NEET-XII-Physics
05: Magnetism And Matter
Note: Please signup/signin free to get personalized experience.
Note: Please signup/signin free to get personalized experience.
10 minutes can boost your percentage by 10%
Note: Please signup/signin free to get personalized experience.
- Qstn #5A closely wound solenoid of 800 turns and area of cross section 2.5 × 10-4 m2 carries a current of 3.0 A. Explain the sense in which the solenoid acts like a bar magnet. What is its associated magnetic moment?
Ans : Number of turns in the solenoid, n = 800
Area of cross-section, A = 2.5 × 10-4 m2
Current in the solenoid, I = 3.0 A
A current-carrying solenoid behaves as a bar magnet because a magnetic field develops along its axis, i.e., along its length.
The magnetic moment associated with the given current-carrying solenoid is calculated as:
M = n I A
= 800 × 3 × 2.5 × 10-4
= 0.6 J T-1
- Qstn #6If the solenoid in Exercise 5.5 is free to turn about the vertical direction and a uniform horizontal magnetic field of 0.25 T is applied, what is the magnitude of torque on the solenoid when its axis makes an angle of 30° with the direction of applied field?
Ans : Magnetic field strength, B = 0.25 T
Magnetic moment, M = 0.6 T-1
The angle θ, between the axis of the solenoid and the direction of the applied field is 30°.
Therefore, the torque acting on the solenoid is given as:

- Qstn #7A bar magnet of magnetic moment 1.5 J T-1 lies aligned with the direction of a uniform magnetic field of 0.22 T.
- #7-aWhat is the amount of work required by an external torque to turn the magnet so as to align its magnetic moment:Ans : Magnetic moment, M = 1.5 J T-1
Magnetic field strength, B = 0.22 T
- #7-a-inormal to the field direction,Ans : Initial angle between the axis and the magnetic field, θ1 = 0°
Final angle between the axis and the magnetic field, θ2 = 90°
The work required to make the magnetic moment normal to the direction of magnetic field is given as:

- #7-a-iiopposite to the field direction?Ans : Initial angle between the axis and the magnetic field, θ1 = 0°
Final angle between the axis and the magnetic field, θ2 = 180°
The work required to make the magnetic moment opposite to the direction of magnetic field is given as:

- #7-bWhat is the torque on the magnet in cases (i) and (ii)?Ans : For case (i):

∴Torque,

For case (ii):
∴Torque,

- Qstn #8A closely wound solenoid of 2000 turns and area of cross-section 1.6 × 10-4 m2, carrying a current of 4.0 A, is suspended through its centre allowing it to turn in a horizontal plane.
Ans : Number of turns on the solenoid, n = 2000
Area of cross-section of the solenoid, A = 1.6 × 10-4 m2
Current in the solenoid, I = 4 A
- #8-aWhat is the magnetic moment associated with the solenoid?Ans : The magnetic moment along the axis of the solenoid is calculated as:
M = nAI
= 2000 × 1.6 × 10-4 × 4
= 1.28 Am2
- #8-bWhat is the force and torque on the solenoid if a uniform horizontal magnetic field of 7.5 × 10-2 T is set up at an angle of 30° with the axis of the solenoid?Ans : Magnetic field, B = 7.5 × 10-2 T
Angle between the magnetic field and the axis of the solenoid, θ = 30°
Torque,.gif)

Since the magnetic field is uniform, the force on the solenoid is zero. The torque on the solenoid is
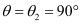
- Qstn #9A circular coil of 16 turns and radius 10 cm carrying a current of 0.75 A rests with its plane normal to an external field of magnitude 5.0 × 10-2 T. The coil is free to turn about an axis in its plane perpendicular to the field direction. When the coil is turned slightly and released, it oscillates about its stable equilibrium with a frequency of 2.0 s-1. What is the moment of inertia of the coil about its axis of rotation?
Ans : Number of turns in the circular coil, N = 16
Radius of the coil, r = 10 cm = 0.1 m
Cross-section of the coil, A = ``\pi``r2 = ``\pi`` × (0.1)2 m2
Current in the coil, I = 0.75 A
Magnetic field strength, B = 5.0 × 10-2 T
Frequency of oscillations of the coil, v = 2.0 s-1
∴Magnetic moment, M = NIA
= 16 × 0.75 × ``\pi`` × (0.1)2
= 0.377 J T-1

Where,
I = Moment of inertia of the coil

Hence, the moment of inertia of the coil about its axis of rotation is
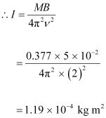
- Qstn #10A magnetic needle free to rotate in a vertical plane parallel to the magnetic meridian has its north tip pointing down at 22° with the horizontal. The horizontal component of the earth’s magnetic field at the place is known to be 0.35 G. Determine the magnitude of the earth’s magnetic field at the place.
Ans : Horizontal component of earth’s magnetic field, BH = 0.35 G
Angle made by the needle with the horizontal plane = Angle of dip =
Earth’s magnetic field strength = B
We can relate B and BHas:

Hence, the strength of earth’s magnetic field at the given location is 0.377 G.
- Qstn #11At a certain location in Africa, a compass points 12° west of the geographic north. The north tip of the magnetic needle of a dip circle placed in the plane of magnetic meridian points 60° above the horizontal. The horizontal component of the earth’s field is measured to be 0.16 G. Specify the direction and magnitude of the earth’s field at the location.
Ans : Angle of declination,θ = 12°
Angle of dip,