NEET-XII-Chemistry
01: The Solid State
Note: Please signup/signin free to get personalized experience.
Note: Please signup/signin free to get personalized experience.
10 minutes can boost your percentage by 10%
Note: Please signup/signin free to get personalized experience.
- #1 - The Solid State
- #Section : I
- Qstn #1Why are solids rigid?
Ans : The intermolecular forces of attraction that are present in solids are very strong. The constituent particles of solids cannot move from their positions i.e., they have fixed positions. However, they can oscillate about their mean positions. This is the reason solids are rigid.
- Qstn #2Why do solids have a definite volume?
Ans : The intermolecular forces of attraction that are present in solids are very strong. The constituent particles of solids have fixed positions i.e., they are rigid. Hence, solids have a definite volume.
- Qstn #3Classify the following as amorphous or crystalline solids:
Polyurethane, naphthalene, benzoic acid, teflon, potassium nitrate, cellophane, polyvinyl chloride, fibre glass, copper.
Ans : Amorphous solids
Polyurethane, teflon, cellophane, polyvinyl chloride, fibre glass
Crystalline solids
Naphthalene, benzoic acid, potassium nitrate, copper
- Qstn #4Why is glass considered a super cooled liquid?
Ans : Similar to liquids, glass has a tendency to flow, though very slowly. Therefore, glass is considered as a super cooled liquid. This is the reason that glass windows and doors are slightly thicker at the bottom than at the top.
- Qstn #5Refractive index of a solid is observed to have the same value along all directions. Comment on the nature of this solid. Would it show cleavage property?
Ans : An isotropic solid has the same value of physical properties when measured along different directions. Therefore, the given solid, having the same value of refractive index along all directions, is isotropic in nature. Hence, the solid is an amorphous solid.
When an amorphous solid is cut with a sharp edged tool, it cuts into two pieces with irregular surfaces.
- Qstn #6Classify the following solids in different categories based on the nature of intermolecular forces operating in them:
Potassium sulphate, tin, benzene, urea, ammonia, water, zinc sulphide, graphite, rubidium, argon, silicon carbide.
Ans : Potassium sulphate → Ionic solid
Tin → Metallic solid
Benzene → Molecular (non-polar) solid
Urea → Polar molecular solid
Ammonia → Polar molecular solid
Water → Hydrogen bonded molecular solid
Zinc sulphide → Ionic solid
Graphite → Covalent or network solid
Rubidium → Metallic solid
Argon → Non-polar molecular solid
Silicon carbide → Covalent or network solid
- Qstn #7Solid A is a very hard electrical insulator in solid as well as in molten state and melts at extremely high temperature. What type of solid is it?
Ans : The given properties are the properties of a covalent or network solid. Therefore, the given solid is a covalent or network solid. Examples of such solids include diamond (C) and quartz (SiO2).
- Qstn #8Ionic solids conduct electricity in molten state but not in solid state. Explain.
Ans : In ionic compounds, electricity is conducted by ions. In solid state, ions are held together by strong electrostatic forces and are not free to move about within the solid. Hence, ionic solids do not conduct electricity in solid state. However, in molten state or in solution form, the ions are free to move and can conduct electricity.
- Qstn #9What type of solids are electrical conductors, malleable and ductile?
Ans : Metallic solids are electrical conductors, malleable, and ductile.
- Qstn #10Give the significance of a ‘lattice point’.
Ans : The significance of a lattice point is that each lattice point represents one constituent particle of a solid which may be an atom, a molecule (group of atom), or an ion.
- Qstn #11Name the parameters that characterize a unit cell.
Ans : The parameters that characterise a unit cell are as follows.
(i) Its dimensions along the three edges, a, b, and c
These edges may or may not be equal.
(ii) Angles between the edges
These are the angle ∝ (between edges b and c), β (between edges a and c), and γ (between edges a and b).
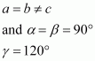
- Qstn #12-iHexagonal and monoclinic unit cellsAns : Hexagonal unit cell
For a hexagonal unit cell,
_20-11-08_Utpal_12_Chemistry_1_24_html_bcf31bc.gif)
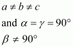
Monoclinic unit cell
For a monoclinic cell,
_20-11-08_Utpal_12_Chemistry_1_24_html_5838b036.gif)