NEET-XII-Chemistry
02: Solutions
Note: Please signup/signin free to get personalized experience.
Note: Please signup/signin free to get personalized experience.
10 minutes can boost your percentage by 10%
Note: Please signup/signin free to get personalized experience.
- Qstn #11Why
do gases always tend to be less soluble in liquids as the temperature
is raised?Ans : Solubility of gases in
liquids decreases with an increase in temperature. This is because
dissolution of gases in liquids is an exothermic process.

Therefore, when the
temperature is increased, heat is supplied and the equilibrium shifts
backwards, thereby decreasing the solubility of gases.
- Qstn #12State
Henry’s law and mention some important applications?Ans : Henry’s law
states that partial pressure of a gas in the vapour phase is
proportional to the mole fraction of the gas in the solution. If p is the partial pressure of the gas in the vapour phase and x is the mole fraction of the gas, then Henry’s law can be
expressed as:
p = KH x
Where,
KH is
Henry’s law constant
Some important
applications of Henry’s law are mentioned below.
(i) Bottles are sealed under high pressure to increase the
solubility of CO2 in soft drinks and soda water.
(ii) Henry’s law states that the solubility of gases
increases with an increase in pressure. Therefore, when a scuba diver
dives deep into the sea, the increased sea pressure causes the
nitrogen present in air to dissolve in his blood in great amounts. As
a result, when he comes back to the surface, the solubility of
nitrogen again decreases and the dissolved gas is released, leading
to the formation of nitrogen bubbles in the blood. This results in
the blockage of capillaries and leads to a medical condition known as
‘bends’ or ‘decompression sickness’.
Hence,
the oxygen tanks used by scuba divers are filled with air and diluted
with helium to avoid bends.
(iii) The concentration of oxygen is low in the blood and
tissues of people living at high altitudes such as climbers. This is
because at high altitudes, partial pressure of oxygen is less than
that at ground level. Low-blood oxygen causes climbers to become weak
and disables them from thinking clearly. These are symptoms of
anoxia.
- Qstn #13The partial pressure of ethane over a solution containing 6.56 × 10-3 g of ethane is 1 bar. If the solution contains 5.00 × 10-2 g of ethane, then what shall be the partial pressure of the gas?Ans : Molar mass of ethane (C2H6) = 2 × 12 + 6 × 1
= 30 g mol-1
Number of moles present in 6.56 × 10-3 g of ethane
= 2.187 × 10-4 mol
Let the number of moles of the solvent be x.
According to Henry’s law,
p = KHx

Number of moles present in 5.00 × 10-2 g of ethane
= 1.67 × 10-3 mol
According to Henry’s law,
p = KHx

= 7.636 bar
Hence, partial pressure of the gas shall be 7.636 bar.
- Qstn #14What
is meant by positive and negative deviations from Raoult’s law and
how is the sign of ΔsolH related to positive and negative deviations from Raoult’s law?Ans : According
to Raoult’s law, the partial vapour pressure of each volatile
component in any solution is directly proportional to its mole
fraction. The solutions which obey Raoult’s law over the entire
range of concentration are known as ideal solutions. The
solutions that do not obey Raoult’s law (non-ideal solutions)
have vapour pressures either higher or lower than that predicted by
Raoult’s law. If the vapour pressure is higher, then the
solution is said to exhibit positive deviation, and if it is lower,
then the solution is said to exhibit negative deviation from Raoult’s
law.

Vapour
pressure of a two-component solution showing positive
deviation from Raoult’s law

Vapour pressure of a two-component solution showing negative
deviation from Raoult’s law
In the
case of an ideal solution, the enthalpy of the mixing of the pure
components for forming the solution is zero.
ΔsolH = 0
In the
case of solutions showing positive deviations, absorption of heat
takes place.
∴ΔsolH = Positive
In the
case of solutions showing negative deviations, evolution of heat
takes place.
∴ΔsolH = Negative
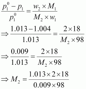
- Qstn #15An
aqueous solution of 2% non-volatile solute exerts a pressure of 1.004
bar at the normal boiling point of the solvent. What is the molar
mass of the solute?Ans : Here,
Vapour pressure of the
solution at normal boiling point (p1) = 1.004 bar
Vapour pressure of pure
water at normal boiling point
Mass of solute, (w2)
= 2 g
Mass of solvent
(water), (w1) = 98 g
Molar mass of solvent
(water), (M1) = 18 g mol-1
According to Raoult’s
law,

= 41.35 g mol-1
Hence, the molar mass
of the solute is 41.35 g mol-1.
- Qstn #16Heptane
and octane form an ideal solution. At 373 K,
the vapour pressures of the two liquid components are 105.2 kPa and
46.8 kPa respectively. What will be the vapour pressure of a mixture
of 26.0 g of heptane and 35 g of octane?Ans : Vapour pressure of
heptane
Vapour pressure of
octane
=
46.8 kPa
We know that,
Molar mass of heptane
(C7H16) = 7 × 12 + 16 × 1
= 100 g mol-1
Number
of moles of heptane
= 0.26 mol
Molar mass of octane
(C8H18) = 8 × 12 + 18 × 1
= 114 g mol-1
Number
of moles of octane
= 0.31 mol
Mole fraction of
heptane,
= 0.456
And, mole fraction of
octane, x2 = 1 - 0.456
= 0.544
Now, partial pressure
of heptane,
= 0.456 × 105.2
= 47.97 kPa
Partial pressure of
octane,
= 0.544 × 46.8
= 25.46 kPa
Hence, vapour pressure
of solution, ptotal = p1 + p2
= 47.97 + 25.46
= 73.43 kPa
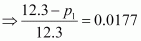
- Qstn #17The
vapour pressure of water is 12.3 kPa at 300 K.
Calculate vapour pressure of 1 molal solution of a non-volatile
solute in it.Ans : 1 molal solution means 1 mol of the solute is present in 1000 g of the solvent (water).
Molar mass of water = 18 g mol-1
Number of moles present in 1000 g of water 
= 55.56 mol
Therefore, mole fraction of the solute in the solution is
.
It is given that,
Vapour pressure of water,
= 12.3 kPa
Applying the relation,

⇒ 12.3 - p1 = 0.2177
⇒ p1 = 12.0823
= 12.08 kPa (approximately)
Hence, the vapour pressure of the solution is 12.08 kPa.
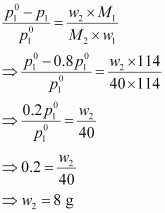
- Qstn #18Calculate
the mass of a non-volatile solute (molar mass 40 g mol-1)
which should be dissolved in 114 g octane to reduce its vapour
pressure to 80%.Ans : Let the vapour pressure
of pure octane be
Then, the vapour
pressure of the octane after dissolving the non-volatile solute is
Molar mass of solute, M2 = 40 g mol-1
Mass of octane, w1 = 114 g
Molar mass of octane,
(C8H18), M1 = 8 × 12 +
18 × 1
= 114 g mol-1
Applying the relation,

Hence, the required
mass of the solute is 8 g.
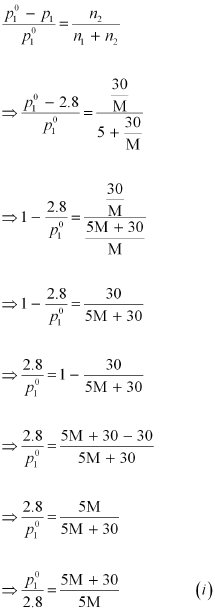
- Qstn #19A solution
containing 30 g of non-volatile solute exactly in 90 g of water has a
vapour
pressure of 2.8 kPa at 298 K.
Further, 18 g of water is then added to
the
solution and the new vapour pressure becomes 2.9 kPa at 298 K.
Calculate:
- molar
mass of the solute - vapour
pressure of water at 298 K.
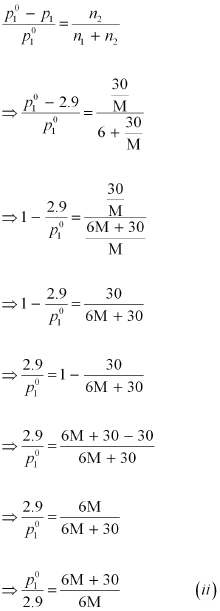
Ans : (i) Let,
the molar mass of the solute be M g mol-1
Now,
the no. of moles of solvent (water),
And,
the no. of moles of solute,

Applying the relation:

After
the addition of 18 g of water:

Again, applying the relation:

Dividing
equation (i) by (ii),
we have:

Therefore,
the molar mass of the solute is 23 g mol-1.
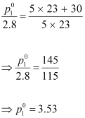
(ii) Putting
the value of ‘M’ in equation (i),
we have:

Hence, the vapour pressure of water at 298 K is 3.53 kPa. - molar
- Qstn #20A
5% solution (by mass) of cane sugar in water has freezing point of
271 K.
Calculate the freezing point of 5% glucose in water if freezing point
of pure water is 273.15 K.Ans : Here, ΔTf = (273.15 - 271) K
= 2.15 K
Molar mass of sugar
(C12H22O11) = 12 × 12 + 22 ×
1 + 11 × 16
= 342 g mol-1
5% solution (by mass)
of cane sugar in water means 5 g of cane sugar is present in (100 -
5)g = 95 g of water.
Now, number of moles of
cane sugar
= 0.0146 mol
Therefore, molality of
the solution,
= 0.1537 mol kg-1
Applying the relation,
ΔTf = Kf × m

= 13.99 K kg
mol-1
Molar of glucose
(C6H12O6) = 6 × 12 + 12 ×
1 + 6 × 16
= 180 g mol-1
5% glucose in water
means 5 g of glucose is present in (100 - 5) g = 95 g of water.
Number of moles of glucose 
= 0.0278 mol
Therefore, molality of
the solution,
= 0.2926 mol kg-1
Applying the relation,
ΔTf = Kf × m
= 13.99 K kg mol-1 × 0.2926 mol kg-1
= 4.09 K
(approximately)
Hence, the freezing
point of 5% glucose solution is (273.15 - 4.09) K= 269.06 K.
- Qstn #21Two
elements A and B form compounds having formula AB2 and AB4.
When dissolved in 20 g of benzene (C6H6),
1 g of AB2 lowers the freezing point by 2.3 Kwhereas 1.0 g of AB4 lowers it by 1.3 K.
The molar depression constant for benzene is 5.1 Kkg mol-1.
Calculate atomic masses of A and B.Ans : We know that,

Then,
= 110.87 g mol-1

= 196.15 g mol-1
Now, we have the molar
masses of AB2 and AB4 as 110.87 g mol-1 and 196.15 g mol-1 respectively.
Let
the atomic masses of A and B be x and y respectively.
Now,
we can write:

Subtracting equation
(i) from (ii), we have
2y = 85.28
⇒ y =
42.64
Putting the value of
‘y’ in equation (1), we have
x + 2 ×
42.64 = 110.87
⇒ x =
25.59
Hence, the atomic
masses of A and B are 25.59 u and 42.64 u respectively.
Page No 61:
- Qstn #22At 300 K, 36 g of
glucose present in a litre of its solution has an osmotic pressure of
4.98 bar. If the osmotic pressure of the solution is 1.52 bars at the
same temperature, what would be its concentration?Ans : Here,
T = 300 K
Ï€ = 1.52 bar
R = 0.083 bar L K-1 mol-1
Applying the relation,
Ï€ = CRT

= 0.061 mol
Since the volume of the
solution is 1 L, the concentration of the solution would be 0.061 M.
- Qstn #23Suggest the most
important type of intermolecular attractive interaction in the
following pairs.
(i) n-hexane and n-octane
(ii) I2 and CCl4
(iii) NaClO4 and water
(iv) methanol and acetone
(v) acetonitrile (CH3CN)
and acetone (C3H6O).Ans : (i) Van der Wall’s forces of attraction.
(ii) Van der Wall’s forces of attraction.
(iii) Ion-diople interaction.
(iv) Dipole-dipole interaction.
(v) Dipole-dipole interaction.
- Qstn #24Based
on solute-solvent interactions, arrange the following in order of
increasing solubility in n-octane and explain. Cyclohexane, KCl,
CH3OH,
CH3CN.Ans : n-octane is a
non-polar solvent. Therefore, the solubility of a non-polar solute is
more than that of a polar solute in the n-octane.
The order of increasing
polarity is:
Cyclohexane < CH3CN
< CH3OH < KCl
Therefore, the order of
increasing solubility is:
KCl < CH3OH
< CH3CN < Cyclohexane
- Qstn #25Amongst the following compounds, identify which are insoluble, partially
soluble and highly soluble in water?
(i) phenol (ii) toluene (iii) formic acid
(iv) ethylene
glycol (v) chloroform (vi) pentanol.Ans : (i) Phenol (C6H5OH) has the polar group
-OH and non-polar group -C6H5.
Thus, phenol is partially soluble in water.
(ii) Toluene
(C6H5-CH3) has no polar
groups. Thus, toluene is insoluble in water.
(iii) Formic acid (HCOOH) has the polar group -OH and
can form H-bond with water. Thus, formic acid is highly soluble in
water.
(iv) Ethylene glycol
has polar -OH group and can form H-bond. Thus, it is
highly soluble in water.
(v) Chloroform
is insoluble in water.
(vi) Pentanol (C5H11OH) has polar -OH
group, but it also contains a very bulky non-polar ÂÂÂ-C5H11 group. Thus, pentanol is partially soluble in water.