ICSE-X-Physics
Previous Year Paper year:2019
Note: Please signup/signin free to get personalized experience.
Note: Please signup/signin free to get personalized experience.
10 minutes can boost your percentage by 10%
No item to list.
Note: Please signup/signin free to get personalized experience.
- #Answers to this Paper must he written on the paper provided separately.
- You will not be allowed to write during the first 15 minutes.
- This time is to he spent in reading the question paper.
- The time given at the head of this Paper is the time allowed for writing the answers.
- Section I is compulsory. Attempt any four questions from Section II.
- The intended marks for questions or parts of questions are given in brackets
[ ].
- #Section : I[40 Marks]
(Attempt all questions from this Section)
- #1
- #1-aThe diagram below shows a claw hammer used to remove a nail:

- #1-a-iTo which class of lever does it belong ?Ans : Class One.
- #1-a-iiGive one more example of the same class of lever mentioned by you in (i) for which the mechanical advantage is greater than one.Ans : Shears used for cutting the thin metal sheets.
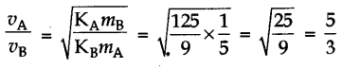
- #1-bTwo bodies A and B have masses in the ratio 5:1 and their kinetic energies are in the ratio 125:9. Find the ratio of their velocities.
[2]
Ans : Given

Kinetic energy is given by K = ``\frac { 1 }{ 2 }`` mv2
Therefore,

- #1-c
- #1-c-iName the physical quantity which is measured in caloriesAns : Heat energy.
- #1-c-iiHow is calorie related to the SI unit of that quantity?
[2]
Ans : 1 cal = 4.2 J.
- #1-d
- #1-d-iDefine couple.Ans : It is defined as a set of two equal and opposite forces acting along different lines
of action.
- #1-d-iiState the SI unit of moment of couple.
[2]
Ans : SI unit is N m.
- #1-e
- #1-e-iDefine critical angle.Ans : It is the angle of incidence in the denser medium for which angle of refraction in the rarer medium is 90°.