ICSE-X-Physics
04.1: Ohm's Law and Electrical Circuits Class 10 Physics
Exercises
1. What do you mean by a cell?
Answer
An electric cell is a device in which a constant difference in potential is maintained between the two conductors by a chemical reaction. Thus, a cell can be used as a source of electrons or current. In a cell, chemical energy changes into electrical energy when it is in use.
2. What is the difference between a cell and a battery?
Answer
An electric cell produces electricity from the chemicals stored inside it. When the chemicals in the electric cell are used up, the electric cell stops producing electricity. It has two terminals - positive and negative.

When two or more cells are connected together such that the positive terminal of one cell is connected to the negative terminal of the next cell; such a combination of two or more cells is called a battery. A battery is thus a combination of two or more cells.

3. What do you understand by an electric circuit?
Answer
An electrical circuit is a continuous path comprising of conducting wires and resistances between the terminals of a battery, along which an electric current is set up. It is represented by drawing a circuit diagram.
4. Name any four components of an electric circuit. Write their symbols also.
Answer
Four components of an electrical circuit :

5. What do you mean by a circuit diagram?
Answer
A diagram indicating how various components in an electrical circuit have been connected using symbols for those components is a circuit diagram.
6. What is wrong with the circuit diagram (Fig. 34)? Carefully check the symbols and assign proper positive and negative signs to them.
Answer
In the given diagram, ammeter is connected in parallel and voltmeter in series, which is wrong. Also the terminals of the two devices are wrongly connected to the battery.
Correct diagram:

7. State Ohm's law. Is it always true?
Answer
According to Ohm's law, the current flowing in a conductor is directly proportional to the potential difference across its ends provided the physical conditions and temperature of conductor remains constant.
No, it is not always true. E.g. Diode valve, junction diode etc. do not obey Ohm's law.
8. What is electrical resistance? Write its SI unit.
Answer
The obstruction offered to the flow of current by the wire is called its electrical resistance. It is a kind of friction between the free electrons and the atoms of the conductor along which they flow.
Its SI unit is 'ohm'.
9. Name the physical quantity that represents the ratio of potential difference and current.
Answer
The physical quantity is 'resistance'.
10. Define one ohm.
Answer
Resistance of a conductor is said to be 1 ohm, if 1 ampere current flows through it, when the potential difference across its ends is 1 volt.
11. Does Ohm's law hold good for semiconductors and electrolytic solutions?
Answer
No, Ohm's law does not hold good for semiconductors and electrolytic solutions.
12. State the factors on which the resistance of a conductor depends.
Answer
Factors on which the resistance of a conductor depends are:
13. What do you mean by an equivalent resistance?
Answer
An equivalent resistor is that resistor which when replace any combination of resistors the current through the circuit is not altered or changed.
14. A simple electric circuit has 24 V battery and a resistor of 60 ``\Omega``. What will be the current in the circuit ? The resistance of the connecting wires is negligible .
Answer
Current = Potential difference (V)/Resistance (R)
Here, V = 24 volt, R = 60 ``\Omega``
∴ Current = 24/60 = 0.4 A
15. A graph is plotted taking p.d. along y - axis and electric current along x - axis. Name the physical quantity that represents the slope of this graph (Fig. 35).

Answer
The slope of the graph (dV/dI) gives the value of resistance.
16. Define resistivity of a metal.
Answer
The resistivity of a material is the resistance of a wire of that material of unit length and unit area of cross-section.
17. What are the SI units of specific resistance?
Answer
The SI unit of specific resistance is ohm-metre (Ωm).
18. What do you mean by conductance of a conductor?
Answer
Conductance of a conductor is the reciprocal of resistance of that conductor. Its unit is mho.
19. Name the following substances:(i) Showing low resistivity,
(ii) Showing very high resistivity,
(iii) Showing moderate resistivity.
Answer
(i) Metals e.g. copper
(ii) Alloys e.g. Constantan
(iii) Semiconductors e.g. Germanium
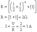
20. What is the current I in the given circuit ( Fig. 36)?

Answer
In given, circuit, two 2 ohm resistors in series are connected in parallel with another 2 ohm resistor;
Therefore equivalent resistance of the circuit,

21. State the law which relates the current in a conductor to the potential difference across its ends.
Answer
Ohm's law relates the current in a conductor to the potential difference across its ends.
According to Ohm's law, the current flowing in a conductor is directly proportional to the potential difference across its ends provided the physical conditions and temperature of conductor remains constant.
22. What happens to the resistance if the conductor is made thinner?
Answer
If the conductor is made thinner, electrons get smaller area of cross-section to flow and it therefore, offers a large resistance.
23. What kind of plot would you except when current (I) is plotted against potential difference (V) for a conductor, at constant temperature?
Answer
At constant temperature, if current is plotted against potential difference, the plot will be a straight line making some slope with the x-axis as shown in figure below:

24. What is an ammeter? How is it connected in a circuit?
Answer
The instrument used to measure electric current is called an ammeter. It has a low resistance and is always connected in series.
25. What is a voltmeter? How is it connected in a circuit?
Answer
The instrument used to measure electric potential or potential difference is called a voltmeter. It has a very high resistance and is always connected in parallel.
26. Does an ammeter have a low or high resistance?
Answer
An ammeter has a low resistance.
27. Does a voltmeter have a low or high resistance?
Answer
A voltmeter has a high resistance.
28. What is the role of a key in an electric circuit?
Answer
A key acts as a switch in an electric circuit. It helps to open or close the circuit as required.
29. What do you mean by a rheostat?
Answer
A rheostat is a device used in electric circuit to regulate current without changing the voltage source. It is also called variable resistance.
30. A simple electric circuit has a 30 V battery and a resistor at 60 Ω. What will be the current in the circuit ? The resistance of the connecting wires is negligible.
Answer
A/c to Ohm's law,
I = V/R
Here, V = 30 volt and R = 60 Ω
∴ I = 30/60 = 0.5 A
dlt22018164064837311865">
31. Potential difference between two points of a wire carrying 2 ampere current is 0.1 volt. Calculate the resistance between these points.
Answer
A/c to Ohm's law, R = V/I
Here, V = 0.1 volt and I = 2A ∴ R = 0.1/2 = 0.05 Ω
32. The potential difference between the terminals of an electric iron is 240 V and the current flowing through it is 6 A. What is the resistance of the electric iron?
Answer
A/c to Ohm's law, R = V/I
Here, V = 240 volt and I = 6A ∴ R = 240/6 = 40 Ω
Thus, the resistance of the electric iron is 40Ω
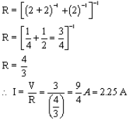
33. What is the current in the circuit shown (Fig. 37) ?
Answer Given , potential difference, V = 2 volt
Let R be the equivalent resistance of the circuit and I be the current flowing through it; then:

34. What potential difference is needed to drive a current of 1 A through a 5 Ω resistor ?
Answer
Let the required potential difference be V.
Given, current I = 1 A and Resistance, R = 5 Ω
A/C to Ohm's law,
V = IR = (1)× (5) = 5 volt
35. A potential difference of 6 V is applied across at 3Ω resistor. What is the current flowing through the circuit ?
Answer Let I be the current flowing through it
Given, potential difference, V = 6 volt and Resistance, R = 3ΩA/C to Ohm's law,
I = V/R = 6/3 = 2A
36. What is the value of a resistance if 20 V drives 2 A through it?
Answer
A/C to Ohm's law,
R = V/I = 20/2 = 10 Ω
37. What is the equivalent resistance between A and B in the given circuit (Fig. 38) ?

Answer
Between A and B, the series combination of two resistors of resistances 2 ohm each is connected in parallel with the 1 ohm resistor.
∴ Equivalent series resistance between A and B, R = 2+2 = 4 Ω
Now, between A and B this 4Ω resistor is connected in parallel with 1 Ω resistor.
∴Equivalent resistance between A and B,

38. What is the equivalent resistance of 5 equal resistors, each of value 2 Ω, when connected in
(a) Series,
(b) Parallel ?
Answer

39. How will you connect five resistors, each of the value one ohm, to obtain an equivalent resistance of 0.2Ω?
Answer Five resistors each of value 1 ohm should be connected in parallel to obtain an equivalent resistance of 0.2 ohm.

40. Give two uses of conductors.
Answer
Two uses of conductors:
41. Write the SI units for:
(a) Electric current
(b) Potential difference
(c) Charge.
Answer
(a) Ampere
(b) Volt
(c) Coulomb
42. Define potential difference between two points.
Answer
The potential difference between two points may be defined as the work done in moving a unit positive charge from one point to the other.
43. Is electric potential a scalar or a vector physical quantity?
Answer
Electrical potential is a 'scalar' quantity.
44. Define electric intensity. Write its SI unit. Is it a scalar or a vector physical quantity?
Answer
Electric intensity is defined as the force experienced by a unit positive charge when kept at that point.
Its SI unit is newton per coulomb. It is a vector quantity.
45. By what name is the unit joule/coulomb called?
Answer
Joule/coulomb is known as 'volt'.
46. How much work is done when 5 C charge moves across a p.d. of 1 V?
Answer
Work done = charge x potential difference
Or, W = 5×1 = 5 J
47. The work done in moving unit positive charge across two points in an electric circuit is a measure of
(i) Current
(ii) Potential difference
(iii) Resistance
(iv) Power
Answer (ii) potential difference
48. The device used for measuring potential difference is
(i) Potentiometer
(ii) Ammeter
(iii) Galvanometer
Answer
(iv) voltmeter
49. What are the conditions under which charges can move in a conductor?
Answer
Charges move in a definite direction in a conductor when a potential difference is applied across the ends of the conductor.
50. How will you maintain a potential difference between the ends of a conductor?
Answer
We can maintain a potential difference between the ends of a conductor by connecting the two ends of the conductor to the two terminals of a battery or cell.
51. What do you mean by electric current?
Answer
The rate of movement of charge from one point to another through a section of the conductor is called electric current. Current refers to rate of flow of charges in a conductor.
I = Q/t
52. What is the direction of electric current?
Answer
The direction of conventional current is taken as the direction of flow of positive charges.
The direction of electronic current is taken as opposite to the direction of motion of electrons.
53. Name the physical quantity which defines the rate of flow of charge.
Answer
Current defines the rate of flow of charges in a conductor.
54. Name the physical quantity which is measured by an ammeter.
Answer
Current is measured by an ammeter.
55. How many electrons are present in 1 C?
Answer

56. A battery of e.m.f. 15 V and internal resistance 3 ohm is connected to two resistors of resistance 3 ohm and 6 ohm in series. Find:(i) The current through the battery,
(ii) The p.d. between the terminals of the battery.
Answer
Given, emf, e = 15 v
Internal resistance, r = 3 Ω

(ii) Potential difference = emf - voltage drop = e - (Ir)
Now, voltage drop = current × internal resistance = 1.25 × 3 = 3.75
∴ p.d. = 15 - 3.75 = 11.25 V
57. A wire of uniform thickness with a resistance of 27 Ω is cut into three equal pieces and they are joined in parallel. Find the resistance of the parallel combination.
Answer
When a wire of uniform thickness with resistance 27 ohm is cut into three equal pieces, the resistance of each piece = 27/3= 9ohm.
Now, equivalent resistance of three 9 ohm resistors connected in parallel is :

58. You have three resistors of values 2 Ω, 3Ω, and 5Ω. How will you join them so that the total resistance is less than 2 Ω ?
Answer
To get a total resistance less than 2 ohm, the given resistors should be connected in parallel because in parallel combination the equivalent resistance is less than the resistance smallest connected resistor.
59. Calculate the equivalent resistance of the following combination of resistor r1, r2, r3 and r4 .

Answer
In the given network, the series combination of resistors, r1 and r2, is connected in series with the parallel combination of resistors, r3 and r4 .
60. A combination consists of three resistors in series. Four similar sets are connected in parallel. If the resistance of each resistor is 2 ohm, find the resistance of the combination.
Answer
The combination of resistors will be as shown in the diagram :

1. What do you mean by a cell?
Answer
An electric cell is a device in which a constant difference in potential is maintained between the two conductors by a chemical reaction. Thus, a cell can be used as a source of electrons or current. In a cell, chemical energy changes into electrical energy when it is in use.
2. What is the difference between a cell and a battery?
Answer
An electric cell produces electricity from the chemicals stored inside it. When the chemicals in the electric cell are used up, the electric cell stops producing electricity. It has two terminals - positive and negative.
When two or more cells are connected together such that the positive terminal of one cell is connected to the negative terminal of the next cell; such a combination of two or more cells is called a battery. A battery is thus a combination of two or more cells.
3. What do you understand by an electric circuit?
Answer
An electrical circuit is a continuous path comprising of conducting wires and resistances between the terminals of a battery, along which an electric current is set up. It is represented by drawing a circuit diagram.
4. Name any four components of an electric circuit. Write their symbols also.
Answer
Four components of an electrical circuit :
5. What do you mean by a circuit diagram?
Answer
A diagram indicating how various components in an electrical circuit have been connected using symbols for those components is a circuit diagram.
6. What is wrong with the circuit diagram (Fig. 34)? Carefully check the symbols and assign proper positive and negative signs to them.
Answer
In the given diagram, ammeter is connected in parallel and voltmeter in series, which is wrong. Also the terminals of the two devices are wrongly connected to the battery.
Correct diagram:
7. State Ohm's law. Is it always true?
Answer
According to Ohm's law, the current flowing in a conductor is directly proportional to the potential difference across its ends provided the physical conditions and temperature of conductor remains constant.
No, it is not always true. E.g. Diode valve, junction diode etc. do not obey Ohm's law.
8. What is electrical resistance? Write its SI unit.
Answer
The obstruction offered to the flow of current by the wire is called its electrical resistance. It is a kind of friction between the free electrons and the atoms of the conductor along which they flow.
Its SI unit is 'ohm'.
9. Name the physical quantity that represents the ratio of potential difference and current.
Answer
The physical quantity is 'resistance'.
10. Define one ohm.
Answer
Resistance of a conductor is said to be 1 ohm, if 1 ampere current flows through it, when the potential difference across its ends is 1 volt.
11. Does Ohm's law hold good for semiconductors and electrolytic solutions?
Answer
No, Ohm's law does not hold good for semiconductors and electrolytic solutions.
12. State the factors on which the resistance of a conductor depends.
Answer
Factors on which the resistance of a conductor depends are:
- Nature of conductor: different materials have different concentration of free electrons and therefore resistance of a conductor depends on its material.
- Length of conductor: Resistance of a conductor is directly proportional to the length of a conductor.
- Area of cross-section of a conductor: Resistance of a conductor is inversely proportional to the area of cross-section of the uniform wire.
- Temperature of conductor: In general for metallic conductors, higher the temperature larger is the resistance.
13. What do you mean by an equivalent resistance?
Answer
An equivalent resistor is that resistor which when replace any combination of resistors the current through the circuit is not altered or changed.
14. A simple electric circuit has 24 V battery and a resistor of 60 ``\Omega``. What will be the current in the circuit ? The resistance of the connecting wires is negligible .
Answer
Current = Potential difference (V)/Resistance (R)
Here, V = 24 volt, R = 60 ``\Omega``
∴ Current = 24/60 = 0.4 A
15. A graph is plotted taking p.d. along y - axis and electric current along x - axis. Name the physical quantity that represents the slope of this graph (Fig. 35).
Answer
The slope of the graph (dV/dI) gives the value of resistance.
16. Define resistivity of a metal.
Answer
The resistivity of a material is the resistance of a wire of that material of unit length and unit area of cross-section.
17. What are the SI units of specific resistance?
Answer
The SI unit of specific resistance is ohm-metre (Ωm).
18. What do you mean by conductance of a conductor?
Answer
Conductance of a conductor is the reciprocal of resistance of that conductor. Its unit is mho.
19. Name the following substances:(i) Showing low resistivity,
(ii) Showing very high resistivity,
(iii) Showing moderate resistivity.
Answer
(i) Metals e.g. copper
(ii) Alloys e.g. Constantan
(iii) Semiconductors e.g. Germanium
20. What is the current I in the given circuit ( Fig. 36)?
Answer
In given, circuit, two 2 ohm resistors in series are connected in parallel with another 2 ohm resistor;
Therefore equivalent resistance of the circuit,
21. State the law which relates the current in a conductor to the potential difference across its ends.
Answer
Ohm's law relates the current in a conductor to the potential difference across its ends.
According to Ohm's law, the current flowing in a conductor is directly proportional to the potential difference across its ends provided the physical conditions and temperature of conductor remains constant.
22. What happens to the resistance if the conductor is made thinner?
Answer
If the conductor is made thinner, electrons get smaller area of cross-section to flow and it therefore, offers a large resistance.
23. What kind of plot would you except when current (I) is plotted against potential difference (V) for a conductor, at constant temperature?
Answer
At constant temperature, if current is plotted against potential difference, the plot will be a straight line making some slope with the x-axis as shown in figure below:
24. What is an ammeter? How is it connected in a circuit?
Answer
The instrument used to measure electric current is called an ammeter. It has a low resistance and is always connected in series.
25. What is a voltmeter? How is it connected in a circuit?
Answer
The instrument used to measure electric potential or potential difference is called a voltmeter. It has a very high resistance and is always connected in parallel.
26. Does an ammeter have a low or high resistance?
Answer
An ammeter has a low resistance.
27. Does a voltmeter have a low or high resistance?
Answer
A voltmeter has a high resistance.
28. What is the role of a key in an electric circuit?
Answer
A key acts as a switch in an electric circuit. It helps to open or close the circuit as required.
29. What do you mean by a rheostat?
Answer
A rheostat is a device used in electric circuit to regulate current without changing the voltage source. It is also called variable resistance.
30. A simple electric circuit has a 30 V battery and a resistor at 60 Ω. What will be the current in the circuit ? The resistance of the connecting wires is negligible.
Answer
A/c to Ohm's law,
I = V/R
Here, V = 30 volt and R = 60 Ω
∴ I = 30/60 = 0.5 A
dlt22018164064837311865">
31. Potential difference between two points of a wire carrying 2 ampere current is 0.1 volt. Calculate the resistance between these points.
Answer
A/c to Ohm's law, R = V/I
Here, V = 0.1 volt and I = 2A ∴ R = 0.1/2 = 0.05 Ω
32. The potential difference between the terminals of an electric iron is 240 V and the current flowing through it is 6 A. What is the resistance of the electric iron?
Answer
A/c to Ohm's law, R = V/I
Here, V = 240 volt and I = 6A ∴ R = 240/6 = 40 Ω
Thus, the resistance of the electric iron is 40Ω
33. What is the current in the circuit shown (Fig. 37) ?
Answer Given , potential difference, V = 2 volt
Let R be the equivalent resistance of the circuit and I be the current flowing through it; then:
34. What potential difference is needed to drive a current of 1 A through a 5 Ω resistor ?
Answer
Let the required potential difference be V.
Given, current I = 1 A and Resistance, R = 5 Ω
A/C to Ohm's law,
V = IR = (1)× (5) = 5 volt
35. A potential difference of 6 V is applied across at 3Ω resistor. What is the current flowing through the circuit ?
Answer Let I be the current flowing through it
Given, potential difference, V = 6 volt and Resistance, R = 3ΩA/C to Ohm's law,
I = V/R = 6/3 = 2A
36. What is the value of a resistance if 20 V drives 2 A through it?
Answer
A/C to Ohm's law,
R = V/I = 20/2 = 10 Ω
37. What is the equivalent resistance between A and B in the given circuit (Fig. 38) ?
Answer
Between A and B, the series combination of two resistors of resistances 2 ohm each is connected in parallel with the 1 ohm resistor.
∴ Equivalent series resistance between A and B, R = 2+2 = 4 Ω
Now, between A and B this 4Ω resistor is connected in parallel with 1 Ω resistor.
∴Equivalent resistance between A and B,
38. What is the equivalent resistance of 5 equal resistors, each of value 2 Ω, when connected in
(a) Series,
(b) Parallel ?
Answer
39. How will you connect five resistors, each of the value one ohm, to obtain an equivalent resistance of 0.2Ω?
Answer Five resistors each of value 1 ohm should be connected in parallel to obtain an equivalent resistance of 0.2 ohm.
40. Give two uses of conductors.
Answer
Two uses of conductors:
- Connecting wires are made of conductors like copper.
- Conductors are used as electrolytes in cells
41. Write the SI units for:
(a) Electric current
(b) Potential difference
(c) Charge.
Answer
(a) Ampere
(b) Volt
(c) Coulomb
42. Define potential difference between two points.
Answer
The potential difference between two points may be defined as the work done in moving a unit positive charge from one point to the other.
43. Is electric potential a scalar or a vector physical quantity?
Answer
Electrical potential is a 'scalar' quantity.
44. Define electric intensity. Write its SI unit. Is it a scalar or a vector physical quantity?
Answer
Electric intensity is defined as the force experienced by a unit positive charge when kept at that point.
Its SI unit is newton per coulomb. It is a vector quantity.
45. By what name is the unit joule/coulomb called?
Answer
Joule/coulomb is known as 'volt'.
46. How much work is done when 5 C charge moves across a p.d. of 1 V?
Answer
Work done = charge x potential difference
Or, W = 5×1 = 5 J
47. The work done in moving unit positive charge across two points in an electric circuit is a measure of
(i) Current
(ii) Potential difference
(iii) Resistance
(iv) Power
Answer (ii) potential difference
48. The device used for measuring potential difference is
(i) Potentiometer
(ii) Ammeter
(iii) Galvanometer
Answer
(iv) voltmeter
49. What are the conditions under which charges can move in a conductor?
Answer
Charges move in a definite direction in a conductor when a potential difference is applied across the ends of the conductor.
50. How will you maintain a potential difference between the ends of a conductor?
Answer
We can maintain a potential difference between the ends of a conductor by connecting the two ends of the conductor to the two terminals of a battery or cell.
51. What do you mean by electric current?
Answer
The rate of movement of charge from one point to another through a section of the conductor is called electric current. Current refers to rate of flow of charges in a conductor.
I = Q/t
52. What is the direction of electric current?
Answer
The direction of conventional current is taken as the direction of flow of positive charges.
The direction of electronic current is taken as opposite to the direction of motion of electrons.
53. Name the physical quantity which defines the rate of flow of charge.
Answer
Current defines the rate of flow of charges in a conductor.
54. Name the physical quantity which is measured by an ammeter.
Answer
Current is measured by an ammeter.
55. How many electrons are present in 1 C?
Answer
56. A battery of e.m.f. 15 V and internal resistance 3 ohm is connected to two resistors of resistance 3 ohm and 6 ohm in series. Find:(i) The current through the battery,
(ii) The p.d. between the terminals of the battery.
Answer
Given, emf, e = 15 v
Internal resistance, r = 3 Ω
(ii) Potential difference = emf - voltage drop = e - (Ir)
Now, voltage drop = current × internal resistance = 1.25 × 3 = 3.75
∴ p.d. = 15 - 3.75 = 11.25 V
57. A wire of uniform thickness with a resistance of 27 Ω is cut into three equal pieces and they are joined in parallel. Find the resistance of the parallel combination.
Answer
When a wire of uniform thickness with resistance 27 ohm is cut into three equal pieces, the resistance of each piece = 27/3= 9ohm.
Now, equivalent resistance of three 9 ohm resistors connected in parallel is :
58. You have three resistors of values 2 Ω, 3Ω, and 5Ω. How will you join them so that the total resistance is less than 2 Ω ?
Answer
To get a total resistance less than 2 ohm, the given resistors should be connected in parallel because in parallel combination the equivalent resistance is less than the resistance smallest connected resistor.
59. Calculate the equivalent resistance of the following combination of resistor r1, r2, r3 and r4 .
Answer
In the given network, the series combination of resistors, r1 and r2, is connected in series with the parallel combination of resistors, r3 and r4 .
60. A combination consists of three resistors in series. Four similar sets are connected in parallel. If the resistance of each resistor is 2 ohm, find the resistance of the combination.
Answer
The combination of resistors will be as shown in the diagram :