ICSE-X-Mathematics

10: Remainder and Factor Theorems

with Solutions -
 


Chapter 10 Remainder and Factor Theorems Class 10 ICSE Mathematics

Exercise 10

1. Find without division, the remainder in each of the following:
(i) 5x2 - 9x + 4 is divided by (x - 2)
(ii) 5x3 - 7x2 + 3 is divided by (x - 1)
(iii) 8x2 - 2x + 1 is divided by (2x + 1)
(iv) x3 + 8x2 + 7x - 11 is divided by (x + 4)
(v) 2x3 - 3x2 + 6x - 4 is divided by (2x - 3)
Answer
(i) 5x2 - 9x + 4 is divided by (x - 2)
From the question it is given that, 5x2 - 9x + 4 is divided by (x - 2)
Let us assume x - 2 = 0, x = 2
Now, substitute the value of x in given expression,
= 5×(2)2 - (9 × 2) + 4
= (5 × 4) - 18 + 4
= 20 - 18 + 4
= 24 - 18
= 6
Therefore, the remainder of the given expression is 6.
(ii) 5x3 - 7x2 + 3 is divided by (x - 1)
From the question it is given that, 5x3 - 7x2 + 3 is divided by (x - 1)
Let us assume x - 1 = 0, x = 1
Now, substitute the value of x in given expression,
= 5 × (1)2 - 7 × (1)2 + 3
= (5 × 1) - (7 × 1) + 3
= 5 - 7 + 3
= 8 - 7
= 1
Therefore, the remainder of the given expression 1.
(iii) 8x2 - 2x + 1 is divided by (2x + 1)
From the question it is given that, 8x2 - 2x + 1 is divided by (2x + 1)
Let us assume 2x + 1 = 0, x = -½
Now, substitute the value of x in given expression,
= 8(-½)2 - 2(-½) + 1
= (8 × 1/4) + 1 + 1
= 2 + 1 + 1
= 4
Therefore, the remainder of the given expression 4.
(iv) x3 + 8x2 + 7x - 11 is divided by (x + 4)
From the question it is given that, x3 + 8x2 + 7x - 11 is divided by (x + 4)
Let us assume x + 4 = 0, x = -4
Now, substitute the value of x in given expression,
= (-4)3 + 8(-4)2 + 7(-4) - 11
= - 64 + 8(-16) - 28 - 11
= -64 + 128 - 28 - 11
= 25
Therefore, the remainder of the given expression 25.
(v) 2x3 - 3x2 + 6x - 4 is divided by (2x - 3)
From the question it is given that, 2x3 - 3x2 + 6x - 4 is divided by (x + 4)
Let us assume 2x - 3 = 0, x = 3/2
Now, substitute the value of x in given expression,
= 2(3/2)3 - 3(3/2)2 + 6(3/2) - 4
= (2 × 27/8) - 3(9/4) + (3 × 3) - 4
= 27/4 - 27/4 + 9 - 4
= 9 - 4
= 5
Therefore, the remainder of the given expression 5.





2.
Prove by factor theorem that,
(i) (x - 2) is a factor of 2x3 - 7x - 2
(ii) (2x + 1) is a factor of 4x3 + 12x2 + 7x + 1
(iii) (3x - 2) is a factor of 18x3 - 3x2 + 6x - 8
(iv) (2x - 1) is a factor of 6x3 - x2 - 5x + 2
(v) (x - 3) is a factor of 5x2 - 21x + 18
Answer
(i) (x - 2) is a factor of 2x3 - 7x - 2
From the question it is given that, f(x) = 2x3 - 7x - 2
Let us assume, x - 2 = 0, x = 2
Then, substitute the value of x,
f(2) = 2(2)3 - 7(2) - 2
= 2(8) - 14 - 2
= 16 - 14 - 2
= 16 - 16
= 0
Now, it is clear that (x - 2) is a factor of 2x3 - 7x - 2.
(ii) (2x + 1) is a factor of 4x3 + 12x2 + 7x + 1
From the question it is given that, f(x) = 4x3 + 12x2 + 7x + 1
Let us assume, 2x + 1 = 0, x = -½
Then, substitute the value of x,
f(-½) = 4 (-½)3 + 12 (-½)2 + 7 (-½) + 1
= 4(-1/8) + 12(1/4) - 7/2 + 1
= - ½ + 3 - 7/2 + 1
= - ½ - 7/2 + 4
= -8/2 + 4
= - 4 + 4
= 0
Now, it is clear that (2x + 1) is a factor of 4x3 + 12x2 + 7x + 1.
(iii) (3x - 2) is a factor of 18x3 - 3x2 + 6x - 8
From the question it is given that, f(x) = 18x3 - 3x2 + 6x - 8
Let us assume, 3x - 2 = 0, x = 2/3
Then, substitute the value of x,
f(2/3) = 18 (2/3)3 - 3 (2/3)2 + 6 (2/3) - 8
= 18(8/27) - 3(4/9) + (2 × 2) - 8
= 2(8/3) - (4/3) + 4 - 8
= 16/3 - 4/3 + 4 - 8
= 12/3 + 4 - 8
= 4 + 4 - 8
= 8 - 8
= 0
Now, it is clear that (3x - 2) is a factor of 18x3 - 3x2 + 6x - 8.
(iv) (2x - 1) is a factor of 6x3 - x2 - 5x + 2
From the question it is given that, f(x) = 6x3 - x2 - 5x + 2
Let us assume, 2x - 2 = 0, x = ½
Then, substitute the value of x,
f(½) = 6 (½)3 - (½)2 - 5 (½) + 2
= 6(1/8) - (1/4) - (5/2) + 2
= 3(1/4) - (1/4) - 5/2 + 2
= 3/4 - 1/4 - 5/2 + 2
= 2/4 - 5/2 + 2
= 1/2 - 5/2 + 2
= -4/2 + 2
= -2 + 2
= 0
Now, it is clear that (2x - 1) is a factor of 6x3 - x2 - 5x + 2.
(v) (x - 3) is a factor of 5x2 - 21x + 18
From the question it is given that, f(x) = 5x2 - 21x + 18
Let us assume, x - 3 = 0, x = 3
Then, substitute the value of x,
f(3) = 5(3)2 - 21(3) + 18
= 5(9) - 63 + 18
= 45 - 63 + 18
= 63 - 63
= 0
Now, it is clear that (x - 3) is a factor of 5x2 - 21x + 18.





3.
Find the values of a and b in the polynomial f(x) = 2x3+ ax2+ bx + 10, if it is exactly divisible by (x + 2) and (2x - 1)



Answer

From the question it is given that,

f(x) = 2x3 + ax2 + bx + 10

let us assume x + 2 = 0

x = -2

⇒ 2x - 1 = 0

⇒ x = ½

Now, substitute the value of x,

x = -2

⇒ f(-2) = 2(-2)3 + a(-2)2 + b(-2) + 10 = 0

⇒ 2(-8) + a(4) - 2b + 10 = 0

⇒ -16 + 4a - 2b + 10 = 0

⇒ -6 + 4a - 2b = 0

Divide both side by 2 we get,

-6/2 + 4a/2 - 2b/2 = 0

⇒ -3 + 2a - b = 0

⇒ 2a = b + 3

⇒ a = b/2 + 3/2 ...[equation (i)]

Then,

f(½) = 2(½)3 + a(½)2 + b(½) + 10 = 0

⇒ 2(1/8) + a(1/4) + b/2 + 10 = 0

⇒ ¼ + a/4 + b/2 + 10 = 0

Multiply by 4 for each terms we get,

1 + a + 2b + 40 = 0

⇒ 41 + a + 2b = 0

⇒ a = -2b - 41 ...[equation (ii)]

By combining both equation (i) and equation (ii) we get,

b/2 + 3/2 = -2b - 41

⇒ (b + 3)/2 = -2b - 41

⇒ b + 3 = - 4b - 82

By transposing we get,

4b + b = -82 - 3

⇒ 5b = -85

⇒ b = -85/5

⇒ b = -17

So, a = - 2b - 41

= -2(-17) - 41

= 34 - 41

= -7

Therefore, the value of a is -7 and b is -17.





4.
Using remainder theorem, find the value of m if the polynomial f(x) = x3+ 5x2- mx + 6 leaves a remainder 2m when divided by (x - 1).



Answer

From the question it is given that,

f(x) = x3 + 5x2 - mx + 6

Remainder = 2m

Let us assume that x - 1 = 0, x = 1

Now, substitute the value of x in f(x) we get,

f(1) = 13 + 5(1)2 - m(1) + 6 = 2m

⇒ 1 + 5 - m + 6 = 2m

⇒ 6 - m + 6 = 2m

By transposing we get,

12 = 2m + m

⇒ 12 = 3m

⇒ m = 12/3

⇒ m = 4

Therefore, the value of m is 4.





5.
Find the value of m when x3+ 3x2- mx + 4 is exactly divisible by (x - 2)



Answer

From the question it is given that,

f(x) = x3 + 3x2 - mx + 4

Let us assume that x - 2 = 0, x = 2

Now, substitute the value of x in f(x) we get,

f(2) = 23 + 3(2)2 - m(2) + 4 = 0

⇒ 8 + 3(4) - 2m + 4 = 0

⇒ 8 + 12 - 2m + 4 = 0

⇒ 24 - 2m = 0

By transposing we get,

24 = 2m

⇒ m = 24/2

⇒ m = 12

Therefore, the value of m is 12.





6.
Find the values of p and q in the polynomial f(x) = x3- px2+ 14x - q, if it is exactly divisible by (x - 1) and (x - 2).



Answer

From the question it is given that, f(x) = x3 - px2 + 14x - q

Let us assume that, x - 1= 0, x = 1

x - 2 = 0, x = 2

Now, substitute the value of x in f(x) we get,

f(1) = 13 - p(1)2 + 14(1) - q = 0

⇒1 - p + 14 - q = 0

⇒ 15 - p - q = 0

⇒ p = 15 - q ...[equation (i)]

Then, f(2) = 23 - p(2)2 + 14(2) - q = 0

8 - 4p + 28 - q = 0

⇒ 36 - 4p - q = 0

⇒ q = 36 - 4p ...[equation (ii)]

So, substitute the value of q in equation (i) we get,

p = 15 - (36 - 4p)

⇒ p = 15 - 36 + 4p

By transposing we get,

36 - 15 = 4p - p

⇒ 21 = 3p

⇒ p = 21/3

⇒ p = 7

Consider the equation (ii) to find the value of q,

q = 36 - 4(7)

⇒ q = 36 - 28

⇒ q = 8

Therefore, the value of p is 7 and q is 8.





7.
Find the values of a and b when the polynomial f(x) = ax3+ 3x2+ bx - 3 is exactly divisible by (2x + 3) and leaves a remainder - 3 when divided by (x + 2).



Answer

From the question it is given that, f(x) = ax3 + 3x2 + bx - 3

Remainder = -3

Let us assume that, 2x + 3 = 0, x = -3/2

x + 2 = 0, x = -2

Now, substitute the value of x in f(x) we get,

f(-3/2) = a(-3/2)3 + 3(-3/2)2 + b(-3/2) - 3= 0

⇒ a(-27/8) + 3(9/4) - b(3/2) - 3 = 0

⇒ a(-27/8) + (27/4) - 3 - b(3/2) = 0

⇒ a(-27/8) + (27- 12)/4 - b(3/2) = 0

⇒ a(-27/8) + 15/4 - b(3/2) = 0

⇒ -27a + 30 - 12b = 0

⇒ 27a = - 12b + 30

Then,

f(- 2) = a(-2)3 + 3(-2)2 + b(-2) - 3= -3

⇒ a(-8) + 3(4) - 2b - 3 = -3

⇒ -8a + 12 - 2b - 3 + 3= 0

⇒ -4a + 6 - b = 0

⇒ b = 6 - 4a ...[equation (ii)]

By combining both equation (i) and equation (ii) we get,

27a = - 12(6 - 4a) + 30

⇒ 27a = - 72 + 48a + 30

⇒ 27a - 48a = - 42

⇒ -21a = -42

⇒ a = -42/-21

⇒ a = 2

Then,

b = 6 - 4a

⇒ b = 6 - 4(2)

⇒ b = 6 - 8

⇒ b = -2
Therefore, the value of a is 2 and b is -2.
dlt21169110310849800189">


8. Find the values of m and n when the polynomial f(x) = x3- 2x2+ mx + n has a factor (x + 2) and leaves a remainder 9 when divided by (x + 1).



Answer

From the question it is given that,

f(x) = x3 - 2x2 + mx + n

Remainder = 9

Let us assume that, x + 2 = 0, x = - 2

x + 1 = 0, x = -1

Now, substitute the value of x in f(x) we get,

f(-2) = (-2)3 - 2(-2)2 + m(-2) + n = 0

⇒ -8 - 8 - 2m + n = 0

⇒ -16 - 2m + n = 0

⇒ n = 2m + 16 ...[equation (i)]

Then, f(-1) = (-1)3 - 2(-1)2 + m(-1) + n = 9

⇒ -1 - 2 - m + n = 9

⇒ -3 - m + n = 9

⇒ m = - 3 - 9 + n

⇒ m = n - 12 ...[equation (ii)]

Now, combining both equation (i) and equation (ii) we get,

n = 2(n - 12) + 16

⇒ n = 2n - 24 + 16

⇒ n = 2n - 8

⇒ 2n - n = 8

⇒ n = 8

Consider the equation (ii) to find out the value of m,

m = n - 12

⇒ m = 8 - 12

⇒ m = -4

Therefore, the value of n is 8 and m is - 4.




9.
Find the values of a and b when the polynomials f(x) = 2x2- 5x + a and g(x) = 2x2+ 5x + b both have a factor (2x + 1)



Answer

From the question it is given that,

f(x) = 2x2 - 5x + a

g(x) = 2x2 + 5x + b

Let us assume 2x + 1 = 0, x = -½

Now, substitute the value of x in f(x) we get,

f(-½) = 2(-½)2 - 5(-½) + a = 0

⇒ 2(1/4) + 5/2 + a = 0

⇒ ½ + 5/2 + a = 0

⇒ 6/2 + a = 0

⇒ 3 + a = 0

⇒ a = -3

Then,

g(-½) = 2(-½)2 + 5(-½) + b = 0

⇒ 2(1/4) - 5/2 + b = 0

⇒ ½ - 5/2 + b = 0

⇒ - 4/2 + b = 0

⇒ -2 + b = 0

⇒ b = 2

Therefore, the value of a is - 3 and b is 2.





10.
Find the values of a and b when the factors of the polynomial f(x) = ax3+ bx2+ x - a are (x + 3) and (2x - 1). Factorize the polynomial completely.



Answer

From the question it is given that, f(x) = ax3 + bx2 + x - a

Let us assume, x + 3 = 0, x = -3

2x - 1 = 0, x = ½

Now, substitute the value of x in f(x) we get,

f(-3) = a(-3)3 + b(-3)2 + (-3) - a = 0

⇒ -27a + 9b - 3 - a = 0

⇒ -28a + 9b - 3 = 0

By transposing we get,

-28a = -9b + 3

⇒ a = -9b/-28 + 3/-28

⇒ a = 9b/28 - 3/28 ...[equation (i)]

Then, f(½) = a(½)3 + b(½)2 + (½) - a = 0

⇒ a(1/8) + b(1/4) + ½ - a= 0

⇒ (a - 8a)/8 + b(1/4) + ½ = 0

⇒ -7a/8 + b(¼) + ½ = 0

⇒ b(¼) = -½ + 7a/8

⇒ b = -4/2 + 28a/8

⇒ b = -2 + 7a/2 ...[equation (ii)]

Now, combining equation (i) and equation (ii) we get,

a = 9/28 × (7a/2 - 2) - 3/28

By simplification we get,

56a = 63a - 42

⇒ a = 6

Consider the equation (ii) to find out the value of b,

b = 7a/2 - 2

⇒ b = (7 × 6)/2 - 2

⇒ b = 42/2 - 2

⇒ b = 21 - 2

⇒ b = 19

Substitute the value of a and b in f(x) we get,

f(x) = 6x3 + 19x2 + x - 6
Therefore, equation becomes (x + 3) (2x - 1) (3x + 2) = 0





11. What number should be subtracted from x2+ x + 1 so that the resulting polynomial is exactly divisible by (x - 2)?



Answer

From the question it is given that, f(x) = x2 + x + 1

Then, x - 2 = 0, x = 2

Let us assume the number should be subtracted from x2 + x + 1 be b,

f(2) = 22 + 2 + 1 - b = 0

⇒ 4 + 2 + 1 - b = 0

⇒ 7 - b = 0

⇒ b = 7

Therefore, the number is 7.





12.
What number should be added to 2x3- 3x2+ 7x - 8 so that the resulting polynomial is exactly divisible by (x - 1)?



Answer

From the question it is given that, f(x) = 2x3 - 3x2 + 7x - 8

Then, x - 1 = 0, x = 1

Let us assume the number should be added to 2x3 - 3x2 + 7x - 8 be b,

f(1) = 2(1)3 - 3(1)2 + 7(1) - 8 + b = 0

⇒ 2 - 3 + 7 - 8 + b = 0

⇒ 9 - 11 + b = 0

⇒ -2 + b = 0

⇒ b = 2

Therefore, the number is 2.






13. What number should be subtracted from polynomial f(x) 2x3- 5x2+ 8x - 17 so that the resulting polynomial is exactly divisible by (2x - 5)?



Answer

From the question it is given that, f(x) = 2x3 - 5x2 + 8x - 17

Then, 2x - 5 = 0, x = 5/2

Let us assume the number should be subtracted from 2x3 - 5x2 + 8x - 17 be b,

f(5/2) = 2(5/2)3 - 5(5/2)2 + 8(5/2) - 17 - b = 0

⇒ 2(125/8) - 5(25/4) + 40/2 - 17 - b = 0

⇒ 125/4 - 125/4 + 20 - 17 - b = 0

⇒ 3 - b = 0

⇒ b = 3
Therefore, the number is 3.





14. What number should be added to polynomial f(x) 12x3+ 16x2- 5x - 8 so that the resulting polynomial is exactly divisible by (2x - 1)?



Answer

From the question it is given that, f(x) = 12x3 + 16x2 - 5x - 8

Then, 2x - 1 = 0, x = ½

Let us assume the number should be added to 2x3 - 3x2 + 7x - 8 be b,

f(½) = 12(½)3 + 16(½)2 - 5(½) - 8 + b = 0

⇒ 12(1/8) + 16(1/4) - 5/2 - 8 + b = 0

⇒ 3/2 + 4 - 5/2 - 8 + b = 0

⇒ -4 - 2/2 + b = 0

⇒ -4 - 1 + b = 0

⇒ -5 + b = 0

⇒ b = 5

Therefore, the number is 5.





15. Use the remainder theorem to find the factors of (a - b)3+ (b - c)3+ (c - a)3



Answer

From the question it is given that, f(x) = (a - b)3 + (b - c)3 + (c - a)3

We know the formula, (a - b)3 = a3 - 3a2b + 3ab2 - b3 ...[equation (i)]

Let us assume that a - b = 0, a = b

Now substitute the above value in f(x), we get,

f(x) = 0 + (a - c)3 + (c - a)3 = 0

⇒ (a - c)3 - (a - c)3 = 0

⇒ 0 = 0

Therefore, (a - b) is a factor. ...[equation (ii)]

Again, f(x) = 0 + (b3 - 3b2c + 3bc2 - c3) + (c3 - 3c2a + 3ca2 - a2)

= - 3b2c + 3bc2 - 3ca2 + 3ca2

= 3(-b2c + bc2 - ca2 + ca2)

So, now we put b - c = 0, b = c

Substitute the above value in f(x), we get,

Then, f(b = c), 3((-c2 × c) + (c × c2) - (c × c2) + (c × c2)) = 0

Factors are 3(a - b) (b - c) ...[equation (iii)]
similarly if we put c = a,

(c - a) is a factor ...[equation (iv)]

By combining equation (ii), equation (iii) and (iv), we get,

3(a - b)(b - c)(c - a).






16. Prove that (p - q) is a factor of (q - r)3 + (r - p)3



Answer

If p - q is assumed to be factor, then p = q. Substituting this in problem polynomial, we get:





17. Prove that (x - y) is a factor of yz(y2 - z2) + zx(z2 - x2) + xy(x2 - y2)



Answer
If x - y is assumed to be factor, then x = y. Substituting this in problem polynomial, we get:





18. Prove that (x - 3) is a factor of x3 - x2 - 9x + 9 and hence factorize it completely.



Answer

If (x - 3) is assumed to be factor, then x = 3. Substituting this in problem polynomial, we get:

f(3) = 3 × 3 × 3 - 3 × 3 - 9 × 3 + 9 = 0

Hence its proved that x - 3 is a factor of the polynomial.






19. Prove that (x + 1) is a factor of x3 - 6x2 + 5x + 12 and hence factorize it completely.



Answer

If x + 1 is assumed to be factor, then x = - 1. Substituting this in problem polynomial, we get:







20. Prove that (5x - 4) is a factor of the polynomial f(x) = 5x3 - 4x2 - 5x + 4. Hence factorize it completely.



Answer

If 5x - 4 is assumed to be factor, then x = 4/5, Substituting this in problem polynomial, we get:








21. A polynomial f(x) when divided by (x - 1) leaves a remainder 3 and when divided by (x - 2) leaves a remainder of 1. Show that when its divided by (x - 1)(x - 2), the remainder is (- 2x + 5).



Answer

Given f(x) = (x - 1)(x - 2) + (- 2x + 5)

= (x2 - 3x + 2) + (- 2x + 5)





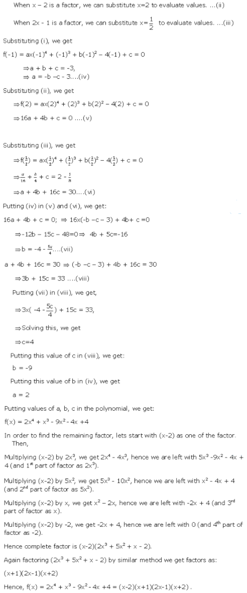
22. The polynomial f(x) = ax4 + x3 + bx2 - 4x + c has (x + 1), (x - 2) and (2x - 1) as its factors. Find the values of a, b, c and remaining factor.



Answer
When x + 1 is a factor, we can substitute x = - 1 to evaluate values ...(i)