NEET-XII-Chemistry
02: Alcohols, Phenols and Ethers
Note: Please signup/signin free to get personalized experience.
Note: Please signup/signin free to get personalized experience.
10 minutes can boost your percentage by 10%
02-Alcohols, Phenols and Ethers
Note: Please signup/signin free to get personalized experience.
- Qstn #4Show how are the following alcohols prepared by the reaction of a suitable
Grignard reagent on methanal?
()
()
Ans : null ()
()
- Qstn #6Give structures of the products you would expect when each of the following alcohol reacts with (a ) HCl-ZnCl2 (b) HBr and (c) ``\ce{SOCl2}``.
(i ) Butan-1-ol
(ii) 2-Methylbutan-2-ol
Ans : (a)
(i)

Primary alcohols do not react appreciably with Lucas’ reagent (HCl-ZnCl2) at room temperature.
(ii)

Tertiary alcohols react immediately with Lucas’ reagent.
(b)
(i)

(ii)

(c)
(i)

(ii)

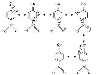
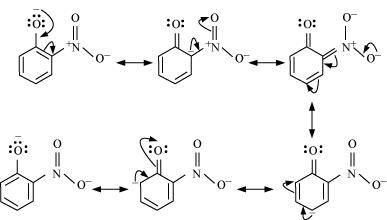
- Qstn #8Ortho and para nitrophenols are more acidic than phenol. Draw the resonance structures of the corresponding phenoxide ions.
Ans :
Resonance structure of the phenoxide ion

Resonance structures of p-nitrophenoxide ion

Resonance structures of o-nitrophenoxide ion
It can be observed that the presence of nitro groups increases the stability of phenoxide ion.
- Qstn #9Write the equations involved in the following reactions:
Ans :- Reimer-Tiemann reaction

- Kolbe’s reaction

SECTION I SECTION I Page No 342:






