NEET-XI-Physics
14: Oscillations
Note: Please signup/signin free to get personalized experience.
Note: Please signup/signin free to get personalized experience.
10 minutes can boost your percentage by 10%
Note: Please signup/signin free to get personalized experience.
- #4-3(c) 3 cos -2 cos (``\pi``/4-2 wt)Ans :

- #4-4(d) cos wt + cos 3 wt + cos 5 wt
Ans :
- #4-5(e) ``e^{-w^2t^2}``Ans : (e) e-w2t2 . It is an exponential function which never repeats itself. Therefore it represents non-periodic motion.
- #4-6(f) 1 + wt + w2t2.Ans : (f) 1 + wt + w2t2 also represents non periodic motion.
- Qstn #5A particle is in linear simple harmonic motion between two points, A and B, 10 cm apart. Take the direction from A to B as the positive direction and give the signs of velocity, acceleration and force on the particle when it isAns : In the fig. (given below), the points A and B, 10 cm apart, are the extreme positions of the particle in SHM, and the point O is the mean position. The direction from A to B is positive, as indicated.

- #5-aat the end A,Ans : At the end A, i.e., extreme position, velocity is zero, acceleration and force are directed towards O and are positive.
- #5-bat the end B,Ans : At the end B, i.e., second extreme position, velocity is zero whereas the acceleration and force are directed towards the point O and are negative.
- #5-cat the mid-point of AB going towards A,Ans : At the mid point O, while going towards A, velocity is negative and maximum. The acceleration and force both are zero.
- #5-dat 2 cm away from B going towards A,Ans : At 2 cm away from B, that is, at C and going towards A: v is negative; acceleration and F, being directed towards O, are also negative.
- #5-eat 3 cm away from A going towards B, andAns : At 3 cm away from A, that is, at D and going towards B: v is positive; acceleration and F, being directed towards O, are also positive.
- #5-fat 4 cm away from B going towards A.Ans : At a distance of 4 cm away from A and going towards A, velocity is directed along BA, therefore, it is positive. Since acceleration and force are directed towards OB, both of them are positive.
- Qstn #6Which of the following relationships between the acceleration a and the displacement x of a particle involve simple harmonic motion?
-(a) a = 0.7x (b) a = - 200 x2
(c) a = - 10x (d) a = 100 x3
Ans : Only (c) i.e., a = - 10x represents SHM. This is because acceleration is proportional and opposite to displacement (x).
- Qstn #7The motion of a particle executing simple harmonic motion is described by the displacement function.
x(t) = A cos (wt +Ф ).
If the initial (t = 0) position of the particle is 1 cm and its initial velocity is w cm/s, what are its amplitude and initial phase angle? The angular frequency of the particle is ``\pi`` s-1. If instead of the cosine function, we choose the sine function to describe the SHM: x = B sin (wt + α), what are the amplitude and initial phase of the particle with the above initial conditions?
Ans :
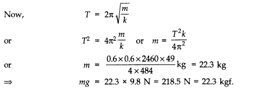
- Qstn #8A spring balance has a scale that reads from 0 to 50 kg. The length of the scale is 20 cm. A body suspended from this balance, when displaced and released, oscillates with a period of 0.6 s. What is the weight of the body?Ans :


- Qstn #9A spring having with a spring constant 1200 Nm-1 is mounted on a horizontal table as shown in Fig. A mass of 3 kg is attached to the free end of the spring. The mass is then pulled sideways to a distance of 2.0 cm and released.Determine (i) the frequency of oscillations, (ii) maximum acceleration of the mass, and (iii) the maximum speed of the mass.

Ans :