back
refresh
Sign up
Home
Learn Fast
select Course
Change Unit
Change Subject
Last Menu
NEET-XII-Chemistry
01: Haloalkanes and Haloarenes
Previous Unit
Next Unit
page 4
search by:
id â–¼
Learn
Practice
««
«
1
2
3
4
5
6
7
...
10
»
»»
Qstn #1-xii
o
-Br-C
6
H
4
CH(CH
3
)CH
2
CH
3
Ans
:
1-Bromo-2-(1-methylpropyl) benzene
(Aryl halide)
+
Qstn #2
Give the IUPAC names of the following compounds:
+
Qstn #2-i
CH
3
CH(Cl)CH(Br)CH
3
Ans
:
2-Bromo-3-chlorobutane
+
Qstn #2-ii
CHF
2
CBrClF
Ans
:
1-Bromo-1-chloro-1, 2, 2-trifluoroethane
+
Qstn #2-iii
ClCH
2
C≡CCH
2
Br
Ans
:
1-Bromo-4-chlorobut-2-yne
+
Qstn #2-iv
(CCl
3
)
3
CCl
Ans
:
2-(Trichloromethyl)-1,1,1,2,3,3,3-heptachloropropane
+
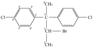
Qstn #2-v
CH
3
C(
p
-ClC
6
H
4
)
2
CH(Br)CH
3
Ans
:
2-Bromo-3, 3-bis(4-chlorophenyl) butane
+
Qstn #2-vi
(CH
3
)
3
CCH=CClC
6
H
4
I-
p
Ans
:
1-chloro-1-(4-iodophenyl)-3, 3-dimethylbut-1-ene
+
Qstn #3
Write the structures of the following organic halogen compounds.
+
Qstn #3-i
2-Chloro-3-methylpentane
Ans
:
2-Chloro-3-methylpentane
+
Qstn #3-ii
p-Bromochlorobenzene
Ans
:
p-Bromochlorobenzene
+
Qstn #3-iii
1-Chloro-4-ethylcyclohexane
Ans
:
1-Chloro-4-ethylcyclohexane
+
Qstn #3-iv
2-(2-Chlorophenyl)-1-iodooctane
Ans
:
2-(2-Chlorophenyl)-1-iodooctane
+
Qstn #3-v
Perfluorobenzene
Ans
:
Perfluorobenzene
+
Qstn #3-vi
4-tert-Butyl-3-iodoheptane
Ans
:
4-Tert-Butyl-3-iodoheptane
+
««
«
1
2
3
4
5
6
7
...
10
»
»»
next page