ICSE-X-Mathematics

21: Trigonometric Identities

with Solutions -
 

Chapter 21 Trigonometric Identities Class 10 ICSE Mathematics

Exercise 21.1





1. Prove the following identities:
(i) (1 - sin2 θ) sec2θ = 1
(ii) (1 - cos2 θ) sec2θ = tan2θ
(iii) tan A + cot A = sec A cosec A
(iv) sin θ(1 + tan θ) + cos θ (1 + cot θ) = sec θ + cosec θ
(v) (1 + cot θ - cosec θ) (1 + tan θ + sec θ) = 2
(vi) sin θ cot θ + sin θ cosec θ = 1 + cos θ
(vii) sec A (1 - sin A) (sec A + tan A) = 1
(viii) sec A (1 + sin A) (sec A - tan A) = 1
(ix) cosec θ (1 + cos θ) (cosec θ - cot θ) = 1
(x) (sec A - 1)/(sec A + 1) = (1 - cos A)/(1 + cos A)
(xi) (1 + sin A)/(1 - sin A) = (cosec A + 1)/(cosec A - 1)
(xii) cos A/(1 + sin A) = sec A - tan A
(xiii) (tan θ + sec θ - 1)/(tan θ - sec + 1) = (1 + sin θ)/cos θ
Answer
(i) (1 - sin2 θ) sec2θ = 1
From the question first we consider Left Hand Side (LHS),
= (1 - sin2 θ) sec2θ
We know that, (1 - sin2 θ) = cos2 θ
= cos2θ sec2θ
Also we know that, sec2θ = 1/cos2θ
= cos2 θ × (1/cos2θ)
= 1
Then, Right Hand Side (RHS) = 1
Therefore, LHS = RHS
(ii) (1 - cos2 θ) sec2θ = tan2θ
From the question first we consider Left Hand Side (LHS),
= (1 - cos2 θ) sec2θ
We know that, (1 - cos2 θ) = sin2 θ
= sin2θ sec2θ
Also we know that, sec2θ = 1/cos2θ
= sin2 θ × (1/cos2θ)
= sin2θ/cos2θ
= tan2θ
Then, Right Hand Side (RHS) = tan2θ
Therefore, LHS = RHS
(iii) tan A + cot A = sec A cosec A
From the question first we consider Left Hand Side (LHS),
= tan A + cot A
We know that, tan A = sin A/cos A, cot A = cos A/ sin A
Then,
= (sin A/cos A) + (cos A/sin A)
= (sin2 A + cos2 A)/(sin A cos A)
Also we know that, sin2 A + cos2 A = 1
= 1/(sin A cos A)
= (1/sin A)(1/cos A)
= cosec A sec A
Then, Right Hand Side (RHS) = sec A cosec A
Therefore, LHS = RHS
(iv) sin θ(1 + tan θ) + cos θ (1 + cot θ) = sec θ + cosec θ
From the question first we consider Left Hand Side (LHS),
= sin θ(1 + tan θ) + cos θ (1 + cot θ)
We know that, tan θ = sin θ/cos θ, cot θ = cos θ/sin θ
= sin θ(1 + (sin θ/cos θ)) + cos θ (1 + (cos θ/sin θ))
= sin θ((cos θ + sin θ)/cos θ)) + cos θ ((sin θ + cos θ)/sin θ))
= cos θ + sin θ ((sin θ/cos θ) + (cos θ/sin θ))
= cos θ + sin θ ((1/sin θ)(1/cos θ))
= sec θ + cosec θ
Then, Right Hand Side (RHS) = sec θ + cosec θ
Therefore, LHS = RHS
(v) (1 + cot θ - cosec θ) (1 + tan θ + sec θ) = 2
From the question first we consider Left Hand Side (LHS),
= (1 + cot θ - cosec θ) (1 + tan θ + sec θ)
We know that,
cot θ = sin θ/cos θ, cosec θ = 1/cos θ, tan θ = cos θ/sin θ, sec θ = 1/sin θ
= (1 + (sin θ/cos θ) + (1/cos θ)) (1 + (cos θ/sin θ) - (1/sin θ))
Taking LCM we get,
= ((cos θ + sin θ + 1)/cos θ) ((sin θ + cos θ - 1)/sin θ)
= ((sin θ + cos θ)2 - 12)/(sin θ cos θ)
= (1 + 2 sin θ cos θ - 1)/(sin θ cos θ)
= (2 sin θ cos θ)/(sin θ cos θ)
By simplification we get,
= 2
Then, Right Hand Side (RHS) = 2
Therefore, LHS = RHS
(vi) sin θ cot θ + sin θ cosec θ = 1 + cos θ
From the question first we consider Left Hand Side (LHS),
= sin θ cot θ + sin θ cosec θ
We know that, cot θ = cos θ/sin θ, cosec θ = 1/sin θ
= sin θ (cos θ/sin θ) + sin θ (1/sin θ)
= cos θ + 1
Then, Right Hand Side (RHS) = 1 + cos θ
Therefore, LHS = RHS
(vii) sec A (1 - sin A) (sec A + tan A) = 1
From the question first we consider Left Hand Side (LHS),
= sec A (1 - sin A) (sec A + tan A)
We know that, sec A = 1/cos A, tan A = sin A/cos A
= (1/cos A) (1 - sin A) ((1/cos A) + (sin A/cos A))
= ((1 - sin A)/cos A) ((1 + sin A)/cos A)
By simplification we get,
= (1 - sin2A)/cos2 A
= cos2 A/cos2 A
= 1
Then, Right Hand Side (RHS) = 1
Therefore, LHS = RHS
(viii) sec A (1 + sin A) (sec A - tan A) = 1
From the question first we consider Left Hand Side (LHS),
= sec A (1 + sin A) (sec A - tan A)
We know that, sec A = 1/cos A, tan A = sin A/cos A
= (1/cos A) (1 + sin A) ((1/cos A) - (sin A/cos A))
= ((1 + sin A)/cos A) ((1 - sin A)/cos A)
By simplification we get,
= (1 - sin2A)/cos2 A
= cos2 A/cos2 A
= 1
Then, Right Hand Side (RHS) = 1
Therefore, LHS = RHS
(ix) cosec θ (1 + cos θ) (cosec θ - cot θ) = 1
From the question first we consider Left Hand Side (LHS),
= cosec θ (1 + cos θ) (cosec θ - cot θ)
We know that, cosec = 1/sin θ, cot θ = cos θ/sin θ
= (1/sin θ) (1 + cos θ) ((1/sin θ) - (cos θ/sin θ))
= ((1 + cos θ)/sin θ) ((1 - cos θ)/sin θ)
= ((1 - cos2 θ)/sin2 θ)
= sin2 θ/sin2 θ
= 1
Then, Right Hand Side (RHS) = 1
Therefore, LHS = RHS
(x) (sec A - 1)/(sec A + 1) = (1 - cos A)/(1 + cos A)
From the question first we consider Left Hand Side (LHS),
= (sec A - 1)/(sec A + 1)
We know that, sec A = 1/cos A
= ((1/cos A) - 1)/((1/cos A) + 1)
By simplification we get,
= (1 - cos A)/(1 + cos A)
Then, Right Hand Side (RHS) = (1 - cos A)/(1 + cos A)
Therefore, LHS = RHS
(xi) (1 + sin A)/(1 - sin A) = (cosec A + 1)/(cosec A - 1)
From the question first we consider Left Hand Side (LHS),
= (1 + sin A)/(1 - sin A)
Then consider Right Hand Side (RHS) = (cosec A + 1)/(cosec A - 1)
We know that, cosec A = 1/sin A
So,
= ((1/sin A) + 1)/((1/sin A) - 1)
= (1 + sin A)/(1 - sin A)
Therefore, LHS = RHS
(xii) cos A/(1 + sin A) = sec A - tan A
From the question first we consider Right Hand Side (RHS),
= sec A - tan A
We know that, sec A = 1/cos A, tan A = sin A/cos A
= (1/cos A) - (sin A/cos A)
= (1 - sin A)/cos A
= ((1 - sin A)/cos A) ((1 + sin A)/(1 + sin A))
By cross multiplication we get,
= (1 - sin2 A)/(cos A(1 + sin A))
= cos2 A/(cos A (1 + sin A))
= cos A/(1 + sin A)
Then, Left Hand Side (LHS) = cos A/(1 + sin A)
Therefore, LHS = RHS
(xiii) (tan θ + sec θ - 1)/(tan θ - sec + 1) = (1 + sin θ)/cos θ
From the question first we consider Left Hand Side (LHS),
= (tan θ + sec θ - 1)/(tan θ - sec + 1)
The above terms can be written as,
= (tan θ + sec θ - (sec2 θ - tan2 θ))/(1 + tan θ - sec θ)
= [tan θ + sec θ - {(sec θ + tan θ) (sec θ - tan θ)}]/(1 + tan θ - sec θ)
= [(tan θ + sec θ) {1 - (sec θ - tan θ)}]/(1 + tan θ - sec θ)
= [(tan θ + sec θ) (1 + tan θ - sec θ)]/(1 + tan θ - sec θ)
= [tan θ + sec θ]
= (1 + sin θ)/ cos θ
Then, Right Hand Side (RHS) = (1 + sin θ)/cos θ
Therefore, LHS = RHS






2. Prove the following identities:


(i) sin2 A cos2 B - cos2 A sin2 B = sin2 A - sin2 B


(ii). (1 - tan A)2 + (1 + tan A)2 = 2 sec2 A


(iii) cosec4 A - cosec2 A = cot4 A + cot4 A


(iv) sec2 A + cosec2 A = sec2 A cosec2 A


(v) cos4 A - sin4 A = 2 cos2 A - 1


(vi) (sec A - cos A) (sec A + cos A) = sin2 A + tan2 A


(vii) (cos A + sin A)2 + (cos A - sin A)2 = 2


(viii) (cosec A - sin A) (sec A - cos A) (tan A + cot A) = 1


(ix) sec2 A cosec2 A = tan2 A + cot2 A + 2


(x) (cos A/(1 - tan A)) + (sin A/(1 - cot A)) = sin A + cos A


(xi) (cosec A - sin A) (sec A - cos A) = 1/(tan A + cot A)


(xii) sin4 A + cos4 A = 1 - 2 sin2 A cos2 A



Answer

(i) sin2 A cos2 B - cos2 A sin2 B = sin2 A - sin2 B

From the question first we consider Left Hand Side (LHS),

= sin2 A cos2 B - cos2 A sin2 B

We know that, cos2 B = (1 - sin2 B),

= sin2 A (1 - sin2 B) - (1 - sin2 A) sin2 B

= sin2 A - sin2 A sin2 B - sin2 B + sin2 A sin2 B

On simplification we get,

= sin2 A - sin2 B

Then, Right Hand Side (RHS) = sin2 A - sin2 B

Therefore, LHS = RHS

(ii) (1 - tan A)2 + (1 + tan A)2 = 2 sec2 A

From the question first we consider Left Hand Side (LHS),

= (1 - tan A)2 + (1 + tan A)2

Expanding the above terms we get,

= 1 + tan2 A - 2 tan A + 1 + tan2 A + 2 tan A

= 2(1 + tan2 A)

= 2 sec2 A

Then, Right Hand Side (RHS) = 2 sec2 A

Therefore, LHS = RHS

(iii) cosec4 A - cosec2 A = cot4 A + cot4 A

From the question first we consider Left Hand Side (LHS),

= cosec4 A - cosec2 A

By taking common we get,

= cosec2 A (cosec2 A - 1)

Now we consider Right Hand Side (RHS) = cot4 A + cot4 A

Again taking common we get,

= cot2 A (cot2 A + 1)

We know that, cot2 A = cosec2 A - 1, cot2 A + 1 = cosec2 A

So, (cosec2 A - 1) cosec2 A

Therefore, LHS = RHS

(iv) sec2 A + cosec2 A = sec2 A cosec2 A

From the question first we consider Left Hand Side (LHS),

= sec2 A + cosec2 A

We know that, sec2 A = 1/cos2 A, cosec2 A = 1/sin2 A

= (1/cos2 A) + (1/sin2 A)

= (sin2 A + cos2 A)/(cos2 A sin2 A)

= 1/(cos2 A sin2)

= sec2 A cosec2 A

Then, Right Hand Side (RHS) = sec2 A cosec2 A

Therefore, LHS = RHS

(v) cos4 A - sin4 A = 2 cos2 A - 1

From the question first we consider Left Hand Side (LHS),

= cos4 A - sin4 A

We know that, a2 - b2 = (a + b) (a - b)

= (cos2 A - sin2 A)(cos2 A + sin2 A)

= (cos2 A - (1 - cos2 A))

= 2 cos2 A - 1

Then, Right Hand Side (RHS) = 2 cos2 A - 1

Therefore, LHS = RHS

(vi) (sec A - cos A) (sec A + cos A) = sin2 A + tan2 A

From the question first we consider Left Hand Side (LHS),

= (sec A - cos A) (sec A + cos A)

We know that, a2 - b2 = (a + b) (a - b)

= (sec2 A - cos2 A)

Also we know that, sec2 A = 1 + tan2 A, cos2 A = 1 - sin2 A

= 1 + tan2 A - (1 - sin2 A)

= tan2 A + sin2 A

Then, Right Hand Side (RHS) = tan2 A + sin2 A

Therefore, LHS = RHS

(vii) (cos A + sin A)2 + (cos A - sin A)2 = 2

From the question first we consider Left Hand Side (LHS),

= (cos A + sin A)2 + (cos A - sin A)2

We know that, (a + b)2 = a2 + 2ab + b2, (a - b)2 = a2 - 2ab + b2

= cos2 A + sin2 A + 2 cos A sin A + cos2 A + sin2 A - 2 cos A sin A

By simplification we get,

= 2(cos2 A + sin2 A)

= 2

Then, Right Hand Side (RHS) = 2

Therefore, LHS = RHS

(viii) (cosec A - sin A) (sec A - cos A) (tan A + cot A) = 1

From the question first we consider Left Hand Side (LHS),

= (cosec A - sin A) (sec A - cos A) (tan A + cot A)

We know that, cosec A = 1/sin A, sec A = 1/cos A, cot A = 1/tan A

= ((1/sin A) - sin A) ((1/cos A) - cos A) (tan A + (1/tan A))

= ((1 - sin2 A)/sin A) ((1 - cos2 A)/cos A) ((sin A/cos A) + (cos A/sin A))

= (cos2 A/sin A) (sin2 A/cos A) ((sin2 A + cos2 A)/(sin A cos A))

By simplification we get,

= 1

Then, Right Hand Side (RHS) = 1

Therefore, LHS = RHS

(ix) sec2 A cosec2 A = tan2 A + cot2 A + 2

From the question first we consider Left Hand Side (LHS),

= sec2 A cosec2 A

We know that, sec2 A = 1/cos2 A, cosec2 A = 1/sin2 A

= 1/(cos2 A sin2 A)

Now consider RHS = tan2 A + cot2 A + 2

= tan2 A + cot2 A + 2 tan2 A cot2 A

= (tan A + cot A)2

= ((sin A/cos A) + (cos A/sin A))2

= ((sin2 A + cos2 A)/(sin A cos A))

= 1/(cos2 A sin2 A)

Therefore, LHS = RHS

(x) (cos A/(1 - tan A)) + (sin A/(1 - cot A)) = sin A + cos A

From the question first we consider Left Hand Side (LHS),

= (cos A/(1 - tan A)) + (sin A/(1 - cot A))

= (cos A/(1 - (sin A/cos A))) + (sin A/(1 - (cos A/sin A)))

= (cos A/((cos A - sin A)/cos A)) + (sin A/((sin A - cos A)/sin A))

= (cos2A/(cos A - sin A)) + (sin2A/(sin A - cos A))

= (cos2 A - sin2 A)/(cos A - sin A)

= sin A + cos A

Then, Right Hand Side (RHS) = sin A + cos A

Therefore, LHS = RHS

(xi) (cosec A - sin A) (sec A - cos A) = 1/(tan A + cot A)

From the question first we consider Left Hand Side (LHS),

= (cosec A - sin A) (sec A - cos A)

We know that, cosec A = 1/sin A, sec A = 1/cos A

= ((1/sin A) - sin A) ((1/cos) - cos A)

= ((1 - sin2 A)/sin A)((1 - cos2 A)/cos A)

= (cos2 A/sin A) (sin2 A/cos A)

= cos A sin A

Now consider the RHS = 1/(tan A + cot A)

= (1/((sin A/cos A)+(cos A/sin A))

= 1/((sin2 A + cos2 A)/(sin A cos A))

= cos A sin A

Therefore, LHS = RHS

(xii) sin4 A + cos4 A = 1 - 2 sin2 A cos2 A

From the question first we consider Left Hand Side (LHS),

= sin4 A + cos4 A

= 1 - 2 sin2 A cos2 A

= sin4 A + cos4 A + 2 sin2 A cos2 A

= (sin2A)2+(cos2A)2+ 2 sin2A cos2A - 2sin2Acos2A

[Adding and subtracting 2 sin2A cos2A]

= (sin2A + cos2A)2 - 2 sin2 A cos2 A

= 1 - 2 sin2 A cos2 A

Then, Right Hand Side (RHS) = 1 - 2 sin2 A cos2 A
Therefore, LHS = RHS






3. Prove the following identities:


(i) (sin A/(1 + cos A)) + ((1 + cos A)/sin A) = 2 cosec A


(ii) (1 + cos A)/(1 - cos A) = (cosec A + cot A)2


(iii) (cot A + tan B)/(cot B + tan A) = cot A tan B


(iv) 1/(tan A + cot A) = sin A cos A


(v) tan A - cot A = (1 - 2 cos2 A)/(sin A cos A)


(vi) ((1 + tan2 A) cot A)/cosec2 A = tan A


(vii) cosec A + cot A = (1/(cosec A - cot A))


(viii) ((cosec A)/(cosec A - 1)) + ((cosec A)/(cosec A + 1)) = 2 sec2 A


(ix) (1 + cos A)/(1 - cos A) = (tan2 A)/(sec A - 1)2


(x) (cot A - cosec A)2 = ((1 - cos A)/(1 + cos A))



Answer

(i) (sin A/(1 + cos A)) + ((1 + cos A)/sin A) = 2 cosec A

From the question first we consider Left Hand Side (LHS),

= (sin A/(1 + cos A)) + ((1 + cos A)/sin A)

By cross multiplication we get,

= ((1 + cos A)2 + sin2 A)/(sin A (1 + cos))

We know that, (a + b)2 = a2 + 2ab + b2

Then,

= (1 + 2 cos A + cos2 A + sin2 A)/(sin A (1 + cos A)

= (2 + 2 cos A)/(sin A (1 + cos A))

Now taking common outside we get,

= (2(1 + cos A))/(sin A (1 + cos A))

= 2 cosec A

Then, Right Hand Side (RHS) = 2 cosec A

Therefore, LHS = RHS

(ii) (1 + cos A)/(1 - cos A) = (cosec A + cot A)2

From the question first we consider Left Hand Side (LHS),

= (1 + cos A)/(1 - cos A)

Now, multiply and divide by (1 + cos A) we get,

= ((1 + cos A)/(1 - cos A)) ((1 + cos A)/(1 + cos A))

By cross multiplication we get,

= (1 + cos A)2/(1 - cos2 A)

We know that, sin2 A + cos2 A = 1

So, (1 + cos A)2/sin2 A

= ((1 + cos A)/sin A)2

= ((1/sin A) + (cos A/sin A))2

= (cosec A + cot A)2

Then, Right Hand Side (RHS) = (cosec A + cot A)2

Therefore, LHS = RHS

(iii) (cot A + tan B)/(cot B + tan A) = cot A tan B

From the question first we consider Left Hand Side (LHS),

= (cot A + tan B)/(cot B + tan A)

We know that, cot A = 1/tan A

= ((1/tan A) + (tan B))/((1/tan A) + tan A)

= ((1 + tan A tan B)/tan A)/((1 + tan A tan B)/tan B)

= ((1 + tan A tan B)/tan A) (tan B/(1 + tan A tan B))

= tan B/tan A

= (1/tan A) tan B

= cot A tan B

Then, Right Hand Side (RHS) = cot A tan B

Therefore, LHS = RHS

(iv) 1/(tan A + cot A) = sin A cos A

From the question first we consider Left Hand Side (LHS),

= 1/(tan A + cot A)

We know that, tan A = sin A/cos A, cot A = cos A/sin A

= 1/((sin A/cos A) + (cos A/sin A))

By cross multiplication we get,

= 1/((sin2 A + cos2 A)/(sin A cos A))

Also we know that, sin2 A + cos2 A = 1

= 1/(1/(sin A cos A))

= sin A cos A

Then, Right Hand Side (RHS) = sin A cos A

Therefore, LHS = RHS

(v) tan A - cot A = (1 - 2 cos2 A)/(sin A cos A)

From the question first we consider Left Hand Side (LHS),

= tan A - cot A

We know that, tan A = sin A/cos A, cot A = cos A/sin A

Then,

= (sin A/cos A) - (cos A /sin A)

= (sin2 A - cos2 A)/(sin A cos A)

We know that, sin2 A = 1 - cos2 A

= (1 - cos2 A - cos2 A)/(sin A cos A)

So,

= (1 - 2 cos2 A)/(sin A cos A)

Then, Right Hand Side (RHS) = (1 - 2 cos2 A)/(sin A cos A)

Therefore, LHS = RHS

(vi) ((1 + tan2 A) cot A)/cosec2 A = tan A

From the question first we consider Left Hand Side (LHS),

= ((1 + tan2 A) cot A)/cosec2 A

We know that, 1 + tan2 A = sec2

= (sec2 cot A)/cosec2 A

Also we know that, sec2 A = 1/cos2 A, cot A = cos A/sin A

= ((1/cos2 A)(cos A/sin A))/(1/(sin2 A))

= (1/(cos A sin A))/(1/sin2 A)

= sin A/cos A

= tan A

Then, Right Hand Side (RHS) = tan A

Therefore, LHS = RHS

(vii) cosec A + cot A = (1/(cosec A - cot A))

From the question first we consider Left Hand Side (LHS),

= cosec A + cot A

Now multiply and divide by cosec A - cot A we get,

= ((cosec A + cot A)/1) ((cosec A - cot A)/(cosec A - cot A))

By cross multiplication we get,

= (cosec2 A - cot2 A)/(cosec A - cot A)

= (1 + cot2 A - cot2 A)/(cosec A - cot A)

= (1/(cosec A - cot A))

Then, Right Hand Side (RHS) = (1/(cosec A - cot A))

Therefore, LHS = RHS

(viii) ((cosec A)/(cosec A - 1)) + ((cosec A)/(cosec A + 1)) = 2 sec2 A

From the question first we consider Left Hand Side (LHS),

= ((cosec A)/(cosec A - 1)) + ((cosec A)/(cosec A + 1))

By cross multiplication we get,

= (cosec2 A + cosec A + cosec2 A - cosec A)/(cosec2 A - 1)

We know that, cosec2 A - 1 = cot2 A

= 2 cosec2 A/cot2 A

Also we know that, cosec2 A = 1/sin2 A

= (2/sin2 A)/(cos2 A/sin2 A)

= 2/cos2 A

= 2 sec2 A

Then, Right Hand Side (RHS) = 2 sec2 A

Therefore, LHS = RHS

(ix) (1 + cos A)/(1 - cos A) = (tan2 A)/(sec A - 1)2

From the question first we consider Left Hand Side (LHS),

= (1 + cos A)/(1 - cos A)

We know that, cos A = 1/sec A

Then,

= (1 + (1/sec A))/(1 - (1/sec))

= (sec A + 1)/(sec A - 1)

Now multiply and divide by (sec A - 1) we get,

= ((sec A + 1)/(sec A - 1)) ((sec A - 1)/(sec A - 1))

By cross multiplication we get,

= (sec2 A - 1)/(sec A - 1)2

= tan2 A/(sec A - 1)2

Then, Right Hand Side (RHS) = tan2 A/(sec A - 1)2

Therefore, LHS = RHS

(x) (cot A - cosec A)2 = ((1 - cos A)/(1 + cos A))

From the question first we consider Left Hand Side (LHS),

= (cot A - cosec A)2

We know that, cot A = cos A/sin A, cosec A = 1/sin A

= ((cos A/sin A) - (1/sin A))2

= ((cos A - 1)/sin A)2

= (cos A - 1)2/sin2 A

= (cos A - 1)2/1 - cos2 A

= (-(1 - cos A)2/((1 - cos A) (1 + cos A))

= ((1 - cos A) (1 - cos A))/((1 - cos A)(1 + cos A))

= (1 - cos A)/(1 + cos A)

Then, Right Hand Side (RHS) = (1 - cos A)/(1 + cos A)
Therefore, LHS = RHS






4. Prove the following identities:


(i) √(cosec2 q - 1) = cos q cosec q


(ii) √((1 + sin q)/(1 - sin q)) + √((1 - sin q)/(1 + sin q)) = 2 sec q


(iii) √((1 - cos A)/(1 + cos A)) = (sin A/(1 + cos A))


(iv) √((1 + cos A)/(1 - cos A)) = cosec A + cot A


(v) √((sec q - 1)/(sec q + 1)) + √((sec q + 1)/(sec q - 1)) = 2 cosec q



Answer















dlt23197113013103746025">5.
Prove the following identities:


(i) (sec θ - tan θ)2 = (1 - sin θ)/(1 + sin θ)


(ii) (1/(sin A + cos A)) + (1/(sin A - cos A)) = 2 sin A/(1 - 2 cos2 A)


(iii) ((sin A + cos A)/(sin A - cos A)) + ((sin A - cos A)/(sin A + cos A)) = 2 /(2 sin2 A - 1)


(iv) tan2 A - tan2 B = (sin2A - sin2 B)/(cos2 A cos2 B)


(v) (cos A/(1 - tan A)) + (sin2 A/(sin A - cos A)) = cos A + sin A


(vi) (1 + tan2 A) + (1 + (1/tan2 A)) = (1/(sin2 A - sin4 A))


(vii) ((cos3 A + sin3 A)/(cos A + sin A)) + ((cos3 A - sin3 A)/(cos A - sin A)) = 2


(viii) (tan θ + (1/cos θ))2 + (tan θ - (1/cos θ))2 = 2((1 + sin2 θ)/(1 - sin2 θ)


(ix) ((sin A - sin B)/(cos A + cos B)) + ((cos A - cos B)/(sin A + sin B)) = 0


(x) (1/(cos A + sin A - 1)) + (1/(cos A + sin A + 1)) = cosec A + sec A


(xi) (cot A + cosec A - 1)/(cot A - cosec A + 1) = (cos A + 1)/sin A


(xii) (sec A - 1)/(sec A + 1) = (sin2 A)/(1 + cos A)2



Answer

(i) (sec θ - tan θ)2 = (1 - sin θ)/(1 + sin θ)

From the question first we consider Left Hand Side (LHS),

= (sec θ - tan θ)2

We know that, sec θ = 1/cos θ, tan θ = sin θ/cos θ

= ((1/cos θ) - (sin θ/cos θ))2

By taking LCM we get,

= ((1 - sin θ)/cos θ)2

= (1 - sin θ)2/cos2 θ

Also we know that, cos2 θ = 1 - sin2 θ

= (1 - sin θ)2/(1 - sin2 θ)

= (1 - sin θ)2/((1 - sin θ)(1 + sin θ))

= (1 - sin θ)/(1 + sin θ)

Then, Right Hand Side (1 - sin θ)/(1 + sin θ)

Therefore, LHS = RHS

(ii) (1/(sin A + cos A)) + (1/(sin A - cos A)) = 2 sin A/(1 - 2 cos2 A)

From the question first we consider Left Hand Side (LHS),

= (1/(sin A + cos A)) + (1/(sin A - cos A))

By taking LCM we get,

= (sin A - cos A + sin A + cos A)/(sin2 A - cos2 A)

= 2 sin A/(1 - cos2 A - cos2 A)

= 2 sin A/(1 - 2 cos2 A)

Then, Right Hand Side 2 sin A/(1 - 2 cos2 A)

Therefore, LHS = RHS

(iii) ((sin A + cos A)/(sin A - cos A)) + ((sin A - cos A)/(sin A + cos A)) = 2 /(2 sin2 A - 1)

From the question first we consider Left Hand Side (LHS),

= ((sin A + cos A)/(sin A - cos A)) + ((sin A - cos A)/(sin A + cos A))

By taking LCM we get,

= ((sin A + cos A)2 + (sin A - cos A)2)/((sin A + cos A)(sin A - cos A))

Then,

= (sin2 A + cos2 A + 2 sin A cos A + sin2 A + cos2 A - 2 sin cos A)/(sin2 A - cos2 A)

= (2 sin2 A + 2 cos2 A + 2 sin A cos A - 2 sin cos A)/(sin2 A - cos2 A)

= (2 sin2 A + 2 cos2 A)/(sin2 A - cos2 A)

= 2(sin2 A + cos2 A)/(sin2 A - cos2 A)

We know that, sin2 A + cos2 A = 1

= 2(1)/(sin2 A - cos2 A)

= 2/(sin2 A - cos2 A)

= 2/(sin2 A - (1 - sin2 A))

= 2/(2 sin2 A - 1)

Then, Right Hand Side 2/(2 sin2 A - 1)

Therefore, LHS = RHS

(iv) tan2 A - tan2 B = (sin2A - sin2 B)/(cos2 A cos2 B)

From the question first we consider Left Hand Side (LHS),

= tan2 A - tan2 B

We know that, tan2 θ = sin2 θ /cos2 θ,

= (sin2 A cos2 B - cos2 A sin2 B)/(cos2 A cos2 B)

Then,

= (((1 - cos2 A) cos2 B) - (cos2 A sin2 B))/(cos2 A cos2 B)

= (cos2 B - cos2 A cos2 B - cos2 A + cos2 A cos2 B)/(cos2 A cos2 B)

By simplification we get,

= (cos2 B - cos2 A)/(cos2 A cos2 B)

= ((1 - sin2 B) - (1 - sin2 A))/(cos2 A cos2 B)

= (sin2 A - sin2 B)/(cos2 A cos2 B)

Then, Right Hand Side (sin2 A - sin2 B)/(cos2 A cos2 B)

Therefore, LHS = RHS

(v) (cos A/(1 - tan A)) + (sin2 A/(sin A - cos A)) = cos A + sin A

From the question first we consider Left Hand Side (LHS),

= (cos A/(1 - tan A)) + (sin2 A/(sin A - cos A))

We know that, tan A = sin A/cos A

= (cos A/(1 - (sin A/cos A))) + (sin2 A/(sin A - cos A))

Then,

= (cos A/((cos A - sin A)/cos A)) + (sin2 A/(sin A - cos A))

= (cos2 A/(cos A - sin A)) - (sin2 A/(cos A - sin A))

= (cos2 A - sin2 A)/(cos A - sin A)

= ((cos A + sin A)(cos A - sin A))/(cos A - sin A)

By simplification we get,

= cos A + sin A

Then, Right Hand Side cos A + sin A

Therefore, LHS = RHS

(vi) (1 + tan2 A) + (1 + (1/tan2 A)) = (1/(sin2 A - sin4 A))

From the question first we consider Left Hand Side (LHS),

= (1 + tan2 A) + (1 + (1/tan2 A))

We know that, tan2 A = sin2 A/cos2 A

= (1 + (sin2 A/cos2 A)) + (1 + (1/(sin2A/cos2 A)))

By taking LCM we get,

= ((cos2 A + sin2 A)/cos2 A) + ((cos2 A + sin2 A)/sin2 A)

Also we know that, cos2 A + sin2 A = 1

So,

= (1/(1 - sin2 A)) + (1/sin2 A)

= (sin2 A + 1 - sin2 A)/(sin2 A(1 - sin2 A))

= 1/(sin2 A - sin4 A)

Then, Right Hand Side = 1/(sin2 A - sin4 A)

Therefore, LHS = RHS

(vii) ((cos3 A + sin3 A)/(cos A + sin A)) + ((cos3 A - sin3 A)/(cos A - sin A)) = 2

From the question first we consider Left Hand Side (LHS),

= ((cos3 A + sin3 A)/(cos A + sin A)) + ((cos3 A - sin3 A)/(cos A - sin A))

By taking LCM we get,

= ((cos3 A + sin3 A)(cos A - sin A) + (cos3 A - sin3 A)(cos A + sin A))/(cos2 A - sin2 A)

= 2(cos4 A - sin4 A)/(cos2 A - sin2 A)

= (2(cos2 A + sin2 A)(cos2 A - sin2 A))/(cos2 A - sin2 A)

= 2(cos2 A + sin2 A)

We know that, cos2 A + sin2 A = 1

= 2

Then, Right Hand Side = 2

Therefore, LHS = RHS

(viii) (tan θ + (1/cos θ))2 + (tan θ - (1/cos θ))2 = 2((1 + sin2 θ)/(1 - sin2 θ)

From the question first we consider Left Hand Side (LHS),

= (tan θ + (1/cos θ))2 + (tan θ - (1/cos θ))2

We know that, tan θ = sin θ/cos θ

= ((sin θ/cos θ) + (1/cos θ))2 + ((sin θ/cos θ) - (1/cos θ))2

= ((sin θ + 1)/cos θ)2 + ((sin θ - 1)/cos θ)2

= ((sin θ + 1)2/cos2 θ) + ((sin θ - 1)/cos2 θ)

= ((sin θ + 1)2 + (sin θ - 1)2)/cos2 θ

Also we know that, (a + b)2 = a2 + 2ab + b2

= (sin2 θ + 1 + 2 sin θ + sin2 θ + 1 - 2 sin θ)/(1 - sin2 θ)

= 2(1 + sin2 θ)/(1 - sin2 θ)

Then, Right Hand Side = 2(1 + sin2 θ)/(1 - sin2 θ)

Therefore, LHS = RHS

(ix) ((sin A - sin B)/(cos A + cos B)) + ((cos A - cos B)/(sin A + sin B)) = 0

From the question first we consider Left Hand Side (LHS),

= ((sin A - sin B)/(cos A + cos B)) + ((cos A - cos B)/(sin A + sin B))

By taking LCM we get,

= (((sin A + sin B)(sin A - sin B)) + ((cos A + cos B)(cos A - cos B)))/((cos A + cos B)(sin A - sin B))

By simplification we get,

= ((sin2 A - sin2 B) + (cos2 A - cos2 B))/((cos A + cos B)(sin A - sin B))

= ((sin2 A + cos2 A) - (sin2 B + cos2 B))/((cos A + cos B)(sin A - sin B))

We know that, sin2 A + cos2 A = 1

= (1 - 1)/ ((cos A + cos B)(sin A - sin B))

= 0/((cos A + cos B)(sin A - sin B))

= 0

Then, Right Hand Side = 0

Therefore, LHS = RHS

(x) (1/(cos A + sin A - 1)) + (1/(cos A + sin A + 1)) = cosec A + sec A

From the question first we consider Left Hand Side (LHS),

= (1/(cos A + sin A - 1)) + (1/(cos A + sin A + 1))

By taking LCM we get,

= (cos A + sin A + 1 + cos A + sin A - 1)/((cos A + sin A)2 - 1)

We know that, (a + b)2 = a2 + 2ab + b2

= (2(cos A + sin A))/(cos2 A + sin2 A + 2 cos A sin A - 1)

= (cos A + sin A)/(cos A sin A)

= (cos A/(cos A sin A)) + (sin A/(cos A sin A))

= (1/sin A) + (1/cos A)

= cosec A + sec A

Then, Right Hand Side = cosec A + sec A

Therefore, LHS = RHS

(xi) (cot A + cosec A - 1)/(cot A - cosec A + 1) = (cos A + 1)/sin A

From the question first we consider Left Hand Side (LHS),

= (cot A + cosec A - 1)/(cot A - cosec A + 1)

We know that, cosec2 A - cot2 A = 1

= (cot A + cosec - (cosec2 A - cot2 A))/(cot A - cosec A + 1)

Also we know that, (a2 - b2) = (a + b) (a - b)

= [cot A + cosec A - ((cosec A - cot A)(cosec A + cot A))]/(cot A - cosec A + 1)

= (cot A + cosec A [1 - cosec A + cot A])/(cot A - cosec A + 1)

= cot A + cosec A

= (cos A/sin A) + (1/sin A)

= (1 + cos A)/sin A

Then, Right Hand Side = (1 + cos A)/sin A

Therefore, LHS = RHS

(xii) (sec A - 1)/(sec A + 1) = (sin2 A)/(1 + cos A)2

From the question first we consider Left Hand Side (LHS),

= (sec A - 1)/(sec A + 1)

We know that, sec A = 1/cos A

= ((1/cos A) - 1)/((1/cos) + 1)

= (1 - cos A)/(1 + cos A)

Then,

= ((1 - cos A)/(1 + cos A)) × ((1 + cos A)/(1 + cos A))

By simplification we get,

= (1 - cos2 A)/(1 + cos A)2

Also we know that, 1 - cos2 A = sin2 A

= sin2 A/(1 + cos A)2

Then, Right Hand Side = sin2 A/(1 + cos A)2
Therefore, LHS = RHS




6. Prove the following identities:


(i) (1 + cot A)2 + (1 - cot A)2 = 2 cosec2 A


(ii) (cosec θ/(tan θ + cot θ)) = cos θ


(iii) (1 + tan2 θ) sin θ cos θ = tan θ


(iv) ((1 + sin θ)/(cosec θ - cot θ)) - ((1 - sin θ)/(cosec θ + cot θ)) = 2 (1 + cot θ)


(v) (1 + cot A + tan A) (sin A - cos A) = (sec A/cosec2 A) - (cosec A/sec2 A)


(vi) 2(sin6 θ + cos6 θ) - 3 (sin4 θ + cos4 θ) + 1 = 0


(vii) sin8 θ - cos8 θ = (sin2 θ - cos2 θ)(1 - 2 sin2 θ cos2 θ)


(viii) sec4 A - sec2 A = (sin2 A/cos4 A)


(ix) (tan2 θ/(tan2 θ - 1)) + (cosec2 θ/(sec2 θ - cosec2 θ)) = (1/(sin2 θ - cos2 θ))


(x) (sec2 θ - sin2 θ)/(tan2 θ) = cosec2 θ - cos2 θ



Answer

(i) (1 + cot A)2 + (1 - cot A)2 = 2 cosec2 A

From the question first we consider Left Hand Side (LHS),

= (1 + cot A)2 + (1 - cot A)2

We know that, (a + b)2 = a2 + 2ab + b2

= 1 + cot2 A + 2 cot A + 1 + cot2 A - 2 cot A

= 2 + 2 cot2 A

Taking common terms outside we get,

= 2 (1 + cot2 A)

Also we know that, 1 + cot2 A = cosec2 A

= 2 cosec2 A

Then, Right Hand Side = 2 cosec2 A

Therefore, LHS = RHS

(ii) (cosec θ/(tan θ + cot θ)) = cos θ

From the question first we consider Left Hand Side (LHS),

= (cosec θ/(tan θ + cot θ))

We know that, cosec θ = 1/sin θ, tan θ = sin θ/cos θ, cot θ = cos θ/sin θ

Then,

= (1/sin θ)/((sin θ/cos θ) + (cos θ/sin θ))

Taking LCM in the denominator we get,

= (1/sin θ)/((sin2 θ + cos2 θ)/(cos θ sin θ))

Also we know that, sin2 θ + cos2 θ = 1

= (1/sin θ)/(1/cos θ sin θ)

= (1/sin θ) × ((cos θ sin θ)/1)

= cos θ

Then, Right Hand Side = cos θ

Therefore, LHS = RHS

(iii) (1 + tan2 θ) sin θ cos θ = tan θ

From the question first we consider Left Hand Side (LHS),

= (1 + tan2 θ) sin θ cos θ

We know that, tan2 θ = sin2 θ/cos2 θ

= (1 + (sin2 θ/cos2 θ)) sin θ cos θ

Taking LCM we get,

= ((cos2 θ + sin2 θ)/cos2 θ) sin θ cos θ

Also we know that, sin2 θ + cos2 θ = 1

= (1/cos2 θ) sin θ cos θ

= sin θ/cos θ

= tan θ

Then, Right Hand Side = tan θ

Therefore, LHS = RHS

(iv) ((1 + sin θ)/(cosec θ - cot θ)) - ((1 - sin θ)/(cosec θ + cot θ)) = 2 (1 + cot θ)

From the question first we consider Left Hand Side (LHS),

= ((1 + sin θ)/(cosec θ - cot θ)) - ((1 - sin θ)/(cosec θ + cot θ))

By taking LCM we get,

= [((1 + sin θ)(cosec θ + cot θ)) - ((1 - sin θ)(cosec θ - cot θ))]/(cosec2 θ - cot2 θ)

We know that, 1 + cot2 θ = cosec2 θ

= (cosec θ + cot θ + 1 + cos θ - cosec θ + cot θ + 1 - cos θ)/(1 + cot2 θ - cot2 θ)

By simplification we get,

= 2 + 2 cot θ

Taking common terms outside we get,

= 2(1 + cot θ)

Then, Right Hand Side = 2(1 + cot θ)

Therefore, LHS = RHS

(v) (1 + cot A + tan A) (sin A - cos A) = (sec A/cosec2 A) - (cosec A/sec2 A)

From the question first we consider Left Hand Side (LHS),

= (1 + cot A + tan A) (sin A - cos A)

We know that, cot A = cos A/sin A, tan A = sin A/cos A

= [1 + (cos A/sin A) + (sin A/cos A)] (sin A - cos A)

By taking LCM we get,

= [(sin A cos A + cos2 A + sin2 A)/(sin A cos A)] (sin A - cos A)

Also we know that, (a3 - b3) = (a - b) (a2 + b2 + ab)

So,

= (sin3 A - cos3 A)/(sin A cos A)

= (sin3 A/(sin A cos A)) - (cos3 A/(sin A cos A))

= (sin2 A/cos A) - (cos2 A/sin A)

= ((1/cos A) × sin2 A) - ((1/sin A) × cos2 A)

= sec A sin2 A - cosec A cos2 A

= (sec A/cosec2 A) - (cosec A/sec2 A)

Then, Right Hand Side = (sec A/cosec2 A) - (cosec A/sec2 A)

Therefore, LHS = RHS

(vi) 2(sin6 θ + cos6 θ) - 3 (sin4 θ + cos4 θ) + 1 = 0

From the question first we consider Left Hand Side (LHS),

= 2(sin6 θ + cos6 θ) - 3 (sin4 θ + cos4 θ) + 1

The above terms can be written as,

= 2[(sin2 θ)3 + (cos2 θ)3] - 3 (sin4 θ + cos4 θ) + 1

We know that, (a3 + b3) = (a + b) (a2 + b2 - ab)

= 2[(sin2 θ + cos2 θ) ((sin2 θ) + (cos2 θ)2 - sin2 θ cos2 θ)] - 3(sin4 θ + cos4 θ) + 1

= 2[(sin2 θ)2 + (cos2 θ)2 - sin2 θ cos2 θ] - 3 (sin4 θ + cos4 θ) + 1

= 2 sin4 θ + 2 cos4 θ - 2 sin2 θ cos2 θ - 3 sin4 θ - 3 cos4 θ + 1

= - sin4 θ - cos4 θ - 2 sin2 θ cos2 θ + 1

= -(sin4 θ + cos4 θ + 2 sin2 θ cos2 θ) + 1

= - (sin2 θ + cos2 θ)2 + 1

Also we know that, sin2 θ + cos2 θ = 1

= - 1 + 1

= 0

Then, Right Hand Side = 0

Therefore, LHS = RHS

(vii) sin8 θ - cos8 θ = (sin2 θ - cos2 θ)(1 - 2 sin2 θ cos2 θ)

From the question first we consider Left Hand Side (LHS),

= sin8 θ - cos8 θ

The above terms can be written as,

= (sin4 θ)2 - (cos4 θ)2

We know that, (a2 - b2) = (a + b)(a - b)

= (sin4 θ - cos4 θ) (sin4 θ + cos4 θ)

= ((sin2 θ)2 - (cos2 θ)2) (sin4 θ + cos4 θ)

= (sin2 θ - cos2 θ) (sin2 θ + cos2 θ)(sin4 θ + cos4 θ)

= (sin2 θ - cos2 θ)(sin4 θ + cos4 θ)

= (sin2 θ - cos2 θ)((sin2 θ)2 + (cos2 θ)2 + 2sin2 θ cos2 θ - 2sin2 θ cos2 θ)

= (sin2 θ - cos2 θ)((sin2 θ + cos2 θ)2 - 2 sin2 θ cos2 θ)

= (sin2 θ - cos2 θ)(1 - 2sin2 θ cos2 θ)

Then, Right Hand Side = (sin2 θ - cos2 θ)(1 - 2sin2 θ cos2 θ)

Therefore, LHS = RHS

(viii) sec4 A - sec2 A = (sin2 A/cos4 A)

From the question first we consider Left Hand Side (LHS),

= sec4 A - sec2 A

We know that, sec A = 1/cos A

= (1/cos4 A) - (1/cos2 A)

= (1 - cos2 A)/cos4 A

Also we know that, 1 - cos2 A = sin2 A

= sin2 A/cos4 A

Then, Right Hand Side = sin2 A/cos4 A

Therefore, LHS = RHS

(ix) (tan2 θ/(tan2 θ - 1)) + (cosec2 θ/(sec2 θ - cosec2 θ)) = (1/(sin2 θ - cos2 θ))

From the question first we consider Left Hand Side (LHS),

= (tan2 θ/(tan2 θ - 1)) + (cosec2 θ/(sec2 θ - cosec2 θ))

We know that, tan2 θ = sin2 θ/cos2 θ, cosec2 θ = 1/sin2 θ, sec2 θ = 1/cos2 θ

= ((sin2 θ/cos2 θ)/((sin2 θ/cos2 θ) - 1)) + ((1/sin2 θ)/((1/cos2 θ) - (1/sin2 θ)))

= (sin2 θ/(sin2 θ - cos2 θ)) + ((1/sin2 θ)/((sin2 θ - cos2 θ)/(cos2 θ sin2 θ)))

= (sin2 θ/(sin2 θ - cos2 θ)) + (cos2 θ/(sin2 θ - cos2 θ))

= (sin2 θ + cos2 θ)/(sin2 θ - cos2 θ)

= 1/(sin2 θ - cos2 θ)

Then, Right Hand Side = 1/(sin2 θ - cos2 θ)

Therefore, LHS = RHS

(x) (sec2 θ - sin2 θ)/(tan2 θ) = cosec2 θ - cos2 θ

From the question first we consider Left Hand Side (LHS),

= (sec2 θ - sin2 θ)/(tan2 θ)

We know that, sec2 θ = 1/cos2 θ, tan2 θ = sin2 θ/cos2 θ

= ((1/cos2 θ) - sin2 θ)/(sin2 θ/cos2 θ)

= ((1 - sin2 θ cos2 θ)/cos2 θ)/(sin2 θ/cos2 θ)

= (1 - sin2 θ cos2 θ)/sin2 θ

= (1/sin2 θ) - ((sin2 θ cos2 θ)/sin2 θ)

= cosec2 θ - cos2 θ

Then, Right Hand Side = cosec2 θ - cos2 θ

Therefore, LHS = RHS

(xi) ((cos3 θ + sin3 θ)/(cos θ + sin θ)) + ((cos3 θ - sin3 θ)/(cos θ - sin θ)) = 2

From the question first we consider Left Hand Side (LHS),

= ((cos3 θ + sin3 θ)/(cos θ + sin θ)) + ((cos3 θ - sin3 θ)/(cos θ - sin θ))

By taking LCM we get,

= [((cos3 θ + sin3 θ)(cos θ - sin θ)) + ((cos3 θ - sin3 θ)(cos θ + sin θ))]/((cos θ + sin θ)(cos θ - sin θ))

Then,

= (cos4 θ - cos3 θ sin θ + sin3 θ cos θ - sin4 θ + cos4 θ + cos3 θ sin θ - sin3 θ cos θ - sin4 θ)/(cos2 θ - sin2 θ)

By simplification we get,

= (2 cos4 θ - 2 sin4 θ)/(cos2 θ - sin2 θ)

Taking common outside,

= 2(cos4 θ - sin4 θ)/(cos2 θ - sin2 θ)

= (2(cos2 θ + sin2 θ)(cos2 θ - sin2 θ))/(cos2 θ - sin2 θ)

= 2(cos2 θ + sin2 θ)

We know that, sin2 θ + cos2 θ = 1

= 2

Then, Right Hand Side = 2

Therefore, LHS = RHS

(xii) (tan θ + sin θ)/(tan θ - sin θ) = (sec θ + 1)/(sec θ - 1)

From the question first we consider Left Hand Side (LHS),

= (tan θ + sin θ)/(tan θ - sin θ)

We know that, tan θ = sin θ/cos θ

= ((sin θ/cos θ) + sin θ)/((sin θ/cos θ) - sin θ)

= (sin θ + sin θ cos θ)/(sin θ - sin θ cos θ)

= (sin θ(1 + cos θ))/(sin θ(1 - cos θ))

= (1 + cos θ)/(1 - cos θ)

Also we know that, cos θ = 1/sec θ

= (1 + (1/cos θ))/(1 - (1/sec θ))

= ((sec θ + 1)/sec θ)/((sec θ - 1)sec θ)

= (sec θ + 1)/(sec θ - 1)

Then, Right Hand Side = (sec θ + 1)/(sec θ - 1)

Therefore, LHS = RHS





7.
If m = a sec A + b tan A and n = a tan A + b sec A, prove that m2- n2= a2 - b2.



Answer

From the question it is given that,

m = a sec A + b tan A

n = a tan A + b sec A

We have to prove that, m2 - n2 = a2 - b2

Then,

m2 - n2 = (a sec A + b tan A)2 - (a tan A + b sec A)2

We know that, (a + b)2 = a2 + b2 + 2ab

= a2sec2A + b2 tan2 A + 2a sec A b tan A - (a2 tan2 A + b2 sec2 A + 2ab sec A tan A)

= sec2 A(a2 - b2) + tan2 A(b2 - a2)

= (a2 - b2)[sec2 A - tan2 A]

Also we know that, sec2 A - tan2 A = 1

= (a2 - b2)
Hence it is proved that, m2 - n2 = a2 - b2






8. If x = r sin A cos B, y = r sin A sin B and z = r cos A, prove that x2+ y2+ z2 = r2.



Answer

From the question it is given that,

x = r sin A cos B

y = r sin A sin B

z = r cos A

We have to prove that, x2 + y2 + z2 = r2

First we consider Left Hand Side (LHS),

= x2 + y2 + z2

= (r sin A cos B)2 + (r sin A sin B)2 + (r cos A)2

= r2 sin2 A cos2 B + r2 sin2 A sin2 B + r2 cos2 A

Taking common terms outside we get,

= r2 sin2 A (cos2 B + sin2 B) + r2 cos2 A

= r2 (sin2 A + cos2 A)

We know that, sin2 A + cos2 A = 1

= r2

Then, Right Hand Side = r2

Therefore, LHS = RHS

Hence it is proved that, x2 + y2 + z2 = r2






9. If sin A + cos A = m and sec A + cosec A = n, prove that n (m2- 1) = 2m



Answer

From the question it is given that,

sin A + cos A = m

sec A + cosec A = n

We have to prove that, n (m2 - 1) = 2m

First we consider Left Hand Side (LHS),

= n(m2 - 1)

= (sec A + cosec A)(( sin A + cos A)2 - 1)

We know that, sec A = 1/cos A, cosec A = 1/sin A

= ((1/cos A) + (1/sin A))[sin2 A + cos2 A + 2 sin A cos A - 1]

= ((cos A + sin A)/(sin A cos A)) (1 + 2 sin A cos A - 1)

= ((cos A + sin A)/(sin A cos A))(2 sin A cos A)

= 2(sin A + cos A)

= 2m

Then, Right Hand Side = 2m

Therefore, LHS = RHS

Hence it is proved that, n (m2 - 1) = 2m






10. If x = a cos θ, y = b cot θ, prove that (a2/x2) - (b2/y2) = 1.



Answer

From the question it is given that,

x = a cos θ

y = b cot θ

We have to prove that, (a2/x2) - (b2/y2) = 1

First we consider Left Hand Side (LHS),

= (a2/x2) - (b2/y2)

= (a2/a2cos2 θ) - (b2/b2 cot2 θ)

= (1/cos2 θ) - (1/cot2 θ)

= sec2 θ - tan2 θ

We know that, 1 + tan2 θ = sec2 θ

= 1

Then, Right Hand Side = 1

Therefore, LHS = RHS

Hence it is proved that, (a2/x2) - (b2/y2) = 1.






11. If sec θ + tan θ = m, sec θ - tan θ = n, prove that mn = 1.



Answer

From the question it is given that,

sec θ + tan θ = m

sec θ - tan θ = n

We have to prove that, mn = 1

First we consider Left Hand Side (LHS),

= mn

= (sec θ + tan θ)( sec θ - tan θ)

We know that, a2 - b2 = (a + b) (a - b)

= sec2 θ - tan2 θ

Also we know that, 1 + tan2 θ = sec2 θ

= 1

Then, Right Hand Side = 1

Therefore, LHS = RHS

Hence it is proved that, mn = 1.






12. If x = a sec θ + b tan θ and y = a tan θ + b sec θ, prove that x2- y2= a2 - b2



Answer

From the question it is given that,

x = a sec θ + b tan θ

y = a tan θ + b sec θ

We have to prove that, x2 - y2 = a2 - b2

First we consider Left Hand Side (LHS),

= x2 - y2

= (a sec θ + b tan θ)2 - (a tan θ + b sec θ)2

We know that, (a + b)2 = a2 + 2ab + b2

= a2 sec2 θ + b2 tan2 θ + 2 ab sec θ tan θ - (a2 tan2 θ + b2 sec2 θ + 2ab sec θ tan θ)

Then,

= sec2 θ (a2 - b2) + tan2 θ (b2 - a2)

= (a2 - b2)[sec2 θ - tan2 θ]

Also we know that, sec2 θ - tan2 θ = 1

= a2 - b2

Then, Right Hand Side = a2 - b2

Therefore, LHS = RHS
Hence it is proved that, x2 - y2 = a2 - b2.






13. If tan A + sin A = m and tan A - sin A = n, prove that (m2- n2)2= 16mn



Answer

From the question it is given that,

tan A + sin A = m

tan A - sin A = n

We have to prove that, (m2 - n2)2 = 16mn

First we consider Left Hand Side (LHS),

= (m2 - n2)2

= [(tan A + sin A)2 - (tan A - sin A)2]2

=[{(tan A + sin A) - (tan A - sin A)}{(tan A + sin A) + (tan A - sin A)}]2

By simplification we get,

= [(2 sin A)(2 tan A)]2

= [4 sin A tan A]2

= 16sin2 A tan2 A

Then, Right Hand Side = 16mn

= 16(tan2 A - sin2 A)

= 16((sin2 A/cos2 A) - sin2 A)

= 16 sin2 A ((1 - cos2 A)/cos2 A)

= 16 sin2 A (sin2 A/cos2 A)

= 16 sin2 A tan2 A

Therefore, LHS = RHS

Hence it is proved that, (m2 - n2)2 = 16mn.




14.
If sin A + cos A = √2, prove that sin A cos A = ½



Answer

From the question it is given that, sin A + cos A = √2

We have to prove that, sin A cos A = ½

We know that, (sin A + cos A)2 = sin2 A + cos2 A + 2 sin A cos A

So, 2 = 1 + 2 sin A cos A

2 sin A cos A = 1

sin A cos A = ½





15.
If a sin2θ + b cos2θ = c and p sin2 θ + q cos2 θ = r, prove that (b - c)(r - p) = (c - a)(q - r).



Answer

From the question it is given that,

a sin2 θ + b cos2 θ = c

p sin2 θ + q cos2 θ = r

We have to prove that, (b - c)(r - p) = (c - a)(q - r)

Consider, LHS = (b - c)(r - p)

= (b - a sin2 θ + b cos2 θ)( p sin2 θ + q cos2 θ - p)

= [b(1 - cos2 θ) - a sin2 θ] [p(sin2 θ - 1) + q cos2 θ]

= [(b - a) sin2 θ][(q - p) cos2 θ]

= (b - a)(q - p)sin2 θ cos2 θ

Now consider, RHS = (c - a) (q - r)

= (a sin2 θ + b cos2 θ - a) (q - p sin2 θ - q cos2 θ)

= [(b - a) cos2 θ][(q - p) sin2 θ]

= (b - a)(q - p) sin2 θ cos2 θ

Therefore, LHS = RHS
Hence it is proved that, (b - c)(r - p) = (c - a)(q - r).






Exercise 21.2





1. If m = a sec A + b tan A and n = a tan A + b sec A, prove that m2 - n2 = a2 - b2



Answer :










2. If x = r sin A cos B, y = r sin A sin B and z = r cos A, prove that x2 + y2 + z2 = r2



Answer










3. If sin A + cos A = m and sec A + cosec A = n, prove that n(m2 - 1) = 2m.



Answer










4. If x = a cos
θ, y = b cot θ, prove that a2/x2 - b2/y2 = 1.



Answer










5. If sec θ + tan θ, sec θ - tan θ = n, prove that mn = 1



Answer










6. If x = a sec
θ + b tan θ and y = a tan θ + b sec θ, prove that x2 - y2 = a2 - b2



Answer










7. If tan A + sin A = m and tan A - sin A, prove that (m2 - n2)2 = 16 mn



Answer










8. If sin A + cos A =
√2, prove that sin A cos A = ½



Answer










9. If a sin2
θ + b cos2 θ = c and p sin2 θ + q cos2 θ = r, prove that (b - c)(r - p) = (c - a)(q - r)



Answer










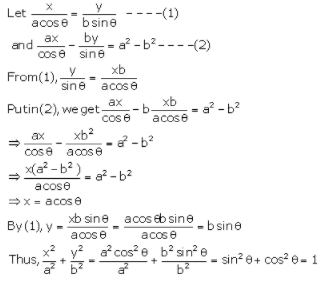
10. If x/(a cos
θ) = y/(b sin θ) and ax/(cos θ) - by/(sin θ) = a2 - b2, prove that x2/a2 + y2/b2 = 1
Answer








Exercise 21.3
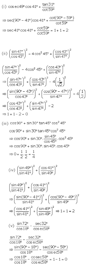
1. Without using trigonometric tables, evaluate:
(i) cosec 40° cos 41° +( tan 31°/cot 59°)
(ii) (sin 47°)/(cos 43°) - 4 cos2 45° + (cos 43°)/(sin 47°)2
(iii) cos 90° + sin 30° tan 45° cos2 45°
(iv) {(sin 49°)/(sin 41°)}2 + {(cos 41°)/(sin 49°)}2
(v) (sin 72°)/(cos 18°) - (sec 32°)/(cosec 58°)
Answer





2. Without using trigonometric identities, show that:
(i) sin 42° sec 48° + cos 42° cosec 48° = 2
(ii) tan 10° tan 20° tan 30° tan 70° tan 80° = 1/√3
(iii) sin (50° + θ) - cos (40° - θ) = 0
(iv) cos2 25° + cos2 65° = 1
(v) sec 70° sin 20° - cos 20° cosec 70° = 0
Answer







3. Prove that sin A/(sin 90° - A) + cos A/(cos 90° - A) = {sec (90° - A)cosec (90° - A)}
Answer







4. For ΔABC, prove that:
(i) tan (B + C)/2 = cot A/2
(ii) sin (A + B)/2 = cos C/2
Answer







5. Prove that sin (90° - A). cos (90° - A) = tan A/(1 + tan2 A)
Answer :







6. Find the value of x, if cos x = cos 60° cos 30° - sin 60° sin 30°
Answer :







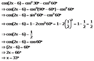
7. Find x, if cos (2x - 6) = cos2 30° cos2 60°
Answer







8. Given cos 38° sec(90° - 2A)= 1, find the value of
∠
A.
Answer







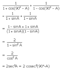
9. Prove that {1/(1 + cos (90° - A)} + {1/(1 - cos (90° - A)} = 2 cosec2 (90° - A)
Answer







10. Find the value of θ (0° < θ < 90°) if :
(i) cos 63° sec (90° - θ) = 1
(ii) tan 35° cot (90° - θ) = 1
Answer