NEET-XII-Physics
01: Electric Charges And Fields
Note: Please signup/signin free to get personalized experience.
Note: Please signup/signin free to get personalized experience.
10 minutes can boost your percentage by 10%
Note: Please signup/signin free to get personalized experience.
- #32
- #32-aConsider an arbitrary electrostatic field configuration. A small test charge is placed at a null point (i.e., where E = 0) of the configuration. Show that the equilibrium of the test charge is necessarily unstable.Ans : Let the equilibrium of the test charge be stable. If a test charge is in equilibrium and displaced from its position in any direction, then it experiences a restoring force towards a null point, where the electric field is zero. All the field lines near the null point are directed inwards towards the null point. There is a net inward flux of electric field through a closed surface around the null point. According to Gauss’s law, the flux of electric field through a surface, which is not enclosing any charge, is zero. Hence, the equilibrium of the test charge can be stable.
- #32-bVerify this result for the simple configuration of two charges of the same magnitude and sign placed a certain distance apart.Ans : Two charges of same magnitude and same sign are placed at a certain distance. The mid-point of the joining line of the charges is the null point. When a test charged is displaced along the line, it experiences a restoring force. If it is displaced normal to the joining line, then the net force takes it away from the null point. Hence, the charge is unstable because stability of equilibrium requires restoring force in all directions.
- Qstn #33A particle of mass m and charge (-q) enters the region between the two charged plates initially moving along x-axis with speed vx (like particle 1 in Fig. 1.33). The length of plate is L and an uniform electric field E is maintained between the plates. Show that the vertical deflection of the particle at the far edge of the plate is qEL2/ (2m
).
Compare this motion with motion of a projectile in gravitational field discussed in Section 4.10 of Class XI Textbook of Physics.
Ans : Charge on a particle of mass m = - q
Velocity of the particle = vx
Length of the plates = L
Magnitude of the uniform electric field between the plates = E
Mechanical force, F = Mass (m) × Acceleration (a)

Therefore, acceleration,
Time taken by the particle to cross the field of length L is given by,
t
In the vertical direction, initial velocity, u = 0
According to the third equation of motion, vertical deflection s of the particle can be obtained as,

Hence, vertical deflection of the particle at the far edge of the plate is
. This is similar to the motion of horizontal projectiles under gravity.
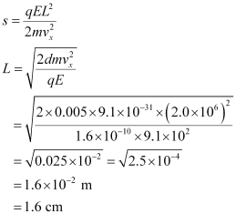
- Qstn #34Suppose that the particle in Exercise in 1.33 is an electron projected with velocity vx= 2.0 × 106 m s-1. If E between the plates separated by 0.5 cm is 9.1 × 102 N/C, where will the electron strike the upper plate? (| e | =1.6 × 10-19 C, me = 9.1 × 10-31 kg.)
Ans : Velocity of the particle, vx = 2.0 × 106 m/s
Separation of the two plates, d = 0.5 cm = 0.005 m
Electric field between the two plates, E = 9.1 × 102 N/C
Charge on an electron, q = 1.6 × 10-19 C
Mass of an electron, me = 9.1 × 10-31 kg
Let the electron strike the upper plate at the end of plate L, when deflection is s.
Therefore,

Therefore, the electron will strike the upper plate after travelling 1.6 cm.