NEET-XI-Chemistry
06: Hydrocarbons
- #4Write IUPAC names of the products obtained by the ozonolysis of the following compounds:
() Pent-2-ene () 3,4-Dimethyl-hept-3-ene
() 2-Ethylbut-1-ene () 1-Phenylbut-1-ene
() 3,4-Dimethyl-hept-3-ene
() 2-Ethylbut-1-ene () 1-Phenylbut-1-ene
() Pent-2-ene () 3,4-Dimethyl-hept-3-ene
() 2-Ethylbut-1-ene () 1-Phenylbut-1-ene
() 3,4-Dimethyl-hept-3-ene
() 2-Ethylbut-1-ene () 1-Phenylbut-1-ene
() 3,4-Dimethyl-hept-3-ene
() 2-Ethylbut-1-ene () 1-Phenylbut-1-eneAns : null () Pent-2-ene undergoes ozonolysis as:

The IUPAC name of Product (I) is ethanal and Product (II)is propanal.
() 3, 4-Dimethylhept-3-ene undergoes ozonolysis as:

The IUPAC name of Product (I)is butan-2-one and Product (II)is Pentan-2-one.
() 2-Ethylbut-1-ene undergoes ozonolysis as:

The IUPAC name of Product (I)is pentan-3-one and Product (II)is methanal.
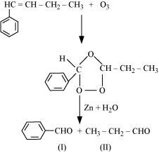
() 1-Phenylbut-1-ene undergoes ozonolysis as:

The IUPAC name of Product (I)is benzaldehyde and Product (II)is propanal.
Page No 397:
() 3, 4-Dimethylhept-3-ene undergoes ozonolysis as:

The IUPAC name of Product (I)is butan-2-one and Product (II)is Pentan-2-one.
() 2-Ethylbut-1-ene undergoes ozonolysis as:

The IUPAC name of Product (I)is pentan-3-one and Product (II)is methanal.
() 1-Phenylbut-1-ene undergoes ozonolysis as:

The IUPAC name of Product (I)is benzaldehyde and Product (II)is propanal.
Page No 397:
() Pent-2-ene undergoes ozonolysis as:

The IUPAC name of Product (I) is ethanal and Product (II)is propanal.
() 3, 4-Dimethylhept-3-ene undergoes ozonolysis as:

The IUPAC name of Product (I)is butan-2-one and Product (II)is Pentan-2-one.
() 2-Ethylbut-1-ene undergoes ozonolysis as:

The IUPAC name of Product (I)is pentan-3-one and Product (II)is methanal.
() 1-Phenylbut-1-ene undergoes ozonolysis as:

The IUPAC name of Product (I)is benzaldehyde and Product (II)is propanal.
Page No 397:
() 3, 4-Dimethylhept-3-ene undergoes ozonolysis as:

The IUPAC name of Product (I)is butan-2-one and Product (II)is Pentan-2-one.
() 2-Ethylbut-1-ene undergoes ozonolysis as:

The IUPAC name of Product (I)is pentan-3-one and Product (II)is methanal.
() 1-Phenylbut-1-ene undergoes ozonolysis as:

The IUPAC name of Product (I)is benzaldehyde and Product (II)is propanal.
Page No 397:
() 3, 4-Dimethylhept-3-ene undergoes ozonolysis as:

The IUPAC name of Product (I)is butan-2-one and Product (II)is Pentan-2-one.
() 2-Ethylbut-1-ene undergoes ozonolysis as:

The IUPAC name of Product (I)is pentan-3-one and Product (II)is methanal.
() 1-Phenylbut-1-ene undergoes ozonolysis as:

The IUPAC name of Product (I)is benzaldehyde and Product (II)is propanal.
Page No 397:
- #4-iPent-2-ene () 3,4-Dimethyl-hept-3-ene
() 2-Ethylbut-1-ene () 1-Phenylbut-1-ene
() 3,4-Dimethyl-hept-3-ene
() 2-Ethylbut-1-ene () 1-Phenylbut-1-eneAns : Pent-2-ene undergoes ozonolysis as:

The IUPAC name of Product (I) is ethanal and Product (II)is propanal.
() 3, 4-Dimethylhept-3-ene undergoes ozonolysis as:

The IUPAC name of Product (I)is butan-2-one and Product (II)is Pentan-2-one.
() 2-Ethylbut-1-ene undergoes ozonolysis as:

The IUPAC name of Product (I)is pentan-3-one and Product (II)is methanal.
() 1-Phenylbut-1-ene undergoes ozonolysis as:

The IUPAC name of Product (I)is benzaldehyde and Product (II)is propanal.
Page No 397:
() 3, 4-Dimethylhept-3-ene undergoes ozonolysis as:

The IUPAC name of Product (I)is butan-2-one and Product (II)is Pentan-2-one.
() 2-Ethylbut-1-ene undergoes ozonolysis as:

The IUPAC name of Product (I)is pentan-3-one and Product (II)is methanal.
() 1-Phenylbut-1-ene undergoes ozonolysis as:

The IUPAC name of Product (I)is benzaldehyde and Product (II)is propanal.
Page No 397:
- #4-ii3,4-Dimethyl-hept-3-eneAns : 3, 4-Dimethylhept-3-ene undergoes ozonolysis as:

The IUPAC name of Product (I)is butan-2-one and Product (II)is Pentan-2-one.
- #4-iii2-Ethylbut-1-eneAns : 2-Ethylbut-1-ene undergoes ozonolysis as:

The IUPAC name of Product (I)is pentan-3-one and Product (II)is methanal.
- #4-iv1-Phenylbut-1-eneAns : 1-Phenylbut-1-ene undergoes ozonolysis as:

The IUPAC name of Product (I)is benzaldehyde and Product (II)is propanal.
Page No 397: