NEET-XI-Physics
07: System of particles and Rotational Motion
- #16From a uniform disk of radius R, a circular hole of radius R/2 is cut out. The centre of the hole is at R/2 from the centre of the original disc.Locate the centre of gravity of the resulting flat body.

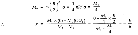
Ans : Let from a bigger uniform disc of radius R with centre O a smaller circular hole of radius R/2 with its centre at O1 (where R OO1 = R/2) is cut out. Let centre of gravity or the centre of mass of remaining flat body be at O2, where OO2 = x. If σ be mass per unit area, then mass of whole disc M1 = ``\pi``R2σ and mass of cut out part

i.e., O2 is at a distance R/6 from centre of disc on diametrically opposite side to centre of hole.