NEET-XII-Chemistry
01: The Solid State
- Qstn #10-iiiface-centred cubic (with the assumptions that atoms are touching each other).Ans : Face-centred cubic
Let the edge length of the unit cell be ‘a’ and the length of the face diagonal AC be b.

From ΔABC, we have:

Let r be the radius of the atom.
Now, from the figure, it can be observed that:

Now, volume of the cube,
We know that the number of atoms per unit cell is 4.
So, volume of the occupied unit cell

= 74%
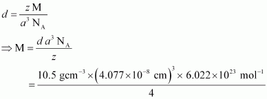
- Qstn #11Silver crystallises in fcc lattice. If edge length of the cell is 4.07 × 10-8 cm and density is 10.5 g cm-3, calculate the atomic mass of silver.
Ans : It is given that the edge length, a = 4.077 × 10-8 cm
Density, d = 10.5 g cm-3
As the lattice is fcc type, the number of atoms per unit cell, z = 4
We also know that, NA = 6.022 × 1023 mol-1
Using the relation:

= 107.13 gmol-1
Therefore, atomic mass of silver = 107.13 u
- Qstn #12A cubic solid is made of two elements P and Q. Atoms of Q are at the corners of the cube and P at the body-centre. What is the formula of the compound? What are the coordination numbers of P and Q?
Ans : It is given that the atoms of Q are present at the corners of the cube.
Therefore, number of atoms of Q in one unit cell
It is also given that the atoms of P are present at the body-centre.
Therefore, number of atoms of P in one unit cell = 1
This means that the ratio of the number of P atoms to the number of Q atoms, P:Q = 1:1
Hence, the formula of the compound is PQ.
The coordination number of both P and Q is 8.
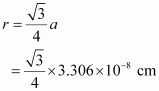
- Qstn #13Niobium crystallises in body-centred cubic structure. If density is 8.55 g cm-3, calculate atomic radius of niobium using its atomic mass 93 u.
Ans : It is given that the density of niobium, d = 8.55 g cm-3
Atomic mass, M = 93 gmol-1
As the lattice is bcc type, the number of atoms per unit cell, z = 2
We also know that, NA = 6.022 × 1023 mol-1
Applying the relation:

= 3.612 × 10-23 cm3
So, a = 3.306 × 10-8 cm
For body-centred cubic unit cell:

= 1.432 × 10-8 cm
= 14.32 × 10-9 cm
= 14.32 nm
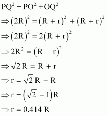
- Qstn #14If the radius of the octachedral void is r and radius of the atoms in close packing is R, derive relation between r and R.
Ans :
A sphere with centre O, is fitted into the octahedral void as shown in the above figure. It can be observed from the figure that ΔPOQ is right-angled
∠POQ = 900
Now, applying Pythagoras theorem, we can write:

- Qstn #15Copper crystallises into a fcc lattice with edge length 3.61 × 10-8 cm. Show that the calculated density is in agreement with its measured value of 8.92 g cm-3.
Ans : Edge length, a = 3.61 × 10-8 cm
As the lattice is fcc type, the number of atoms per unit cell, z = 4
Atomic mass, M = 63.5 g mol-1
We also know that, NA = 6.022 × 1023 mol-1
Applying the relation:

= 8.97 g cm-3
The measured value of density is given as 8.92 g cm-3. Hence, the calculated density 8.97 g cm-3 is in agreement with its measured value.
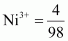
- Qstn #16Analysis shows that nickel oxide has the formula Ni0.98O1.00. What fractions of nickel exist as Ni2+ and Ni3+ ions?
Ans : The formula of nickel oxide is Ni0.98O1.00.
Therefore, the ratio of the number of Ni atoms to the number of O atoms, Ni : O = 0.98 : 1.00 = 98 : 100
Now, total charge on 100 O2- ions = 100 × (-2)
= -200
Let the number of Ni2+ ions be x.
So, the number of Ni3+ ions is 98 - x.
Now, total charge on Ni2+ ions = x(+2)
= +2x
And, total charge on Ni3+ ions = (98 - x)(+3)
= 294 - 3x
Since, the compound is neutral, we can write:
2x + (294 - 3x) + (-200) = 0
⇒ -x + 94 = 0
⇒ x = 94
Therefore, number of Ni2+ ions = 94
And, number of Ni3+ ions = 98 - 94 = 4
Hence, fraction of nickel that exists as Ni2+
= 0.959
And, fraction of nickel that exists as
= 0.041
Alternatively, fraction of nickel that exists as Ni3+ = 1 - 0.959
= 0.041
- Qstn #17What is a semiconductor? Describe the two main types of semiconductors and contrast their conduction mechanism.
Ans : Semiconductors are substances having conductance in the intermediate range of 10-6 to 104 ohm-1m-1.
The two main types of semiconductors are:
(i) n-type semiconductor
(ii) p-type semiconductor
n-type semiconductor: The semiconductor whose increased conductivity is a result of negatively-charged electrons is called an n-type semiconductor. When the crystal of a group 14 element such as Si or Ge is doped with a group 15 element such as P or As, an n-type semiconductor is generated.
Si and Ge have four valence electrons each. In their crystals, each atom forms four covalent bonds. On the other hand, P and As contain five valence electrons each. When Si or Ge is doped with P or As, the latter occupies some of the lattice sites in the crystal. Four out of five electrons are used in the formation of four covalent bonds with four neighbouring Si or Ge atoms. The remaining fifth electron becomes delocalised and increases the conductivity of the doped Si or Ge.

p-type semiconductor: The semiconductor whose increased in conductivity is a result of electron hole is called a p-type semiconductor. When a crystal of group 14 elements such as Si or Ge is doped with a group 13 element such as B, Al, or Ga (which contains only three valence electrons), a p-type of semiconductor is generated.
When a crystal of Si is doped with B, the three electrons of B are used in the formation of three covalent bonds and an electron hole is created. An electron from the neighbouring atom can come and fill this electron hole, but in doing so, it would leave an electron hole at its original position. The process appears as if the electron hole has moved in the direction opposite to that of the electron that filled it. Therefore, when an electric field is applied, electrons will move toward the positively-charged plate through electron holes. However, it will appear as if the electron holes are positively-charged and are moving toward the negatively- charged plate.

- Qstn #18Non-stoichiometric cuprous oxide, Cu2O can be prepared in laboratory. In this oxide, copper to oxygen ratio is slightly less than 2:1. Can you account for the fact that this substance is a p-type semiconductor?
Ans : In the cuprous oxide (Cu2O) prepared in the laboratory, copper to oxygen ratio is slightly less than 2:1. This means that the number of Cu+ ions is slightly less than twice the number of O2- ions. This is because some Cu+ ions have been replaced by Cu2+ ions. Every Cu2+ ion replaces two Cu+ ions, thereby creating holes. As a result, the substance conducts electricity with the help of these positive holes. Hence, the substance is a p-type semiconductor.
- Qstn #19Ferric oxide crystallises in a hexagonal close-packed array of oxide ions with two out of every three octahedral holes occupied by ferric ions. Derive the formula of the ferric oxide.
Ans : Let the number of oxide (O2-) ions be x.
So, number of octahedral voids = x
It is given that two out of every three octahedral holes are occupied by ferric ions.
So, number of ferric (Fe3+) ions
Therefore, ratio of the number of Fe3+ ions to the number of O2- ions, Fe3+ : O2-

= 2 : 3
Hence, the formula of the ferric oxide is Fe2O3.
- Qstn #20-iGe doped with InAns : Ge (a group 14 element) is doped with In (a group 13 element). Therefore, a hole will be created and the semiconductor generated will be a p-type semiconductor.
- Qstn #20-iiB doped with Si.Ans : B (a group 13 element) is doped with Si (a group 14 element). Thus, a hole will be created and the semiconductor generated will be a p-type semiconductor.
- Qstn #21Gold (atomic radius = 0.144 nm) crystallises in a face-centred unit cell. What is the length of a side of the cell?
Ans : For a face-centred unit cell:

It is given that the atomic radius, r = 0.144 nm
So,
= 0.407 nm
Hence, length of a side of the cell = 0.407 nm