ICSE-X-Mathematics
Previous Year Paper year:2019
Note: Please signup/signin free to get personalized experience.
Note: Please signup/signin free to get personalized experience.
10 minutes can boost your percentage by 10%
No item to list.
Note: Please signup/signin free to get personalized experience.
- #2-c-iicommon difference
- #2-c-iiisum of the first 20 terms.
- #3
- #3-aSimplify :

Ans :

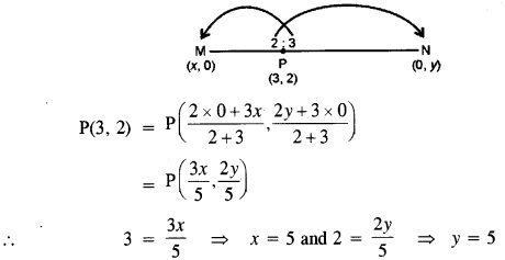
- #3-bM and N are two points on the X axis and Y axis respectively.
[3]
P(3, 2) divides the line segment MN in the ratio 2 : 3.
Find :
Ans : Let the coordinates of M and N be (x, 0) and (0, y)

Thus, the coordinates of M and N are M(5,0) and N(0, 5).

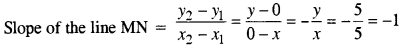
Hence, the slope of the line MN is - 1.
- #3-b-ithe coordinates of M and N
- #3-b-iislope of the line MN.
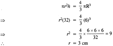
- #3-cA solid metallic sphere of radius 6 cm is melted and made into a solid cylinder of height 32 cm. Find the :
[4]
Ans : Radius of metallic sphere (R) = 6 cm
Height of cylinder (h) = 32 cm
Volume of cylinder = Volume of metallic sphere

Curved Surface area of the year = 2``\pi``rh
= 2× 3.1 × 3 × 32 = 595.2 cm2
- #3-c-iradius of the cylinder
- #3-c-iicurved surface area of the cylinder
Take ``\pi`` = 3.1
- #4
- #4-aThe following numbers, K + 3, K + 2, 3K - 7 and 2K - 3 are in proportion. Find K.
[3]
Ans : Here, ``\frac{K+3}{K+2}=\frac{3 K-7}{2 K-3}``
⇒ (K + 3) (2K - 3) = (K + 2) (3K - 7).
⇒ 2K2 - 3K + 6K - 9 = 3K2- 7K + 6K - 14
⇒ K2 - 4K - 5 = 0
⇒ (K - 5) (K + 1) = 0
⇒ K = 5 or K = - 1
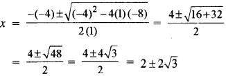
- #4-bSolve for x the quadratic equation x2 - 4x - 8 = 0
Give your answer correct to three significant figures.
Ans : Given quadratic equation is x2 - 4x - 8 = 0
By using quadratic formula, we have

= ``2(1 \pm \sqrt{3})=2(1 \pm 1.73205)=2(2.73205) \text { or } 2(-0.73205)``
= 5.46410 or - 1.4641
= 5.46 or - 1.46
- #4-cUse ruler and compass only for answering this question.
[4]
Draw a circle of radius 4 cm. Mark the center as 0. Mark a point P outside the circle at a distance of 7 cm from the center. Construct two tangents to the circle from the external point P. Measure and write down the length of any one tangent
Ans : Steps of Construction :

1. Draw a circle of radius 4 cm and centre 0.
2. Draw a radius and produce it to P, such that
OP = 7 cm.
3. Bisect OP at M.
4. With M as centre and MP as radius, draw a circle to intersect the given circle at Q and R.
-5. Join PQ and PR.
PQ and PR are the required tangents and length of the tangents is 5.74 cm.
- #Section : B[40 Marks]
(Attempt any four questions)