ICSE-X-Physics
Previous Year Paper year:2010
- #3-b-iiWhat will be the ratio of their frequencies?Ans : Frequency remains same if pitch is unchanged. i.e., Ratio of frequencies = 1 : 1
- #3-c [2]Give two differences between a d.c. motor and an a.c. generator.Ans : Difference between D.C. motor and A.C. Generator:
D. C. Motor A. C. Generator (i) It converts Electrical energy into Mechanical energy. (i) It converts Mechanical energy into Electrical energy. (ii) It consists of split rings. (ii) It consists of slip rings.
- #3-d [2]Six resistances are connected together as shown in the figure. Calculate
the equivalent resistance between the points A and B.
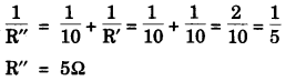
Ans : The resistance 2., 3. and 5. are in series. Their equivalent resistance is R' = 2 + 3 + 5 = 10..
Now the resistance 10. and R' are in parallel. Their equivalent resistance is
Now 2., R' (= 5.) and 5. resistances are in series between A and B.
∴ Equivalent resistance between A and B is,
= 2 + 5 + 5 = 12..
- #3-e [2]Ans : (i) The outer body of an electrical appliance which can be handled physically is earthed for the safety reasons. For the earthing of an appliance, the earth wire of the cable is connected to outer metallic case of the appliance.
- #3-e-iWhich part of an electrical appliance is earthed ?
- #3-e-iiState a relation between electrical power, resistance and potential
difference in an electrical circuit.Ans :
- #4
- #4-a [2]A device is used to transform ``\pu{ 12V }`` a.c. to ``\pu{200 V }`` a.c.
- #4-a-iWhat is the name of this device ?
- #4-a-iiName the principle on which it works.
- #4-b [2]
- #4-b-iWhich material is the calorimeter commonly made of ?
- #4-b-iiGive one reason for using this material.
- #4-c [2]
- #4-c-iName a metal that is used as an electron emitter.