ICSE-X-Physics
Previous Year Paper year:2019
Note: Please signup/signin free to get personalized experience.
Note: Please signup/signin free to get personalized experience.
10 minutes can boost your percentage by 10%
No item to list.
Note: Please signup/signin free to get personalized experience.
- #5-c-iiiIf the tension acting on the string is T, then what is the relationship between T and effort E?Ans : T = E.
- #5-c-ivIf the free end of the string moves through a distance x, find the distance by which the
load is raised.
Ans : The distance travelled by load is half the distance moved by effort = ``\frac { x }{ 2 }`` .
- #6
- #6-aHow does the angle of deviation formed by a prism change with the increase in the angle of
incidence? Draw a graph showing the variation in the angle of deviation with the angle of incidence at a prism surface.
[3]
Ans : As the. angle of incidence increases the angle of deviation decreases becomes minimum and then increases.
The graph is as shown :

- #6-bA virtual, diminished image is formed when an object is placed between the optical centre and the principal focus of a lens.
- #6-b-iName the type of lens which forms the above image.Ans : Concave lens.
- #6-b-iiDraw a ray diagram to show the formation of the image with the above stated characteristics.
[3]
Ans : The ray diagram is as shown :

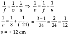
- #6-cAn object is placed at a distance 24 cm in front of a convex lens of focal length 8 cm.Ans : Given u = - 24 cm, f= + 8 cm, v = ?
- #6-c-iWhat is the nature of the image so formed ?Ans : Real, inverted and diminished.
- #6-c-iiCalculate the distance of the image from the lens.Ans : Using the lens formula

- #6-c-iiiCalculate the magnification of the image.
[4]
Ans : Using the expression m =``\frac { v }{ u }`` = ``\frac { 12 }{ -24 }`` = ``\frac { 1 }{ 2 }`` .
- #7
- #7-aIt is observed that during march-past we hear a base drum distinctly from a distance compared to the side drums.
- #7-a-iName the characteristic of sound associated with the above observation.Ans : Intensity of sound.
- #7-a-iiGive a reason for the above observation.
[3]
Ans : This is because the amplitude of vibration of a base drum is far greater than the amplitude of vibration of the side drum.