ICSE-VIII-Mathematics

03: Squares and Square Roots Class 8 Maths

with Solutions -

Note: Please signup/signin free to get personalized experience.

Note: Please signup/signin free to get personalized experience.

10 minutes can boost your percentage by 10%

Note: Please signup/signin free to get personalized experience.

 
  • #
  • #
    Section : A
  • #1-i
    59
    Ans : Square of 59 = 59 × 59 = 3481
  • #1-ii
    63
    Ans : Square of 6.3 = 6.3 × 6.3 = 39.69
  • #1-iii
    15
    Ans : Square of 15 = 15 × 15 = 225
  • Qstn #2
    By splitting into prime factors, find the square root of :
  • #2-i
    11025
    Ans :
  • #2-ii
    396900
    Ans :
  • #2-iii
    194481
    Ans :
  • #3
  • #3-i
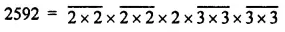
    Find the smallest number by which 2592 be multiplied so that the product is a perfect square.
    Ans :
    On grouping the prime factors of 2592 as shown; on factor i.e., 2 is left which cannot be paired with equal factor.

    The given number should be multiplied by 2 to make the given number a perfect square.
  • #3-ii
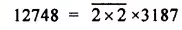
    Find the smallest number by which 12748 be multiplied so that the product is a perfect square?
    Ans :
    On grouping, the prime factors of 12748 as shown; one factor i.e., 3187 is left which cannot be paired with equal factor.

    The given number should be multiplied by 3187.
  • Qstn #4
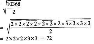
    Find the smallest number by which 10368 be divided so that the result is a perfect square. Also, find the square root of the resulting numbers.
    Ans :
    On grouping, the prime factors of 10368 as shown; one factor i.e., 2 is left which cannot be paired with equal factor.

    ∴ The given number should be divided by 2.
    Now