NEET-XI-Physics
14: Oscillations
Note: Please signup/signin free to get personalized experience.
Note: Please signup/signin free to get personalized experience.
10 minutes can boost your percentage by 10%
Note: Please signup/signin free to get personalized experience.
- Qstn #21You are riding an automobile of mass 3000 kg. Assuming that you are examining the oscillation characteristics of its suspension system. The suspension sags 15 cm when the entire automobile is placed on it. Also, the amplitude of oscillation decreases by 50% during one complete oscillation. Estimate the values of (a) the spring constant k and (b) the damping constant b for the spring and shock absorber system of one wheel, assuming that each wheel supports 750 kg. g = 10 m/s2.Ans :

- Qstn #22Show that for a particle in linear SHM the average kinetic energy over a period of oscillation equals the average potential energy over the same period.Ans : Let the particle executing SHM starts oscillating from its mean position. Then displacement equation is


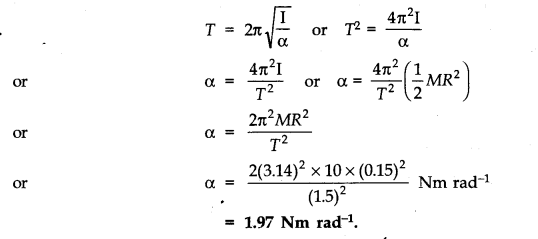
- Qstn #23A circular disc, of mass 10 kg, is suspended by a wire attached to its centre. The wire is twisted by rotating the disc and released. The period of torsional oscillations of found to be 1.5 s. The radius of the disc is 15 cm. Determine the torsional spring constant of the wire. (Torsional spring constant) a is defined by the relation J = - αθ, where J is the restoring couple and θ the angle of twist).Ans :

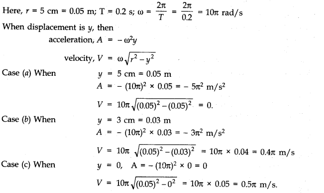
- Qstn #24A body describes simple harmonic motion with an amplitude of 5 cm and a period of 0.2 s. Find the acceleration and velocity of the body when the displacement is (a) 5 cm (b) 3 cm (c) 0 cmAns :

- Qstn #25A mass attached to a spring is free to oscillate, with angular velocity w, in a horizontal plane without friction or damping. It is pulled to a distance x0 and pushed towards the centre with a velocity v0at time t = 0. Determine the amplitude of the resulting oscillations in terms of the parameters w, x0 and v0.Ans :
