ICSE-X-Mathematics
Previous Year Paper year:2019
Note: Please signup/signin free to get personalized experience.
Note: Please signup/signin free to get personalized experience.
10 minutes can boost your percentage by 10%
No item to list.
Note: Please signup/signin free to get personalized experience.
- #Answers to this Paper must be written on the paper provided separately.
- You will not be allowed to write during the first 15 minutes.
- This time is to be spent in reading the question paper.
- The time given at the head of this Paper is the time allowed for writing the answers.
- Attempt all questions from Section A and any four questions from Section B.
- All working, including rough work, must be clearly shown and must be done on the same sheet as the rest of
- the answer. Omission of essential working will result in the loss of marks.
- The intended marks for questions or parts of questions are given in brackets
[ ].- Mathematical tables are provided.
- #Section : A[40 marks]
(Answer all questions from this Section.)
- #1Ans :

Total investment = ₹ 4500
Face value of a share = ₹ 100
Discount = 10%
∴ Market value of a share = ₹ (100 - 10) = ₹ 90
Now, Number of shares purchased = ``\frac{4500}{90}=50``
Annual income =
= ₹ 375

Here,
Marks corresponding to cumulative frequency 20 is 6
Thus, the required median is 6.
Clearly, 6 occurs 10 times which is maximum.
Hence, mode is 6.
- #1-aSolve the following in equation and write down the solution set :
[3]
11x - 4 < 15x + 4 ≤ 3x + 14, x ∈ W
Represent the solution on a real number line.
- #1-bA man invests 4500 in shares of a company which is paying 7.5% dividend.
[3]
If 100 shares are available at a discount of 10%. Find :
- #1-b-iNumber of shares he purchases.
- #1-b-iiHis annual income.
- #1-cIn a class of 40 students, marks obtained by the students in a class test (out of 10) are given below :
[4]

Calculate the following for the given distribution :
- #1-c-iMedian
- #1-c-iiMode
- #2
- #2-aUsing the factor theorem, show that (x - 2) is a factor of x3+ x2 - 4x - 4.
[3]
Hence, factorise the polynomial completely.
Ans : Given polynomial is p(x) = x3 + x2 - 4x - 4
x - 2 is its factor, if p(2) = 0
p(2) = (2)3 + (2)2 - 4(2) - 4 = 8 + 4 - 8 - 4 = 0
Thus, x - 2 is a factor of p(x).
Now, x3 + x2 - 4x + 4 = x2(x +1) - 4(x + 1)
= (x + 1) (x2 - 4)
= (x + 1) (x + 2) (x - 2)
Hence, the required factors are (x + 1), (x + 2) and (x - 2).
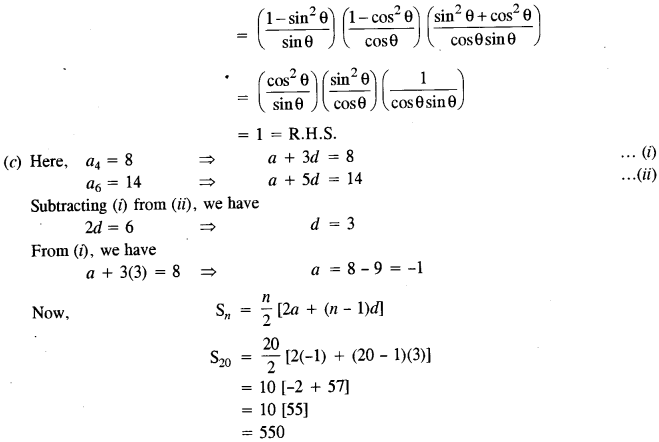
L.H.S. = (cosec θ - sin θ) (sec θ - cos θ) (tan θ + cot θ)


Hence, first term is - 1, common difference is 3 and sum of the first 20 terms is 550.
- #2-bProve that :
(cosec θ - sin θ) (sec θ - cos θ) (tan θ + cot θ) = 1
[3]
- #2-cIn an Arithmetic Progression (A.P.) the fourth and sixth terms are 8 and 14 respectively.
Find the :
[4]
- #2-c-ifirst term