ICSE-X-Physics
05: Heat Class 10 Physics
Exercise
1. Make the correct choice in each of the following :
(a) In what unit is the specific heat capacity expressed ?
(i) J
(ii) J/kg°C
(iii) J/kg
(iv) kg/J°C
(v) kg/J
Answer (ii) J/kg °C
(b) 2000 J of heat energy is required to raise the temperature of 4 Kg a metal by 3° C. Which expression gives the specific heat capacity of the metal ?
(i) 2000/(4×3) J/kg°C
(ii)2000/4 × 4 J/kg°C
(iii) 2000 × (4/3) J/kg°C
(iv) 4 × (3/2000) J/kg°C
(v) 2000 × (3/4) J/kg°C
Answer (i) 2000/(4×3) J/kg°C
(c) A substance is heated at a constant rate from a low temperature to a high temperature. A graph of temperature against time is drawn and is shown in fig. 1. Which part of parts of the graph corresponds to the substance existing in two states ?
(i) All of it
(ii) OA, BC and DE
(iii) AB and CD
(iv) DE
(v) CB

Answer (iii) AB and CD
(d) What change in heat energy occurs when lead at its melting point solidfies without change in the temperature ?
(i) Latent heat is emitted.
(ii) Latent heat is absorbed.
(iii) Specific heat capacity is emitted.
(iv) Specific heat capacity is absorbed.
(v) Both latent heat and specific heat are emitted.
Answer (i) Latent heat is emitted
(e) A solid is heated at a constant rate in an insulated container till half of it vapourises. Which graph in fig. 2 shows the temperature changes during this time ?

Answer
The first time when temperature is constant represents change of state from solid to liquid and the second time temperature is constant represents change of state from liquid to vapour.
2.
(a) Define heat capacity and state its units.
(b) What amount of heat would be required to raise the temperature of 500 g of water from 30°C to 50°C? (sp. heat cap. of water= 4200 J/kg°C)
Answer
(a) Heat capacity of a body is the quantity of heat required to raise its temperature by 1oC. It depends upon the mass and the nature of the body.
Units: J/oC or calorie/°C
(b)Change in temperature = (50 - 30) = 20°C
Amount of heat required, Q = m × C × ? T
= 0.5 × 4200 × 20 = 42000 J
3.
(a) Sp. heat capacity of copper is 390 J/kg°C. What do you understand by this statement?
(b) Calculate the amount of heat given out by 600 g of aluminium while cooling from 100°C to 30°C. (Sp. heat cap. of aluminium = 900 J/kgK.)
Answer
(a) This means that 390 J of heat is required to raise the temperature of 1kg of copper by 1°C.
(b) Change in temperature = (100-30) = 70°C = 70 K
Amount of heat given out, Q = m × C × T
= 0.6 × 900 × 70 = 37800 J
4.
(a) State the principle of calorimeter and define calorie and kilocalorie.
(b) 400 g of water at 80°C is mixed with 1 kg of water at 20°C. If the sp. heat cap. of water is 4200 J/kg K, find the final temperature of the mixture.
(c) A burner raises the temperature of 360 g of water from 40°C to 100°C in 5 minutes. Calculate the rate of heat supplied by the burner.
Answer
(a) Principle of Calorimeter:
When a hot body is mixed or kept in contact with a cold body, there is a transfer of heat from hot body to cold body such that.
Total heat gained by colder body = Total heat lost by the hot body,
if there is no loss of heat to the surroundings.
One cabrie is the quantity of heat required to raise the temperature of 1 g of water by 1°C.
1 calorie = 4.186 joule
One kilocalorie is the quantity of heat rewired to raise the temperature of 1 kg of water by 1°C.
1 kcal = 4.186 × 103 joule
(b) Let the final temperature of the mixture be θ°C.
Heat lost by hot water = Heat gained by cold water
0.4 × C × (80-θ) =1× C × (θ - 20)
or, 32 - 0.48 = θ - 20
or, θ = 37.14°C
(c) m = 360 g = 0.36 kg
Change in temperature, ΔT = (100 - 40)°C = 60°C = 60 K Amount of heat required, Q = m ×C × ΔT
= 0.36 × 4200 × 60 = 90720 J
Time taken = 5 min = 300 sec
Rate of heat supplied = Q/t = 90720/300 = 302.4 J/s
5. A solid of mass 80 g at 80°C is dropped in 400 g water at 10°C. If final temp. is 30°C, find the sp. heat cap. of the solid.
Answer Let the specific heat of the solid be c.
Heat lost by solid = Heat gained by water
0.08 × C × (80 - 30) = 0.4 × 4200 × (30-10)
or , C = (0.4×4200×20)/(0.08×50) = 8400 J kg-1K-1
6. A mass of 200 g of mercury at 100oC is poured into water at 20°C. If the final temperature of the mixture is 25°C, find the mass of water. (Sp. heat cap. of mercury is 140 J/kg K).
Answer Let the mass of the water be m.
Heat lost by mercury = Heat gained by water
0.2 × 140 × (100 - 25) = m × 4200 × (25 -20)
or, m = (0.2×140×75)/(4200×5) = 0.1 kg = 100 g
7. A piece of copper of mass 1 kg is dropped into 2 kg of water at 15oC. If the final temperature of the mixture is 40oC, calculate the initial temperature of copper.
Answer Specific heat of copper = 390 J kg-1K-1Let the initial temperature of copper be t. Heat lost by copper = Heat gained by water 1 × 390 × (t - 40) = 2 × 4200 × (40 - 15)
8. A copper calorimeter of heat capacity 32 J/°C contains 100 g of oil at 30°C. 80 g of a metal of sp. heat cap. 0.12 J/g°C at 90°C is dropped into the oil and final temperature is 35°C. Calculate the specific heat capacity of the oil.
Answer Heat lost by metal = Heat gained by calorimeter and oil

9.
(a) Define the following terms:
(i) Latent heat,
(ii) Latent heat of fusion of ice.
(b) Calculate the amount of heat required to change 40 G of ice at -10°C into water at 20°C. (specific heat capacity of ice = 2.1 J/g°C, latent heat of fusion of ice = 330 j/g)
Answer
(a) (i) Latent heat is the amount of hidden heat supplied to or extracted from the substance to change its state without any change of temperature.(ii) Latent heat of fusion of ice is the amount heat absorbed by ice at 0°C to convert into water at 0°C.
(b) Amount of heat required to convert ice from -10°C to 0°C = m × C × θ
= 40 × 2.1 × 10 = 840 J
Amount of heat required to convert ice at Otto water at 0°C = mL
= 40 × 330 = 13200 J
Amount of heat required to convert water from 0°C to 20°C
= 40 × 4.2 × 20 = 3360 J
Total heat required during the process = 17400 J
10.
(a) Define the following terms:
(i) Specific latent heat,
(ii) Specific latent heat of fusion.
(b) What do you understand by the statement sp. latent heat of vapourisation of steam is 2268 J/kg?
(c) Calculate the amount of heat given out while converting 100 g of water at 50oC into ice at -5oC. (refer Q.9 for data).
Answer
(a) (i) Specific latent heat is the amount of heat required to change the state of unit mass of a substance without change in temperature.
(ii) Specific latent heat of fusion is the amount of heat required to change unit mass of a solid at its melting point into liquid at the same temperature.
(b) It means that 1 kg of water at 100°C absorbs 2268J of heat energy to convert into steam at 100°C.
(c) Amount of heat given out while converting water from 50°C to °C = m×C×θ = 100 × 4.2×50 = 21000J
Amount of heat given out while converting water at 0°C to ice at 0°C = mL
= 100 × 330 = 33000J
Amount of heat given out while converting ice from 0°C -50°C
= 100 × 2.1 × 5 = 10500J
Total heat required during the process = 64500J
11. When steam at 100°C is passed through a hole drilled in a slab of ice at 0°C certain amount of ice melts. Find the amount of ice that melts. (sp. latent heat of fusion of ice = 336 J/g, sp. latent heat of vapourisation of steam = 2268 J/g, Sp. heat cap. of water= 4.2 J/g°C) (Take mass of steam as 1000 g)
Answer

12. A slab of ice at -5°C is constantly heated till it changes to steam at 105°C. Draw a graph showing the change of temperature with time and label the different parts of the graph.
Answer
13. 200 g of of ice at 0°C is added to 2 kg of water at 30°C. What is the temperature of the mixture?
Answer Let the final temperature of the mixture be t.
Heat gained by ice = Heat lost by water

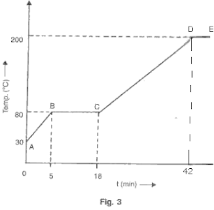
14 . A solid of mass 100 g is heated with a burner which is supplying heat at the rate of 100 J/s. The graph in fig. 3 shows the changes that take place.
(a) What is the melting point of the substance?
(b) What is boiling point of the substance?
(c) Calculate the Sp. heat cap. of solid.
(d) Calculate the Sp. latent heat of fusion.
(e) Calculate the Sp. heat cap. of the liquid.

Answer

15. 1 kg of molten lead at its melting point of 327oC is dropped in 1 kg of water at 20oC. Assuming no heat is lost; calculate the final temperature of water. (Sp. heat cap. of lead = 130 J/kgo C, Sp. latent heat of fusion of lead = 27000 J/g, Sp. heat cap. of water = 4200 j/ kgo C)
Answer Let the final temperature of the mixture be t.
Heat lost by lead = Heat gained by water

dlt2407576338394262581">
16. How much steam at 100°C must be passed into 120 g of water at 20°C to raise the temperature to 40°C? (Use data from Q.11)
Answer Let the mass of steam be m.Heat lost by (steam at 100°C to condense into water at 100°C + 100°C water to convert into 40°C water = Heat gained by water to raise the temperature to 40°Cm × 2268 + m × 4.2 × (100 - 40) = 120 × 42 × (40 - 20)⇒ m(2268 + 252) = 10080⇒ m = 4 g
17. Heat is supplied at a constant rate to 200 g of ice at 0°C until finally all the ice is converted into steam at 100°C. If the specific latent heat of ice is 3.3 × 105 J/kg and that of steam is 2.3 × 106 J/kg and the Sp. heat capacity of water is 4200 J/kg, draw rough graphs for the following to illustrate the changes which take place as the solid ice is converted into water and finally into steam, the pressure remaining constant all the time.
(a) Volume against temperature,
(b) Temperature against time.
Answer
(a) Volume against temperature

(b) Temperature against time

18. Give scientific reasons for the following:
(a) It is much easier to skate on rough ice than on glass.
(b) Sand mixed with salt is often spread over the icy roads in winter.
(c) A steam burn is usually worse than a hot water burn.
(d) Bottled drinks are cooled more effectively when surrounded by lumps of ice than by cold water at 0oC.
Answer
(a) Ice melts under pressure. So, when the steel blades of the skates pressed on the ice, the ice melts. The water formed makes the skates slide easily over the ice, reducing friction. So, when we are skating on ice, we are skating on a thin film of water, which acts like lubricating oil. Nothing such happens in case of glass.
(b) Sand improves the friction between car tyres and the road, so cars don't skid on icy surfaces. Salt is spread so as to decrease the melting point of ice. Ice on the roads melt, making the roads less slippery.
(c) Steam burn is worse than a hot water burn because 1 g of steam gives out 540 calories of additional heat.
(d) Lumps of ice cool better than cold water because each gram of ice requires additional 80 calories of heat to get converted into water. Hence, cooling capacity of lumps of ice is more than cold water.
19 . A bucket contains 10 liters of water at 80°C. Cold water at 25°C is run from a tap into the bucket of hot water for 20 seconds and the temp. Of the water in the bucket falls to 50°C.
(a) Calculate the rate at which cold water came out of the tap.
(b) State an assumption made in the above calculation.
Answer
(a) Mass of water in the bucket = Density × Volume
= 1000 kg/m3 × 0.01 m3 = 10 kg
Let the mass of water that came cut from the tap be m.
Heat lost by hot water Heat gained by cold water
10 × 4200 × (80 -50) = m × 4200 × (50 - 25)
300 = 25m
m =12 kg
12 kg of water came out of tap in 20 sec.
So, the rate at which cold water came out of the tap is 12/20 = 0.6kg/s = 600 g/s
(b) In the above calculation we assumed that there is no loss of heat to the surroundings
20. 650 J of heat is required to raise the temp. of 0.25 kg of lead from 15°C to 35°C. Calculate the Specific heat capacity of lead.
Answer Q = 650 J
m = 0.25 kg
ΔT = (35 - 15) = 20°C
Q = m × C × T

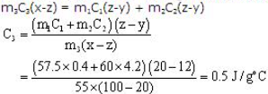
21. A copper calorimeter weighing 57.5 g contains 60 g of water at 12°C. 55 g of iron nails at 100oC are dropped into the calorimeter ands stirred rapidly. The final temperature attained by the calorimeter and its contents is 20°C. Calculate the specific heat of iron. (Sp. heat of copper = 0.4 J/g°C, Sp. heat of water = 4.2 J/g°C).
Answer
Mass of calorimeter, m1 = 57.5 g
Specific heat capacity of calorimeter, C1 = 0.4 J/g°C
Mass of water taken, m2 = 60 g
Specific heat capacity of water, C2 = 4.2 J/g°C
Mass of iron nails, m3 = 55 g
Specific heat capacity of iron - C3
Initial temperature of iron nails, X = 100°C
Initial temperature of calorimeter + water, y = 12°C
Final temperature of the mixture, z = 20'C
Heat lost by iron nails = Heat gained by calorimeter and water

22. 1 kg of molten lead at its melting point of 327°C is dropped into 1 kg of water at 20°C. Assuming no loss of heat, calculate the final temperature of water. (Specific heat of lead = 130 J/kg°C, latent heat of lead = 27000 J/kg and Sp. heat of water = 4200 J/kg°C).
Answer Let the final temperature of the mixture be t.
Heat lost by lead = Heat gained by water
m1L + m1× CL× (327-t) = m2 ×Cw× (t-20)⇒ 1×27000 + 1×130×(327-t) = 1×4200×(t-20)⇒ 27000 + 42510 - 130t = 4200t - 84000⇒ 153510 = 4330 t⇒ t = 35.45°C
23. Some heat is given to 120 g of water and its temp. rises by 10 K. When the same amount of heat is given to 60 g of oil, its temp. rises by 40 K. The Sp. heat of water is 4200 J/kgK. Calculate:
(a) The amount of heat in joules given to water,
(b) The specific heat capacity of the oil.
Answer

24. A block of lead of mass 250 g, at 27°C was heated in a furnace till it completely melted. Find the quantity of heat required
(a) To bring the lead block upto its melting point,
(b) To completely melt the block at its melting point (Melting point of lead is 327°C, Sp. heat cap. of lead is 0.13 J/gk and latent heat of fusion of lead is 26 J/g)
Answer
Mass of lead block, m = 250 g
Change in temperature, ΔT = 327°C - 27°C = 300°C = 300 K
C = 0.13 J,/gK
Amount of heat required to raise the temperature to 327°C,
Q = m × C ×ΔT = 250 × 0.13 × 300 = 9750 J
Amount of heat required 133 completely melt the block upto its melting point
Q = m × L = 250 × 26 = 6500 3
25. 100 g of ice at -10°C is heated. It is converted into steam. Calculate the quantity of heat which it has consumed. (Sp. heat of ice = 2100J/kg°C, sp. heat of water= 4200 J/kgK, sp. heat of water = 42000 J/kgK, sp. latent heat of ice = 2260000 J/kg).
Answer
Amount of heat required 133 convert ice into steam is as given below:
(ice from -10°C 133 0°C) = 0.1 ×2100 ×10 = 2100 J
(ice at 0°C to water at 0°C) = 0.1 ×336000 = 33600 J
(water from 0°C 133 100°C) = 0.1 ×4200 ×100 = 42000 J
(water at 100°C 133 steam at 100°C) = 0.1 ×2260000 = 226000 J
Total amount of heat required = 2100 + 33600 + 42000 + 226000 = 30370 3
26. A refrigerator converts 100 g of water at 20°C to ice at -10°C in 73.5 minutes. Calculate the average rate of heat extraction from water in watt. (Specific heat of ice= 2100 J/kgK, sp. heat of water = 4200 J/kgK, Sp. latent heat of ice = 336000 J/kg.)
Answer
27. A molten metal weighing 150 g is kept at its melting point 800°C. When it is allowed to solidify at the same temp, it gives out 75000 J of heat. What is the specific heat of the metal, if its specific heat capacity is 200 J/kgK? How much additional heat will it give out in cooling to -50°C?
Answer Let the specific latent heat of metal is L.
Mass of molten metal = 150 g = 150 × 10-3 kg
Q = m × L
75000 = 150 × 10-3 × L

28. 40 g of ice at -16°C is dropped into water at 0°C, when 4 g of water freezes into ice. If specific heat capacity of ice is 2100 J/kg°C, what will be the latent heat of fusion of ice?
Answer Let the latent heat of fusion of ice be L.
Heat gained by ice at - 16°C to convert to 0°C = Heat given out by 4 g of water to at 0°C to freeze into ice at 0°C.
(40 ×2.1× -16) = 4 × L
⇒ 1344 = 4L
⇒ L = 336 J/g
29. Calculate the time taken by an immersion heater, which supplies energy at the rate of 7000 J/minute to raise temp. of 5 kg water from 22°C to 47°C.
Answer Q/t = 7000 J/minm = 5 kgΔT = 47 - 22 = 25°CC = 4200 J/kg°CQ = m × c × T= 5 × 4200 ×25 = 525000 J Time taken = 525000/7000 = 72 min
30. In an experiment. 17 g of ice is used to bring down the temp. of 40 g of water from 34°C to its freezing point. The sp. heat capacity of water is 4.25 J/g°C. Calculate sp. latent heat of ice.
Answer Heat gained by ice at 0°C to convert to water at 0°C = Heat lost by water from 34°C to 0°C
17 × L = 40× 4.25× 34
⇒ 17 L = 5780
⇒ L = 340 J/g
31. What mass of ice at 0oC will be required to cool 0.9 kg of water from 35oC to 0oC? Assume all the ice used melts. The specific heat capacity of water is 4.2 x 103 J/kgoC and specific latent heat of fusion of ice is 336 x 103 J/kg.
Answer
Heat gained by ice at 0°C to convert to water at 0°C = Heat lost by water to change the temperature from 35°C to 0°C
m × 336000 = 0.9 × 4200 × 35
⇒ m × 336000 = 132300
⇒ m = 0.39 kg
32. State, with reason, which of the two, boiling water or steam both at 100oC will produce more severe burns.
Answer
Steam at 100°C will produce more severe burns because every gram of steam gives out 2260 J of heat energy while condensing. This much amount of heat is additional to the heat contained in one gram of boiling water.
33. Ice cream appears colder to the mouth than water at 0°C. Give a reason.
Answer
Ice cream appears colder to mouth than water at 0°C because it can extract approximately 80 cal/g (latent heat of fusion of ice) more heat from as compared to water at 0°C.
34. Why do bottled soft drinks get cooled, more quickly, by the ice cubes than by the iced water?
Answer
Although both ice cubes and iced water are at 0°C but ice cubes cool more quickly because each gram of ice requires additional 80 calories of heat to get converted into water at the same temperature, i.e., at 0°C. Hence, the cooling capacity of ice cubes is more than that of iced water.
35. If 10125 J of heat energy boils off 4.5 g of water at 100°C to steam at 100°C, find the specific latent heat of steam.
Answer Q = 10125 J m = 4.5 g Q = m × L 10125 = 4.5 × L ⇒ L = 10125/4.5 = 2250 J/gSpecific latent heat of steam is 2250 J/g.
36. Fill in the following blanks using suitable word:
(i) SI unit of heat is .........
(ii) 1 cal = .......... J
(iii) Whenever mechanical work is done, ............. Is produced.
(iv) Two bodies in contact are said to be in thermal equilibrium, if they have same ...........
(v) The normal temperature of a human body is .............
(vi) SI unit of specific heat is ..........
(vii) The amount of heat required to change the state of a physical substance without any change of temperature is called .......... of the substance.
(viii) Ice at o0C is colder than ...........at o0C.
(ix) Steam at 100oC is hotter than water at ............
(x) Evaporation causes ............
Answer
(i) SI unit of heat is ioule.
(ii) 1 cal = 4.2J
(iii) Whenever mechanical work is done, heat is produced.
(iv)Two bodies in contact are saidto be in thermal equilibrium, if they have the same temperature.
(v) The normal temperature of a human body is 37°C.
(vi) SI unit of specific heat is Jkg-1 C-1 .
(vii) The amount of heat required to change the state of a physical substance without any change of temperature is called latent heat of the substance.
(viii) Ice at 0°C is colder than water at 0°C.
(ix) Steam at 100°C is hotter than water at 100°C.
(x) Evaporation causes cooling.
37. Which has more heat: 1 g of ice at 0°C or 1 g of water at 0°C? Give reason.
Answer 1 gram of ice at 0°C requires 80 calories of heat to get converted into 1 gram of water at 0°C. So, water has more heat.
38. Which contains more heat: 1 G water at 100°C or 1 g steam at 100°C? Give reason.
Answer 1 gram of water at 100°C requires 540 calories of heat to get converted into 1 gram of steam at 100°C. So, steam has more heat.
39. Which requires more heat: 1 g ice at 0°C or 1 g water at 0°C to raise its temperature to 10°C? Explain your answer.
Answer 1 gram of ice at 0°C requires additional 80 calories of heat to get converted into water at 0°C. Then, heat is provided to raise the temperature to 10oC. Therefore, ice requires more heat than water and the additional heat is known as 'Latent heat of fusion of ice'.
40. Write down the approximate temperature at which the water boils in a pressure cooker.
Answer
Pressure cooker increases the pressure and hence the boiling point increases. So, the boiling point becomes greater than 100°C.
1. Make the correct choice in each of the following :
(a) In what unit is the specific heat capacity expressed ?
(i) J
(ii) J/kg°C
(iii) J/kg
(iv) kg/J°C
(v) kg/J
Answer (ii) J/kg °C
(b) 2000 J of heat energy is required to raise the temperature of 4 Kg a metal by 3° C. Which expression gives the specific heat capacity of the metal ?
(i) 2000/(4×3) J/kg°C
(ii)2000/4 × 4 J/kg°C
(iii) 2000 × (4/3) J/kg°C
(iv) 4 × (3/2000) J/kg°C
(v) 2000 × (3/4) J/kg°C
Answer (i) 2000/(4×3) J/kg°C
(c) A substance is heated at a constant rate from a low temperature to a high temperature. A graph of temperature against time is drawn and is shown in fig. 1. Which part of parts of the graph corresponds to the substance existing in two states ?
(i) All of it
(ii) OA, BC and DE
(iii) AB and CD
(iv) DE
(v) CB
Answer (iii) AB and CD
(d) What change in heat energy occurs when lead at its melting point solidfies without change in the temperature ?
(i) Latent heat is emitted.
(ii) Latent heat is absorbed.
(iii) Specific heat capacity is emitted.
(iv) Specific heat capacity is absorbed.
(v) Both latent heat and specific heat are emitted.
Answer (i) Latent heat is emitted
(e) A solid is heated at a constant rate in an insulated container till half of it vapourises. Which graph in fig. 2 shows the temperature changes during this time ?
Answer
The first time when temperature is constant represents change of state from solid to liquid and the second time temperature is constant represents change of state from liquid to vapour.
2.
(a) Define heat capacity and state its units.
(b) What amount of heat would be required to raise the temperature of 500 g of water from 30°C to 50°C? (sp. heat cap. of water= 4200 J/kg°C)
Answer
(a) Heat capacity of a body is the quantity of heat required to raise its temperature by 1oC. It depends upon the mass and the nature of the body.
Units: J/oC or calorie/°C
(b)Change in temperature = (50 - 30) = 20°C
Amount of heat required, Q = m × C × ? T
= 0.5 × 4200 × 20 = 42000 J
3.
(a) Sp. heat capacity of copper is 390 J/kg°C. What do you understand by this statement?
(b) Calculate the amount of heat given out by 600 g of aluminium while cooling from 100°C to 30°C. (Sp. heat cap. of aluminium = 900 J/kgK.)
Answer
(a) This means that 390 J of heat is required to raise the temperature of 1kg of copper by 1°C.
(b) Change in temperature = (100-30) = 70°C = 70 K
Amount of heat given out, Q = m × C × T
= 0.6 × 900 × 70 = 37800 J
4.
(a) State the principle of calorimeter and define calorie and kilocalorie.
(b) 400 g of water at 80°C is mixed with 1 kg of water at 20°C. If the sp. heat cap. of water is 4200 J/kg K, find the final temperature of the mixture.
(c) A burner raises the temperature of 360 g of water from 40°C to 100°C in 5 minutes. Calculate the rate of heat supplied by the burner.
Answer
(a) Principle of Calorimeter:
When a hot body is mixed or kept in contact with a cold body, there is a transfer of heat from hot body to cold body such that.
Total heat gained by colder body = Total heat lost by the hot body,
if there is no loss of heat to the surroundings.
One cabrie is the quantity of heat required to raise the temperature of 1 g of water by 1°C.
1 calorie = 4.186 joule
One kilocalorie is the quantity of heat rewired to raise the temperature of 1 kg of water by 1°C.
1 kcal = 4.186 × 103 joule
(b) Let the final temperature of the mixture be θ°C.
Heat lost by hot water = Heat gained by cold water
0.4 × C × (80-θ) =1× C × (θ - 20)
or, 32 - 0.48 = θ - 20
or, θ = 37.14°C
(c) m = 360 g = 0.36 kg
Change in temperature, ΔT = (100 - 40)°C = 60°C = 60 K Amount of heat required, Q = m ×C × ΔT
= 0.36 × 4200 × 60 = 90720 J
Time taken = 5 min = 300 sec
Rate of heat supplied = Q/t = 90720/300 = 302.4 J/s
5. A solid of mass 80 g at 80°C is dropped in 400 g water at 10°C. If final temp. is 30°C, find the sp. heat cap. of the solid.
Answer Let the specific heat of the solid be c.
Heat lost by solid = Heat gained by water
0.08 × C × (80 - 30) = 0.4 × 4200 × (30-10)
or , C = (0.4×4200×20)/(0.08×50) = 8400 J kg-1K-1
6. A mass of 200 g of mercury at 100oC is poured into water at 20°C. If the final temperature of the mixture is 25°C, find the mass of water. (Sp. heat cap. of mercury is 140 J/kg K).
Answer Let the mass of the water be m.
Heat lost by mercury = Heat gained by water
0.2 × 140 × (100 - 25) = m × 4200 × (25 -20)
or, m = (0.2×140×75)/(4200×5) = 0.1 kg = 100 g
7. A piece of copper of mass 1 kg is dropped into 2 kg of water at 15oC. If the final temperature of the mixture is 40oC, calculate the initial temperature of copper.
Answer Specific heat of copper = 390 J kg-1K-1Let the initial temperature of copper be t. Heat lost by copper = Heat gained by water 1 × 390 × (t - 40) = 2 × 4200 × (40 - 15)
8. A copper calorimeter of heat capacity 32 J/°C contains 100 g of oil at 30°C. 80 g of a metal of sp. heat cap. 0.12 J/g°C at 90°C is dropped into the oil and final temperature is 35°C. Calculate the specific heat capacity of the oil.
Answer Heat lost by metal = Heat gained by calorimeter and oil
9.
(a) Define the following terms:
(i) Latent heat,
(ii) Latent heat of fusion of ice.
(b) Calculate the amount of heat required to change 40 G of ice at -10°C into water at 20°C. (specific heat capacity of ice = 2.1 J/g°C, latent heat of fusion of ice = 330 j/g)
Answer
(a) (i) Latent heat is the amount of hidden heat supplied to or extracted from the substance to change its state without any change of temperature.(ii) Latent heat of fusion of ice is the amount heat absorbed by ice at 0°C to convert into water at 0°C.
(b) Amount of heat required to convert ice from -10°C to 0°C = m × C × θ
= 40 × 2.1 × 10 = 840 J
Amount of heat required to convert ice at Otto water at 0°C = mL
= 40 × 330 = 13200 J
Amount of heat required to convert water from 0°C to 20°C
= 40 × 4.2 × 20 = 3360 J
Total heat required during the process = 17400 J
10.
(a) Define the following terms:
(i) Specific latent heat,
(ii) Specific latent heat of fusion.
(b) What do you understand by the statement sp. latent heat of vapourisation of steam is 2268 J/kg?
(c) Calculate the amount of heat given out while converting 100 g of water at 50oC into ice at -5oC. (refer Q.9 for data).
Answer
(a) (i) Specific latent heat is the amount of heat required to change the state of unit mass of a substance without change in temperature.
(ii) Specific latent heat of fusion is the amount of heat required to change unit mass of a solid at its melting point into liquid at the same temperature.
(b) It means that 1 kg of water at 100°C absorbs 2268J of heat energy to convert into steam at 100°C.
(c) Amount of heat given out while converting water from 50°C to °C = m×C×θ = 100 × 4.2×50 = 21000J
Amount of heat given out while converting water at 0°C to ice at 0°C = mL
= 100 × 330 = 33000J
Amount of heat given out while converting ice from 0°C -50°C
= 100 × 2.1 × 5 = 10500J
Total heat required during the process = 64500J
11. When steam at 100°C is passed through a hole drilled in a slab of ice at 0°C certain amount of ice melts. Find the amount of ice that melts. (sp. latent heat of fusion of ice = 336 J/g, sp. latent heat of vapourisation of steam = 2268 J/g, Sp. heat cap. of water= 4.2 J/g°C) (Take mass of steam as 1000 g)
Answer
12. A slab of ice at -5°C is constantly heated till it changes to steam at 105°C. Draw a graph showing the change of temperature with time and label the different parts of the graph.
Answer
13. 200 g of of ice at 0°C is added to 2 kg of water at 30°C. What is the temperature of the mixture?
Answer Let the final temperature of the mixture be t.
Heat gained by ice = Heat lost by water
14 . A solid of mass 100 g is heated with a burner which is supplying heat at the rate of 100 J/s. The graph in fig. 3 shows the changes that take place.
(a) What is the melting point of the substance?
(b) What is boiling point of the substance?
(c) Calculate the Sp. heat cap. of solid.
(d) Calculate the Sp. latent heat of fusion.
(e) Calculate the Sp. heat cap. of the liquid.
Answer
15. 1 kg of molten lead at its melting point of 327oC is dropped in 1 kg of water at 20oC. Assuming no heat is lost; calculate the final temperature of water. (Sp. heat cap. of lead = 130 J/kgo C, Sp. latent heat of fusion of lead = 27000 J/g, Sp. heat cap. of water = 4200 j/ kgo C)
Answer Let the final temperature of the mixture be t.
Heat lost by lead = Heat gained by water
dlt2407576338394262581">
16. How much steam at 100°C must be passed into 120 g of water at 20°C to raise the temperature to 40°C? (Use data from Q.11)
Answer Let the mass of steam be m.Heat lost by (steam at 100°C to condense into water at 100°C + 100°C water to convert into 40°C water = Heat gained by water to raise the temperature to 40°Cm × 2268 + m × 4.2 × (100 - 40) = 120 × 42 × (40 - 20)⇒ m(2268 + 252) = 10080⇒ m = 4 g
17. Heat is supplied at a constant rate to 200 g of ice at 0°C until finally all the ice is converted into steam at 100°C. If the specific latent heat of ice is 3.3 × 105 J/kg and that of steam is 2.3 × 106 J/kg and the Sp. heat capacity of water is 4200 J/kg, draw rough graphs for the following to illustrate the changes which take place as the solid ice is converted into water and finally into steam, the pressure remaining constant all the time.
(a) Volume against temperature,
(b) Temperature against time.
Answer
(a) Volume against temperature
(b) Temperature against time
18. Give scientific reasons for the following:
(a) It is much easier to skate on rough ice than on glass.
(b) Sand mixed with salt is often spread over the icy roads in winter.
(c) A steam burn is usually worse than a hot water burn.
(d) Bottled drinks are cooled more effectively when surrounded by lumps of ice than by cold water at 0oC.
Answer
(a) Ice melts under pressure. So, when the steel blades of the skates pressed on the ice, the ice melts. The water formed makes the skates slide easily over the ice, reducing friction. So, when we are skating on ice, we are skating on a thin film of water, which acts like lubricating oil. Nothing such happens in case of glass.
(b) Sand improves the friction between car tyres and the road, so cars don't skid on icy surfaces. Salt is spread so as to decrease the melting point of ice. Ice on the roads melt, making the roads less slippery.
(c) Steam burn is worse than a hot water burn because 1 g of steam gives out 540 calories of additional heat.
(d) Lumps of ice cool better than cold water because each gram of ice requires additional 80 calories of heat to get converted into water. Hence, cooling capacity of lumps of ice is more than cold water.
19 . A bucket contains 10 liters of water at 80°C. Cold water at 25°C is run from a tap into the bucket of hot water for 20 seconds and the temp. Of the water in the bucket falls to 50°C.
(a) Calculate the rate at which cold water came out of the tap.
(b) State an assumption made in the above calculation.
Answer
(a) Mass of water in the bucket = Density × Volume
= 1000 kg/m3 × 0.01 m3 = 10 kg
Let the mass of water that came cut from the tap be m.
Heat lost by hot water Heat gained by cold water
10 × 4200 × (80 -50) = m × 4200 × (50 - 25)
300 = 25m
m =12 kg
12 kg of water came out of tap in 20 sec.
So, the rate at which cold water came out of the tap is 12/20 = 0.6kg/s = 600 g/s
(b) In the above calculation we assumed that there is no loss of heat to the surroundings
20. 650 J of heat is required to raise the temp. of 0.25 kg of lead from 15°C to 35°C. Calculate the Specific heat capacity of lead.
Answer Q = 650 J
m = 0.25 kg
ΔT = (35 - 15) = 20°C
Q = m × C × T
21. A copper calorimeter weighing 57.5 g contains 60 g of water at 12°C. 55 g of iron nails at 100oC are dropped into the calorimeter ands stirred rapidly. The final temperature attained by the calorimeter and its contents is 20°C. Calculate the specific heat of iron. (Sp. heat of copper = 0.4 J/g°C, Sp. heat of water = 4.2 J/g°C).
Answer
Mass of calorimeter, m1 = 57.5 g
Specific heat capacity of calorimeter, C1 = 0.4 J/g°C
Mass of water taken, m2 = 60 g
Specific heat capacity of water, C2 = 4.2 J/g°C
Mass of iron nails, m3 = 55 g
Specific heat capacity of iron - C3
Initial temperature of iron nails, X = 100°C
Initial temperature of calorimeter + water, y = 12°C
Final temperature of the mixture, z = 20'C
Heat lost by iron nails = Heat gained by calorimeter and water
22. 1 kg of molten lead at its melting point of 327°C is dropped into 1 kg of water at 20°C. Assuming no loss of heat, calculate the final temperature of water. (Specific heat of lead = 130 J/kg°C, latent heat of lead = 27000 J/kg and Sp. heat of water = 4200 J/kg°C).
Answer Let the final temperature of the mixture be t.
Heat lost by lead = Heat gained by water
m1L + m1× CL× (327-t) = m2 ×Cw× (t-20)⇒ 1×27000 + 1×130×(327-t) = 1×4200×(t-20)⇒ 27000 + 42510 - 130t = 4200t - 84000⇒ 153510 = 4330 t⇒ t = 35.45°C
23. Some heat is given to 120 g of water and its temp. rises by 10 K. When the same amount of heat is given to 60 g of oil, its temp. rises by 40 K. The Sp. heat of water is 4200 J/kgK. Calculate:
(a) The amount of heat in joules given to water,
(b) The specific heat capacity of the oil.
Answer
24. A block of lead of mass 250 g, at 27°C was heated in a furnace till it completely melted. Find the quantity of heat required
(a) To bring the lead block upto its melting point,
(b) To completely melt the block at its melting point (Melting point of lead is 327°C, Sp. heat cap. of lead is 0.13 J/gk and latent heat of fusion of lead is 26 J/g)
Answer
Mass of lead block, m = 250 g
Change in temperature, ΔT = 327°C - 27°C = 300°C = 300 K
C = 0.13 J,/gK
Amount of heat required to raise the temperature to 327°C,
Q = m × C ×ΔT = 250 × 0.13 × 300 = 9750 J
Amount of heat required 133 completely melt the block upto its melting point
Q = m × L = 250 × 26 = 6500 3
25. 100 g of ice at -10°C is heated. It is converted into steam. Calculate the quantity of heat which it has consumed. (Sp. heat of ice = 2100J/kg°C, sp. heat of water= 4200 J/kgK, sp. heat of water = 42000 J/kgK, sp. latent heat of ice = 2260000 J/kg).
Answer
Amount of heat required 133 convert ice into steam is as given below:
(ice from -10°C 133 0°C) = 0.1 ×2100 ×10 = 2100 J
(ice at 0°C to water at 0°C) = 0.1 ×336000 = 33600 J
(water from 0°C 133 100°C) = 0.1 ×4200 ×100 = 42000 J
(water at 100°C 133 steam at 100°C) = 0.1 ×2260000 = 226000 J
Total amount of heat required = 2100 + 33600 + 42000 + 226000 = 30370 3
26. A refrigerator converts 100 g of water at 20°C to ice at -10°C in 73.5 minutes. Calculate the average rate of heat extraction from water in watt. (Specific heat of ice= 2100 J/kgK, sp. heat of water = 4200 J/kgK, Sp. latent heat of ice = 336000 J/kg.)
Answer
27. A molten metal weighing 150 g is kept at its melting point 800°C. When it is allowed to solidify at the same temp, it gives out 75000 J of heat. What is the specific heat of the metal, if its specific heat capacity is 200 J/kgK? How much additional heat will it give out in cooling to -50°C?
Answer Let the specific latent heat of metal is L.
Mass of molten metal = 150 g = 150 × 10-3 kg
Q = m × L
75000 = 150 × 10-3 × L
28. 40 g of ice at -16°C is dropped into water at 0°C, when 4 g of water freezes into ice. If specific heat capacity of ice is 2100 J/kg°C, what will be the latent heat of fusion of ice?
Answer Let the latent heat of fusion of ice be L.
Heat gained by ice at - 16°C to convert to 0°C = Heat given out by 4 g of water to at 0°C to freeze into ice at 0°C.
(40 ×2.1× -16) = 4 × L
⇒ 1344 = 4L
⇒ L = 336 J/g
29. Calculate the time taken by an immersion heater, which supplies energy at the rate of 7000 J/minute to raise temp. of 5 kg water from 22°C to 47°C.
Answer Q/t = 7000 J/minm = 5 kgΔT = 47 - 22 = 25°CC = 4200 J/kg°CQ = m × c × T= 5 × 4200 ×25 = 525000 J Time taken = 525000/7000 = 72 min
30. In an experiment. 17 g of ice is used to bring down the temp. of 40 g of water from 34°C to its freezing point. The sp. heat capacity of water is 4.25 J/g°C. Calculate sp. latent heat of ice.
Answer Heat gained by ice at 0°C to convert to water at 0°C = Heat lost by water from 34°C to 0°C
17 × L = 40× 4.25× 34
⇒ 17 L = 5780
⇒ L = 340 J/g
31. What mass of ice at 0oC will be required to cool 0.9 kg of water from 35oC to 0oC? Assume all the ice used melts. The specific heat capacity of water is 4.2 x 103 J/kgoC and specific latent heat of fusion of ice is 336 x 103 J/kg.
Answer
Heat gained by ice at 0°C to convert to water at 0°C = Heat lost by water to change the temperature from 35°C to 0°C
m × 336000 = 0.9 × 4200 × 35
⇒ m × 336000 = 132300
⇒ m = 0.39 kg
32. State, with reason, which of the two, boiling water or steam both at 100oC will produce more severe burns.
Answer
Steam at 100°C will produce more severe burns because every gram of steam gives out 2260 J of heat energy while condensing. This much amount of heat is additional to the heat contained in one gram of boiling water.
33. Ice cream appears colder to the mouth than water at 0°C. Give a reason.
Answer
Ice cream appears colder to mouth than water at 0°C because it can extract approximately 80 cal/g (latent heat of fusion of ice) more heat from as compared to water at 0°C.
34. Why do bottled soft drinks get cooled, more quickly, by the ice cubes than by the iced water?
Answer
Although both ice cubes and iced water are at 0°C but ice cubes cool more quickly because each gram of ice requires additional 80 calories of heat to get converted into water at the same temperature, i.e., at 0°C. Hence, the cooling capacity of ice cubes is more than that of iced water.
35. If 10125 J of heat energy boils off 4.5 g of water at 100°C to steam at 100°C, find the specific latent heat of steam.
Answer Q = 10125 J m = 4.5 g Q = m × L 10125 = 4.5 × L ⇒ L = 10125/4.5 = 2250 J/gSpecific latent heat of steam is 2250 J/g.
36. Fill in the following blanks using suitable word:
(i) SI unit of heat is .........
(ii) 1 cal = .......... J
(iii) Whenever mechanical work is done, ............. Is produced.
(iv) Two bodies in contact are said to be in thermal equilibrium, if they have same ...........
(v) The normal temperature of a human body is .............
(vi) SI unit of specific heat is ..........
(vii) The amount of heat required to change the state of a physical substance without any change of temperature is called .......... of the substance.
(viii) Ice at o0C is colder than ...........at o0C.
(ix) Steam at 100oC is hotter than water at ............
(x) Evaporation causes ............
Answer
(i) SI unit of heat is ioule.
(ii) 1 cal = 4.2J
(iii) Whenever mechanical work is done, heat is produced.
(iv)Two bodies in contact are saidto be in thermal equilibrium, if they have the same temperature.
(v) The normal temperature of a human body is 37°C.
(vi) SI unit of specific heat is Jkg-1 C-1 .
(vii) The amount of heat required to change the state of a physical substance without any change of temperature is called latent heat of the substance.
(viii) Ice at 0°C is colder than water at 0°C.
(ix) Steam at 100°C is hotter than water at 100°C.
(x) Evaporation causes cooling.
37. Which has more heat: 1 g of ice at 0°C or 1 g of water at 0°C? Give reason.
Answer 1 gram of ice at 0°C requires 80 calories of heat to get converted into 1 gram of water at 0°C. So, water has more heat.
38. Which contains more heat: 1 G water at 100°C or 1 g steam at 100°C? Give reason.
Answer 1 gram of water at 100°C requires 540 calories of heat to get converted into 1 gram of steam at 100°C. So, steam has more heat.
39. Which requires more heat: 1 g ice at 0°C or 1 g water at 0°C to raise its temperature to 10°C? Explain your answer.
Answer 1 gram of ice at 0°C requires additional 80 calories of heat to get converted into water at 0°C. Then, heat is provided to raise the temperature to 10oC. Therefore, ice requires more heat than water and the additional heat is known as 'Latent heat of fusion of ice'.
40. Write down the approximate temperature at which the water boils in a pressure cooker.
Answer
Pressure cooker increases the pressure and hence the boiling point increases. So, the boiling point becomes greater than 100°C.