ICSE-X-Mathematics
22: Heights and Distances
Chapter 22 Heights and Distances Class 10 ICSE Mathematics
1. The distance of the gate of a temple from its base is √3 times it height. Find the angle of elevation of the top of the temple.
Answer
Let us assume that PQ be the temple and R be the position of its gate.
Let us assume h be the height of the temple,
Then,
PQ = h
QR = Distance of the gate of temple from its base = √3h
In ΔPQR,
tan θ = PQ/QR
⇒ tan θ = h/√3h
⇒ tan θ = 1/√3
So,
tan 30o = 1/√3
Therefore, θ = 30o
Hence, the angle of elevation of the top of the temple is 30o.
2.
The angle of elevation of the top of a vertical cliff from a point 30 m away from the foot of the cliff is 60o. Find the height of the cliff.
Answer

Let us assume that PQ be the cliff and angle of elevation from R is 60o.
In ΔPQR,
tan θ = PQ/QR
⇒ tan 60o = PQ/30
⇒ √3 = PQ/30
⇒ PQ = 30√3 m
Therefore, height of cliff is 30√3 m.
3.
A vertical pole is 90 m high and the length of its shadow is 90√3 m. What is the angle of elevation of the sun?
Answer

Let us assume PQ be the pole and QR be its shadow.
Then,
In ΔPQR,
tan θ = PQ/QR
⇒ tan θ = 90/90√3
⇒ tan θ = 1/√3
So,
tan 30o = 1/√3
Therefore, θ = 30o
Hence, the angle of elevation is 30o.
4.
The length of the shadow of a pillar is 1/√3 times the height of the pillar. Find the angle of elevation of the sun.
Answer

Let us assume PQ be the pillar and QR be its shadow.
Let us assume h be the height of the pillar.
Then,
QR = (1/√3)h
In ΔPQR,
tan θ = PQ/QR
⇒ tan θ = h/(h/√3)
⇒ tan θ = √3
So,
tan 60o = √3
Therefore, θ = 60o
Hence, the angle of elevation is 60o.
5.
Find the length of the shadow cast by a tree 60 m high when the sun’s altitude is 30o.
Answer

Let us assume that PQ be the tree of height 60 m and QR be its shadow.
Then,
In ΔPQR,
tan 30o = PQ/QR
⇒ (1/√3) = 60/QR
⇒ QR = 60√3 m
Therefore, height of tower is 60√3 m.
6.
An aeroplane takes off at angle of 30owith the ground. Find the height of the aeroplane above the ground when it has travelled 386 m without changing direction.
Answer

As per parameters given in the question,
Let us assume the plane takes off from point R on the ground and also assume that P be the final position of the plane.
Then,
In ΔPQR,
sin 30o = PQ/PR
⇒ ½ = PQ/386
⇒ PQ = 386/2 m
⇒ PQ = 193 m
Therefore, the required height of the aeroplane above the ground is 193 m.
7.
A kite tied to a string makes an angle of 60o with the ground. Find the perpendicular height of the kite if the length of its string is 250 m.
Answer

Let us assume that P is the kite and the string is tied to point R on ground.
Then,
In ΔPQR,
sin 60o = PQ/PR
⇒ √3/2 = h/250
⇒ h = 250√3/2 m
⇒ h = 125√3 m
Therefore, the required perpendicular height of the kite is 125√3 m.
8.
The topmost branch of a tree is tied with a string attached to a pole in the ground. The length of this string is 200 m and it makes an angle of 45owith the ground. Find the distance of the pole to which the string is tied from the base of the tree.
Answer

As per parameters given in the question,
Let us assume that the topmost branch of the tree is at point Q and R is the point on the ground to which the topmost branch is tied.
In ΔPQR,
cos 45o = PR/PQ
⇒ 1/√2 = h/200
⇒ h = 200/√2 m
⇒ h = 200√2/2 m
⇒ h = 100√2
⇒ h = 100 × 1.414
⇒ h = 141.4
Therefore, the required distance is 141.4 m.
9.
The top of a ladder reaches a point on the wall 5 m above the ground. If the foot of the ladder makes an angle of 30owith the ground, find the length of the ladder.
Answer

As per parameters given in the question,
Let us assume that PR be the ladder and PQ is the point which is 5 m above the ground.
Then,
In ΔPQR,
sin 30o = PQ/PR
⇒ ½ = 5/PR
⇒ PR = 10 m
Therefore, the length of the ladder is 10 m.
10.
A 10 m high pole is kept vertically by a steel wire. The wire is inclined at an angle of 40owith the horizontal ground. If the wire runs from the top of the pole to the point on the ground where its other end is fixed, find the length of the wire.
Answer

As per parameters given in the question,
Let us assume that PQ be the pole and PR be the wire which runs from the top of the pole to the point on the ground where its other end is fixed.
Then,
In ΔPQR,
sin 40o = PQ/PR
⇒ 0.6428 = 10/PR
⇒ PR = 10/0.6428
⇒ PR = 15.6 m
Therefore, the length of the wire is 15.6 m.
11. A ladder rests against a tree on one side of a street. The foot of the ladder makes an angle of 50o with the ground. When the ladder is turned over to rest against another tree on the other side of the street it makes an angle of 40owith the ground. If the length of the ladder is 60 m, find the width of the street.
Answer

As per parameters given in the question,
Let us assume that PQ and RS be two trees and O be a point on the street AC between the two trees.
Then,
OS and OQ denotes the ladder at the two instants.
Then,
In ΔORS,
cos 50o = OR/OS
⇒ 0.6428 = OR/60
⇒ OR = 0.6428 × 60 = 38.568
Now, consider ΔPQO,
cos 40o = PO/QO
⇒ 0.7660 = PO/60
⇒ PO = 0.7660 × 60 = 45.96
Therefore, PR = PO + OR
PR = 45.96 + 38.568
⇒ PR = 84.528 m
Hence the width of the street is 84.528 m.
12.
Due to a heavy storm, a part of a banyan tree broke without separating from the main. The top of the tree touched the ground 15 m from the base making an angle of 45owith the ground. Calculate the height of the tree before it was broken.
Answer

As per parameters given in the question,
Let us assume that PR was original tree. Due to storm it was broken into two parts. The broken part P'Q is making 45o with ground.
In ΔP’QR,
tan 45o = QR/P’R
⇒ 1 = QR/15
⇒ QR = 15
Then,
P’R/P’Q = cos 45o
⇒ 15/P’Q = 1/√2
⇒ P’Q = 15√2
Therefore, height of tree = QR + P’Q
= 15 + 15√2
= 15 (1 + √2)
= 15 × 2.414
= 36.21 m
Hence, the height of tree was 36.21 m.
13.
The top of a palm tree having been broken by the wind struck the ground at an angle of 60oat a distance of 9 m from the foot of the tree. Find the original height of the palm tree.
Answer

As per parameters given in the question,
Let us assume that PR was original tree. It was broken into two parts. The broken part P’Q is making 60o with ground.
In ΔP’QR,
tan 60o = QR/P’R
⇒ √3 = QR/9
⇒ QR = 9√3
Then,
P’R/P’Q = cos 60o
⇒ 9/P’Q = ½
⇒ P’Q = 18
So, height of tree = QR + P’Q
= 9√3 + 18
= (9 × 1.732) + 18
= 15.588 + 18
= 33.588
Therefore, the height of tree was 33.588 m.
14.
Find the angle of depression from the top of a 140 m high pillar of a milestone on the ground at a distance of 200 m from the foot of the pillar.
Answer
As per parameters given in the question,
Let us assume that PQ be the pillar and also angle of depression be θ.

Consider the ΔPQR,
tan θ = PQ/RQ
⇒ tan θ = 140/200
⇒ tan θ = 7/10
⇒ tan θ = 0.7
We have, tan 35o = 0.7
Therefore, the angle of depression is θ = 35o.
15.
The height of an observation tower is 180 m above sea level. A ship coming towards the tower is observed at an angle of depression of 30o. Calculate the distance of the boat from the foot of the observation tower.
Answer

As per parameters given in the question,
Let us assume that PQ be the tower and R be the position of the ship.
Also assume the distance of the boat from the foot of the observation tower be x.
Consider the ΔPQR,
tan θ = PQ/RQ
tan 30o = 180/x
1/√3 = 180/x
⇒ x = 180√3
⇒ x = 180 × 1.732
⇒ x = 311.76
Therefore, the distance of the boat from the foot of the observation tower is 311.76 m.
16.
The angles of depression and elevation of the top of a 12m high building from the top and the bottom of a tower are 60° and 30° respectively. Find the height of the tower, and its distance from the building.
Answer

17. A flagstaff stands on a vertical pole. The angles of elevation of the top and the bottom of the flagstaff from a point on the ground are found to be 60° and 30° respectively. If the height of the pole is 2.5 m . Find the height of the flagstaff.
Answer

18. A vertical tower stands on a horizontal plane and is surmounted by a flagstaff of height 7m. From a point on the plane the angle of elevation of the bottom of the flagstaff is 30° and that of the top of the flagstaff is 45°. Find the height of the tower.
Answer

19. The angle of elevation of the top of an unfinished tower at a point 150 m from its base is 30° . How much higher must the tower be raised so that its angle of elevation at the same point may be 60 ?
Answer

20. A 1.4 m tall boy stands at a point 50m away from a tower and observes the angle of elevation of the top of the tower to be 60°. Find the height of the tower .
Answer

21. A boy is 1.54 m tall. Standing at a distance of 3m in front of a 4.54 m high wall he can just manage to see the sun. Find the angle of elevation of the sun.
Answer

22. An observer, 1.5m tall, is 28.5m away from a tower 30m high. Determine the angle of elevation of the top of the tower from his eye.
Answer

23. A boy is standing on the ground and flying a kite with 100m of sting at an elevation of 30°. Another boy is standing on the roof of a 10m high building and is flying his kite at an elevation of 45°. Both the boys are on opposite sides of both the kites. Find the length of the string that the second boy must have so that the two kites meet.
Answer

24. The horizontal distance between two trees of different heights is 100 m. The angle of depression of the top of the first tree when seen from the top of the second tree is 45° . If the height of the second tree is 150 m, find the height of the first tree.
Answer

dlt23289917667146511998">
25. Two persons standing on opposite sides of a tower observe the angles of elevation of the top of the tower to be 60° and 50° respectively. Find the distance between them, if the height of the tower is 80m.
Answer

26. The angles of depression of two cars on a straight road as observed from the top of a 42m high building are 60° and 75°respectively. Find the distance between the cars if they are on opposite sides of the building.
Answer

27. An aeroplane at an altitude of 200m observes the angles of depression of opposite points on the two banks of a river to be 45° and 60°. Find the width of the river.
Answer

28. An observer point for ships moving in the sea 500m above the sea level. The person manning this point observes the angle of depression of two boats as 45° and 30° . Find the distance between the boats when they are on the same side of the observation point and when they are on opposite sides of the observation point.
Answer

29. Two boats approaching a light house in mid sea opposite directions observe the angle of elevation of the top of the light house as 30° and 45° respectively. If the distance between the two boats is 150m, find the height of the light house.
Answer

30. From the top of a 60m high building the angles of depression of the top and bottom of a lamp post are 30° and 60° respectively. Find the distance on the ground between the building and the lamp post and the difference in their heights.
Answer

31. From the top of a light house 96m high, the angles of depression of two ships in the river and at the same level as the base of the light house and on the same side of it, are
𝛂
and
𝛃
. If tan
𝛂
= ¼ and tan
𝛃
=1/7 , find the distance between the ships.
Answer

32. The angle of elevation of a tower from a point 200m from its base is
𝛉
, when tan
𝛉
= 2/5 . The angle of elevation of this tower from a point 120m from its base is
∅
. Calculate the height of tower and the value of
∅
.
Answer

33. From a point 10m above the ground, the angle of elevation of the top of a tower is
𝛂
and the angle of depression is
𝛃
. If tan
𝛂
= 5/2 and tan
𝛃
= ¼ , calculate the height of the tower to the nearest metre.
Answer

34. A man on the deck of a ship is 10m above the water level. He observes that the angle of elevation of the top of a diff is 45° and the angle of depression of the base is 30° . Find the distance of the diff from the ship and the height of the diff.
Answer
Let B be the position of the man, D the base of the diff, x be the distance of cliff from the ship and h + 10 be the height of the hill.
∠ABC = 45° and ∠DBC = 30°
Therefore, ∠BDE = 30°

35.
Of the two trees are on either side of a river, one of them is 50m high. From the top of his tree the angles of depression of the top and the foot of the other tree are 30° and 60° respectively. Find the width of the river and the height of the other tree.
Answer

36. The length of the shadow of a statue increases by 8m, when the latitude of the sun changes from 45° to 30°. Calculate the height of the tower.
Answer

37. The angle of elevation of a tower from a point in line with its base is 45° . On moving 20m towards the tower, the angle of elevation changes to 60° . Find the height of the tower .
Answer

38. A man on the top of a tower observes that a car is moving directly at a uniform speed towards it . If it takes 720 seconds for the angle of depression to change from 30° to 45°, how soon will the car reach the observation tower ?
Answer

39. The horizontal distance between towers is 140 m . The angle of elevation of the top of the first tower when seen from the top of the second tower is 30° . If height of the second tower is 60m, find the height of the first tower.
Answer

40. An aeroplane when flying at a height of 4km from the ground passes vertically above another aeroplane at an instant when the angles of the elevation of the two planes from the same point on the ground are 60° and 45° respectively. Find the vertical distance between the aeroplanes at that instant.
Answer

41. A parachutist is descending vertically and makes angles of elevation of 45° and 60° from two observing points 100m apart to his right. Find the height from which he falls and the distance of the point where he falls on the ground from the nearest observation point.
Answer

42. The angle of elevation of a stationary cloud from a point 25m above a lake is 30° and the angle of depression of its reflection in the lake is 60° . What is the height of the cloud above the lake - level ?
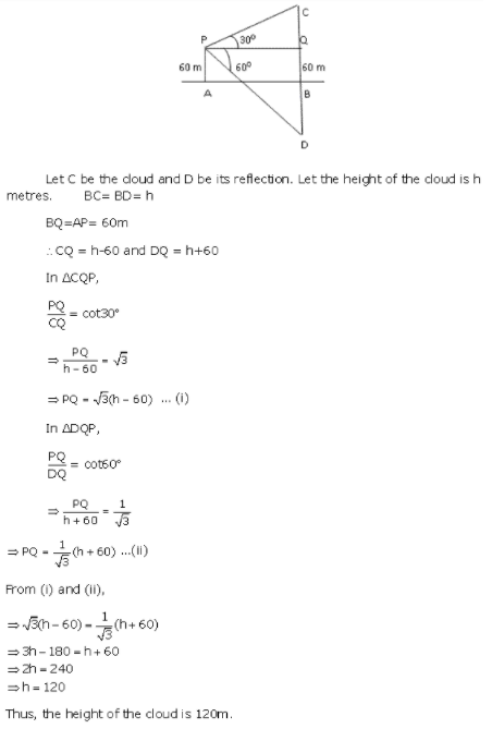
Answer
Let C be the position of the cloud, L be the surface of the lake and D be the reflection of the cloud.
Let CB = h, then OD = 25 + h

43.
The angle of elevation of a cloud from a point 60m above a lake is 30° and the angle of depression of its reflection in the lake is 60° . Find the height of the cloud.
Answer

44. A man in a boat rowing away from a lighthouse 180m high takes 2 minutes to change the angle of elevation of the top of the lighthouse from 60° and 30°. Find the speed of the boat.
Answer

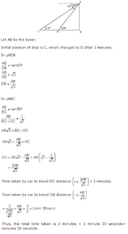
45. The angle of depression of a boat moving towards a diff is 30° . Three minutes later the angle of depression of the boat is 60° . Assuming that the boat is sailing at a uniform speed, determine the time it will take to reach the shore. Also, find the speed of the boat in m/s if the diff is 450m high.
Answer

46. A man standing on a cliff observes a ship at an angle of depression of the ship is 30°, approaching the share just beneath him. Three minutes later, the angle of depression of the ship is 60°. How soon will it reach the shore ?
Answer

47. A man on the top of a tower observes a truck at an angle of depression
𝛂
where
𝛂
= 1/√5 and sees that it is moving towards the base of the tower. Ten minutes later, the angle of depression of the truck is found to be
𝛃
= √5. Assuming that the truck moves at a uniform speed, determine how much more time it will take to each the base of the tower ?
Answer

48. The angle of elevation of an aeroplane from a point on the ground is 45° . After 15 seconds, the angle of elevation changes to 30° . If the aeroplane is flying at a height of 3000 m, find the speed of the aeroplane.
Answer

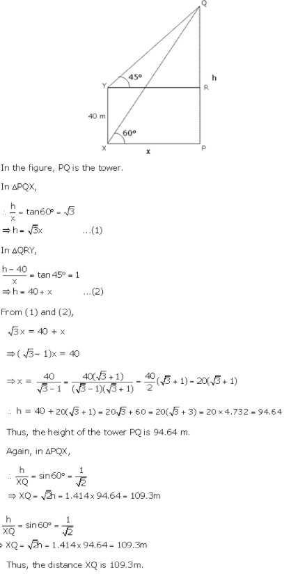
49. The angle of elevation of the top Q of a vertical tower PQ from a point X on the ground is 60° . At a point Y, 40m vertically above X , the angle of elevation is 45° . Find the height of the tower PQ and the distance XQ.
Answer

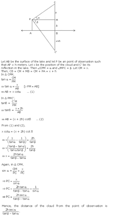
50. If the angle of elevation of a cloud from a point h m above a lake is
𝛂
and the angle of depression of its reflection in the lake be
𝛃
, prove that the distance of the cloud from the point of observation is 2h sec
𝛂
/(tan
𝛃
- tan
𝛂
) .
Answer

51. From an aeroplane vertically above a straight horizontal road, the angles of depression of two consecutive milestone on opposite sides of the aeroplane are observed to be
𝛂
and
𝛃
. Show that the height in miles of aeroplane above the road is (tan
𝛂
tan
𝛃
)/(tan
𝛂
+ tan
𝛃
) .
Answer

52. A ladder rests against a wall at an angle
𝛂
to the horizontal. Its foot is pulled away from the wall through a distance ‘a’, so that it slides a distance ‘b’ down the wall making an angle
𝛃
with the horizontal. Show that a/b = (cos
𝛂
- cos
𝛃
)/(sin
𝛃
- sin
𝛂
) .
Answer

53. From the top of a lighthouse, the angles of depression of two ships on the opposite sides of it are observed to be
𝛂
and
𝛃
. If the height of the light house is ‘h’ m and the line joining the ships passes through the foot of the light house, show that the distance between the ship is [h(tan
𝛂
+ tan
𝛃
)/(tan
𝛂
tan
𝛃
)] m .
Answer
