10.0 cm, its direction parallel to the axis along east to west. A wire carrying current of 7.0 A in the north to south direction passes through this region. What is the magnitude and direction of the force on the wire if,
Ans : Magnetic field strength, B = 1.5 T
Radius of the cylindrical region, r = 10 cm = 0.1 m
Current in the wire passing through the cylindrical region, I = 7 A
- #23-athe wire intersects the axis,Ans : If the wire intersects the axis, then the length of the wire is the diameter of the cylindrical region.
Thus, l = 2r = 0.2 m
Angle between magnetic field and current, θ = 90°
Magnetic force acting on the wire is given by the relation,
F = BIl sin θ
= 1.5 × 7 × 0.2 × sin 90°
= 2.1 N
Hence, a force of 2.1 N acts on the wire in a vertically downward direction.
- #23-bthe wire is turned from N-S to northeast-northwest direction,Ans : New length of the wire after turning it to the Northeast-Northwest direction can be given as: :

Angle between magnetic field and current, θ = 45°
Force on the wire,
F = BIl1 sin θ

Hence, a force of 2.1 N acts vertically downward on the wire. This is independent of angleθbecause l sinθ is fixed.
- #23-cthe wire in the N-S direction is lowered from the axis by a distance of 6.0 cm?Ans : The wire is lowered from the axis by distance, d = 6.0 cm
Suppose wire is passing perpendicularly to the axis of cylindrical magnetic field then lowering 6 cm means displacing the wire 6 cm from its initial position towards to end of cross sectional area.

Thus the length of wire in magnetic field will be 16 cm as AB= L =2x =16 cm
Now the force,
F = iLB sin90° as the wire will be perpendicular to the magnetic field.
F= 7 × 0.16 × 1.5 =1.68 N
The direction will be given by right hand curl rule or screw rule i.e. vertically downwards.
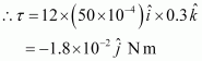
- Qstn #24A uniform magnetic field of 3000 G is established along the positive z-direction. A rectangular loop of sides 10 cm and 5 cm carries a current of 12 A. What is the torque on the loop in the different cases shown in Fig. 4.28? What is the force on each case? Which case corresponds to stable equilibrium?
Ans : Magnetic field strength, B = 3000 G = 3000 × 10-4 T = 0.3 T
Length of the rectangular loop, l = 10 cm
Width of the rectangular loop, b = 5 cm
Area of the loop,
A = l × b = 10 × 5 = 50 cm2 = 50 × 10-4 m2
Current in the loop, I = 12 A
Now, taking the anti-clockwise direction of the current as positive and vise-versa:
- #24-a

Ans : Torque,
From the given figure, it can be observed that A is normal to the y-z plane and B is directed along the z-axis.

The torque is
N m along the negative y-direction. The force on the loop is zero because the angle between A and B is zero.