ICSE-X-Physics
Previous Year Paper year:2009
- #ICSE | PHYSICS
Board Paper 2009
Class X Physics
ICSE Board
Maximum Marks: 80 Time: One hour and a half
___________________________________________________________
1. Answer to this Paper must be written on the paper provided separately.
2. You will not be allowed to write during the first 15 minutes. This time is to be
spent in reading the Question Paper.
3. The time given at the head of this Paper is the time allowed for writing the
answers.
4. Section I is compulsory. Attempt any four questions from Section II.
5. The intended marks for questions or parts of questions are given in brackets [ ].
- # [40]Section : I(Attempt all question from this section)
- #1
- #1-a [2]If .m. is the mass of the body. .v. its velocity and .p. the
momentum then write a relationship between change in
momentum , mass and velocity of the body when **Ans : Answer has not given due to out of present syllabus.
- #1-a-iv is almost equal to c, the velocity of light.
- #1-a-iiv is very, very less as compared to c, the velocity of
light.
- #1-b [2]
- #1-b-iWith reference to the terms mechanical advantage,
velocity ratio and efficiency of a machine, name the
term that will not change for a machine of a given
design.Ans : Velocity Ratio.
- #1-b-iiDefine the term stated by you in part (i).Ans : Velocity Ratio is the ratio of velocity of effort to the velocity of load.
- #1-c [2]What is the SI unit of energy? How is the electron volt (eV) related
to it?Ans : Joule (J).
1 eV = 1.6 x 10-19 J
- #1-d [2]State the energy changes that take place in the following when they
are in use :
- #1-d-ia photovoltaic cell.Ans : Light energy to electrical energy.
- #1-d-iian electromagnet.Ans : Electrical energy to magnetic energy.
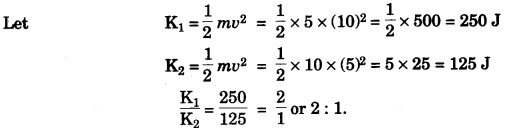
- #1-e [2]A body of mass 5 kg is moving with a velocity of ``\pu{10 ms-1}``. What will
be the ratio of its initial kinetic energy and final kinetic energy. if the
mass of the body is doubled and its velocity is halved?Ans :
- #2