ICSE-X-Mathematics

09: Ratio and Proportion

with Solutions -
 


Chapter 9 Ratio and Proportion Class 10 ICSE Mathematics

Exercise 9
Find the ratio of the following in the simplest form:
(i) 5.60 and 2.40
(ii) 432 and 120
(iii) ₹
5.40 and 180 paise
(iv) a4 + b4 and a3 - b3
(v) x2 + 4x + 4 and x2 - x -6
Answer
(i) 5.60 and 2.40
Given numbers can be written as, 5.60/2.40
Now, shifting the decimal points we get,
= 560/240
= 56/24
= 28/12 ...[because diving both by 2]
= 14/6 ...[because diving both by 2]
= 7/3 ...[because diving both by 2]
Therefore, ratio of the given number is 7: 3.
(ii) 432 and 120
Given numbers can be written as, 432/120
= 432/120
= 216/60 ...[because diving both by 2]
= 108/30 ...[because diving both by 2]
= 54/15 ...[because diving both by 2]
= 18/5 ...[because diving both by 3]
Therefore, ratio of the given number is 18: 5.
(iii) ₹ 5.40 and 180 paise
Given numbers can be written as, 5.40/180
We know that, ₹ 1 = 100 paise
So, ₹ 5.40 = 540 paise
= 540/180
= 54/18
= 3/1 ...[because diving both by 3]
Therefore, ratio of the given number is 3: 1.
(iv) a4 + b4 and a3 - b3
Given question can be written as,
= (a4 + b4)/(a3 - b3)
We know that, a4 + b4 = (a - b) (a3 + ab2 + a2b + b3)
Then, a3 - b3 = (a - b) (a2 + ab + b2)
So, [(a - b) (a3 + ab2 + a2b + b3)]/[(a - b) (a2 + ab + b2)]
= (a3 + ab2 + a2b + b3)/(a2 + ab + b2)
Therefore, ratio of the given terms is (a3 + ab2 + a2b + b3): (a2 + ab + b2).
(v) x2 + 4x + 4 and x2 - x - 6
Given question can be written as,
= (x2 + 4x + 4)/(x2 - x - 6)
= (x + 2)2/[(x - 3) (x + 2)]
= (x + 2)/(x - 3)
Therefore, ratio of the given terms is (x + 2): (x - 3)





2.
If a: b = 4: 7, find the following
(i) (5a + 2b)/(5a - 2b)
(ii) (6a - b)/(a + 3b)
(iii) (5a - 4b)/(2a - 3b)
Answer

From the question it is given that,
a: b = 4: 7
⇒ a/b = 4/7
(i) (5a + 2b)/(5a - 2b)
Now, divide both numerator and denominator by ‘b’ we get,
= [(5a/b) + (2b/b)]/[(5a/b) - (2b/b)]
= [(5a/b) + 2]/[(5a/b) - 2]
Now, substitute the value of a and b we get,
= [(5(4/7)) + 2]/[(5(4/7)) - 2]
= ((20/7) + 2)/((20/7) - 2)
= 34/6
= 17/3
(ii) (6a - b)/(a + 3b)
From the question it is given that,
a: b = 4: 7
⇒ a/b = 4/7
(6a - b)/(a + 3b)
Now, divide both numerator and denominator by ‘b’ we get,
= [(6a/b) - (b/b)]/[(a/b) + (3b/b)]
= [(6a/b) - 1]/[(a/b) + 3]
Now, substitute the value of a and b we get,
= [(6(4/7)) - 1]/[((4/7)) + 3]
= ((24/7) - 1)/((4/7) + 3)
= 17/25
(iii) (5a - 4b)/(2a - 3b)
From the question it is given that,
a: b = 4: 7
⇒ a/b = 4/7
(5a - 4b)/(2a - 3b)
Now, divide both numerator and denominator by ‘b’ we get,
= [(5a/b) - (4b/b)]/[(2a/b) - (3b/b)]
= [(5a/b) - 4]/[(2a/b) - 3]
Now, substitute the value of a and b we get,
= [(5(4/7)) - 4]/[(2(4/7)) - 3]
= ((20/7) - 4)/((8/7) - 3)
= -8/-13
= 8/13





3.
If m: n = 3: 8, find the value of (3m + 2n): (5m + n)
Answer
From the question it is given that,
m: n = 3: 8
m/n = 3/8
(3m + 2n)/(5m + n)
Now, divide both numerator and denominator by ‘n’ we get,
= [(3m/n) + (2n/n)]/[(5m/n) + (n/n)]
= [(3m/n) + 2]/[(5m/n) + 1]
Now, substitute the value of m and n we get,
= [(3(3/8)) + 2]/[(5(3/8)) + 1]
= ((9/8) + 2)/((15/8) + 1)
= 25/23
Therefore, the value of (3m + 2n): (5m + n) = 25: 23





4.
A man’s monthly income is ₹ 5,000. He saves every month a minimum of ₹ 800. Find the ratio of his:
(i) Annual expenses to annual income.
(ii) Monthly savings to monthly expenses.
Answer
From the question it is given that,
Monthly income of a man = ₹ 5,000
Every month man saves ₹ 800
(i) Annual expenses to annual income,
Annual income = monthly income × 12
= ₹ 5,000 × 12
= ₹ 60,000
Then, monthly expenses = ₹ 5,000 - 800
= ₹ 4,200
Annual expenses = monthly expenses × 12
= ₹ 4,200 × 12
= ₹ 50,400
Annual expenses/Annual income = 50,400/60,000
= 504/600
= 21/25
Therefore, Annual expenses: annual income = 21: 25
(ii) Monthly savings to monthly expenses,
Monthly expenses = ₹ 5,000 - ₹ 800 = ₹ 4,200
Then, monthly savings/monthly expenses = 800/4,200
= 8/42
= 4/21
Therefore, monthly savings: monthly expenses = 4: 21.





5. If a + b : a - b = 11: 8; find the value of a: b



Answer

From the question it is given that, a + b: a - b = 11: 8.

(a + b)/(a - b) = 11/8

By cross multiplication we get,

8(a + b) = 11(a - b)

⇒ 8a + 8b = 11a - 11b

Transposing we get,

11b + 8b = 11a - 8a

⇒ 19b = 3a

⇒ 19/3 = a/b

⇒ a: b = 19: 3





6.
If p: q = 2: 5, q: r = 4: 3, then find p: r



Answer

From the question it is given that, p: q = 2: 5, q: r = 4: 3

So, p/q = 2/5

⇒ q/r = 4/3

⇒ (p/q) × (q/r) = (2/5) × (4/3)

By simplification we get,

p/r = 8/15

Therefore, the value of p: r = 8: 15





7.
If a: e = 5: 12, e: i = 8: 3 and i: u = 9: 16, then find a: u



Answer

From the question it is given that, a: e = 5: 12, e: i = 8: 3 and i: u = 9: 16

So, a/e = 5/12

e/i = 8/3

i/u = 9/16

(a/e) × (e/i) × (i/u) = (5/12) × (8/3) × (9/16)

By simplification we get,

a/u = 10/16

⇒ a/u = 5/8

Therefore, the value of a: u = 5: 8





8.
Find the compounded ratio of the following:


(i) 15: 16 and 8: 5


(ii) (a2 - b2): (a2 + b2) and (a4 - b4): (a + b)4


(iii) 3: 5, 7: 9 and 15: 28


(iv) √8: 4, 3: √5 and √20: √27


(v) (m - n): (m + n), (m + n)2: (m2 + n2) and (m4 - n4): (m2 - n2)2



Answer

(i) 15: 16 and 8: 5

Given ratio can be written as,

15/16 and 8/5

= 15/16 × 8/5

= (15 × 8)/(16 × 5)

= (3 × 1)/(2 × 1)

= 3/2

Therefore, the compounded ratio of 15: 16 and 8: 5 is 3: 2.

(ii) (a2 - b2): (a2 + b2) and (a4 - b4): (a + b)4

Given ratio can be written as,

(a2 - b2)/(a2 + b2) and (a4 - b4)/(a + b)4

= (a2 - b2)/(a2 + b2) × (a4 - b4)/(a + b)4

We know that, (a2 - b2) = (a + b) (a - b)

= ((a + b) (a - b))/(a2 + b2) × ((a2 + b2) (a2 - b2))

= ((a - b) (a + b) (a - b) (a + b))/((a + b)2 (a + b)2)

= (a - b)2/(a + b)2

Therefore, the compounded ratio is (a - b)2: (a + b)2.

(iii) 3: 5, 7: 9 and 15: 28

Given ratio can be written as,

3/5, 7/9 and 15/28

= 3/5 × 7/9 × 15/28

= (3 × 7 × 15)/(5 × 9 × 28)

= (1 × 1 × 3)/ (1 × 3 × 4)

= (1 × 1 × 1)/(1 × 1 × 4)

= ¼

Therefore, the compounded ratio is 1: 4.

(iv) √8: 4, 3: √5 and √20: √27

Given ratio can be written as,

√8/4, 3/√5 and √20/√27

= √8/4 × 3/√5 × √20/√27

= 2√2/4 × 3/√5 × 2√5/3√3

= √2/√3

Therefore, the compounded ratio is √2: √3.

(v) (m - n): (m + n), (m + n)2: (m2 + n2) and (m4 - n4): (m2 - n2)2

Given ratio can be written as,

(m - n)/(m + n), (m + n)2/(m2 + n2) and (m4 - n4)/(m2 - n2)2

= (m - n)/(m + n) × (m + n)2/(m2 + n2) × (m4 - n4)/(m2 - n2)2

= (m - n)/(1) × (m + n)/(m2 + n2) × ((m2 + n2) (m2 - n2))/(m2 - n2)2

By simplification we get,

= 1/1
Therefore, the compounded ratio is 1 : 1.





9. Find the duplicate ratio of the following:


(i) √10 : √14


(ii) 3√2a : 2√3a


(iii) 2/3: 4/9


(iv) (a + b): (a2 - b2)



Answer

(i) √10 : √14

Given, √10 : √14

= (√10)2: (√14)2

= 10: 14

= 10/14

= 5/7

Therefore, duplicate ratio is 5: 7.

(ii) 3√2a : 2√3a

Given, 3√2a: 2√3a

= (3√2a)2: (2√3a)2

= 18a: 12a

= 18a/12a

= 3/2

Therefore, duplicate ratio is 3: 2.

(iii) 2/3: 4/9

Given, 2/3: 4/9

= (2/3)2: (4/9)2

= 4/9: 16/81

= (4/9) × (81/16)

= (4 × 81)/(9 × 16)

= (1 × 9)/(1 × 4)

= 9/4

Therefore, duplicate ratio = 9: 4

(iv) (a + b): (a2 - b2)

Given, (a + b): (a2 - b2)

= (a + b)2 : (a2 - b2)2

= (a + b)2/((a + b)2(a - b)2)

= 1/(a - b)2

Therefore, duplicate ratio = 1: (a - b)2


10. Find the triplicate ratio of the following:
(i) 3: 5
(ii) 2√5 : 5√2

(iii) √15 : √18

(iv) ∛(ab)2: ∛(a2b)



Answer

(i) 3: 5

Given, 3: 5

= 33 : 53

= 27: 125

Therefore, triplicate ratio is 27: 125

(ii) 2√5 : 5√2

Given, 2√5 : 5√2(ii) 2√5 : 5√2

= (2√5)3: (5√2)3

= (8 × 5√5)/(125 × 2√2)

By simplification,

= 4√5: 25√2

Therefore, triplicate ratio = 4√5: 25√2

(iii) √15 : √18

Given, √15: √18

= (√15)3: (√18)3

= 15√5: 18 × 3√2

= 5√15: 18√2

Therefore, triplicate ratio is 5√15: 18√2

(iv) ∛(ab)2: ∛(a2b)

Given, ∛(ab)2: ∛(a2b)

By simplification we get,

= (∛(ab)2)3: (∛(a2b))3

= ab2 : a2b

= b: a

Therefore, triplicate ratio is b : a





11.
Find the sub - duplicate ratio of the following:


(i) x6: y4


(ii) 63m2: 28n2


(iii) 1/16: 1/36


(iv) 9a2/5: 25a2/3



Answer

(i) x6: y4

Given, x6: y4

= √x6: √y4

= (x6)1/2: (y4)1/2

= x3: y2

Therefore, sub - duplicate ratio is x3:y2

(ii) 63m2: 28n2

Given, 63m2: 28n2

= √(63m2): √(28n2)

= 3√7m: 2√7n

= 3m: 2n

Therefore, sub - duplicate ratio is 3m: 2n

1/16: 1/36

(iii) Given, 1/16: 1/36

= √(1/16): √(1/36)

= ¼: 1/6

= (¼)/(1/6)

= (¼) × (6/1)

= 3/2

Therefore, sub - duplicate ratio is 3: 2

(iv) 9a2/5: 25a2/3

Given, 9a2/5: 25a2/3

= √(9a2/5): √(25a2/3)

= 3a(1/√5): 5a(1/√3)

= 3√3: 5√5
Therefore, sub-duplicate ratio is 3√3: 5√5.





12. Find the sub - triplicate ratio of the following:


(i) 512: 216


(ii) m3n6: m6n3


(iii) 125a3: 343b6


(iv) 64m3/729n3: 216m3/27n3



Answer

(i) 512: 216

Given, 512: 216

= ∛512 : ∛216

= (83)1/3: (63)1/3

= 8: 6

= 8/6

= 4/3

Therefore, sub - triplicate ratio is 4: 3.

(ii) m3n6: m6n3

Given, m3n6: m6n3

= ∛(m3n6) : ∛(m6n3)

= (m3n6)1/3 : (m6n3)1/3

= mn2: m2n

= mn2/m2n

= n/m

Therefore, sub - triplicate ratio is n: m.

(iii) 125a3: 343b6

Given, 125a3: 343b6

= ∛(125a3): ∛(343b6)

= (125a3)1/3: (343b6)1/3

= 5a: 7b2

Therefore, sub - triplicate ratio is 5a: 7b2.

(iv) 64m3/729n3: 216m3/27n3

Given, 64m3/729n3: 216m3/27n3

= ∛(64m3/729n3): ∛(216m3/27n3)

= (64m3/729n3)1/3: (216m3/27n3)1/3

By simplification we get,

= 4m/9n: 6m/3n

= (4m/9n) × (3n/6m)

= 2/9

Therefore, sub - triplicate ratio is 2: 9.





13.
Find the reciprocal ratio of the following:


(i) 17/45: 51/27


(ii) 1/45: 1/54


(iii) a3b2: a2b3


(iv) 81pq2: 54p2q



Answer

(i) 17/45: 51/27

Given ratio, 17/45: 51/27

The reciprocal of the given ratio is 45/17: 51/27

= (45/17) × (51/27)

= (45/1) × (3/27)

= (45/1) × (1/9)

= 5/1

Therefore, reciprocal of the ratio is 5: 1

(ii) 1/45: 1/54

Given ratio, 1/45: 1/54

The reciprocal of the given ratio is 45/1: 54/1

= 45: 54

= 45/54

= 5/6

Therefore, reciprocal of the ratio is 5: 6

(iii) a3b2: a2b3

Given ratio, a3b2: a2b3

The reciprocal of the given ratio is 1/a3b2: 1/a2b3

= (1/a3b2) × (a2b3/1)

= b: a

Therefore, reciprocal of the ratio is b: a

(iv) 81pq2: 54p2q

Given ratio, 81pq2: 54p2q

The reciprocal of the given ratio 1/81pq2: 1/54p2q

= (1/81pq2) × (54p2q/1)

By simplification we get,

= 2p/3q
Therefore, reciprocal of the ratio is 2p: 3q





14. Which of the following ratios is greater?


(i) 3: 5 and 2: 11


(ii) 2: 3 and 13: 19


(iii) 5: 8 and 7: 10


(iv) (5/2): (15/4) and (5/3): (11/6)



Answer

(i) 3: 5 and 2: 11

Given ratio can be written as, 3/5 and 2/11

Then,

3 × 11 > 2 × 5

⇒ 33 > 10

Therefore, 3: 5 > 2: 11

So, 3: 5 is greater.

(ii) 2: 3 and 13: 19

Given ratio can be written as, 2/3 and 13/19

Then,

2 × 19 < 3 × 13

⇒ 38 < 39

Therefore, 2: 3 < 13: 19

So, 13: 19 is greater.

(iii) 5: 8 and 7: 10

Given ratio can be written as, 5/8 and 7/10

Then,

5 × 10 < 8 × 7

⇒ 50 < 56

Therefore, 5: 8 < 7: 10

So, 7: 10 is greater.

(iv) (5/2): (15/4) and (5/3): (11/6)

Given ratio, (5/2): (15/4) and (5/3): (11/6).

(5/2): (15/4) = (5/3) × (4/15) = 2/3

⇒ (5/3): (11/6) = (5/3) × (6/11) = 10/11

Consider, 2/3 : 10/11

2 × 11 < 3 × 10

⇒ 22 < 30

⇒ 2: 3 < 10: 11

⇒ 5/2 : 15/4 < 5/3 : 11/6

Therefore, 5/3: 11/6 is greater.





15. Two numbers are in the ratio 7: 10. If 8 is added to each number, the ratio
becomes 3: 4. Find the numbers.



Answer

From the question it is given that,

Two numbers are in the ratio 7: 10.

Let us assume the two numbers be 7y and 10y.

Then, (7y + 8)/(10y × 8) = ¾

28y + 32 = 30x + 24

⇒ 2y = 8

⇒ y = 8/2

⇒ y = 4

So, 7y = 7 × 4 = 28

⇒ 10y = 10 × 4 = 40

Therefore, the two numbers are 28 and 40.





16. Two positive numbers are in the ratio 3 : 4 and sum of their squares is 1225. Find the numbers.



Answer
Let the two numbers be 3x and 4x, since the ratio between them is 3 : 4.





17. Two numbers are in the ratio 5 : 7 and the difference of their squares is 600. Find the numbers.
Answer
Let the two numbers be 5x and 7x, since the ration between then is 5 : 7.





18. What quantity must be subtracted from each term of the ratio 39: 89 to make it equal to 2 : 5 ?
Answer
Let x be subtracted from each term such that:





19. What quantity must be added to each term of the ratio 19: 51 to make it equal to 3 : 7 ?
Answer
Let x be added from each term such that



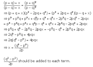
20. What quantity must be added to each term of the ratio (p + q) : (p - q) to make it equal to (p + q)2 : (p - q)2?
Answer
Let x be added from each term such that





21. If (3x - 4) : (2x + 5) is the duplicate ratio of 3 : 4, find x.
Answer
(3x - 4)/(2x + 5) = (3)2/(4)2







22. If (5x + 3) : (3x + 1) is the triplicate ratio of 4 : 3, find x.
Answer
(5x + 3)/(3x + 1) = (4)3/(3)3







23. If r2 = pq, Show that p : q is the duplicate ration of (p + r) : (q + r)
Answer
p/q = (p + r)2/(q + r)2







24. A sum of money is divided in the ratio 2 : 3. If the larger portion is Rs 7, 47,300. Find the sum distributed.
Answer
2/3 = x/(7,47,300)




25. Divide a number into two parts in the ratio 5 : 7 so that smaller part is 60. Find the number.
Answer
5/7 = 60/x
⇒ 5x = 420
⇒ x = 84
Number = 84 + 60 = 144
dlt25365586521488083375">
26. A bag contains Rs 1800 in the form of Re 1, Rs 2 and Rs 5 coins. The ratio of the number of the respective coins is 3 : 7 : 11. Find the total number of coins in the bag.
Answer
Let the number of Re 1, Rs 2 and Rs 5 coins be 3x, 7x and 11x



27. The present age of two persons are in the ratio 4 : 3. /nine years hence their ages will be in the ratio 23 : 18. Find their present ages.
Answer
Let present ages be 4x and 3x.





28. The ratio of the pocket money saved by a boy and his sister is 5 : 4. If the brother saves Rs 100 more, how much more should the sister save in order to keep the ratio of their savings unchanged ?
Answer
Let money saved by the boy and her sister be 5x and 4x and let the sister need to save Rs y more





29. A cistern of milk contains a mixture of milk and water in the ration 11 : 4. If the cistern contains 60 litres of milk, how much more water must be added to make he ratio of milk to water as 11: 6 ?
Answer
Quantity of milk = 60 × 11/15 = 44 litres



30. In an examination the ratio of the number of successful candidates to unsuccessful candidates is 7 : 5. Had 30 more appear and 10 more passed, the ratio of successful candidates to unsuccessful candidates would have been 4 : 3. Find the number of candidates who appeared in the examination originally.
Answer
Let successful candidates be 7x and unsuccessful candidates be 5x.





Exercise 9.2
1. Find the value of the unknown in the following proportions:
(i) 5 : 12 : : 15 : x
(ii) 3 : 4 : : p : 12
(iii) 1/2 : m : : 14/9 : 4/3
(iv) a : 9/2 : : 7/2 : 11/2
Answer
(i) 5 : 12 : : 15 : x





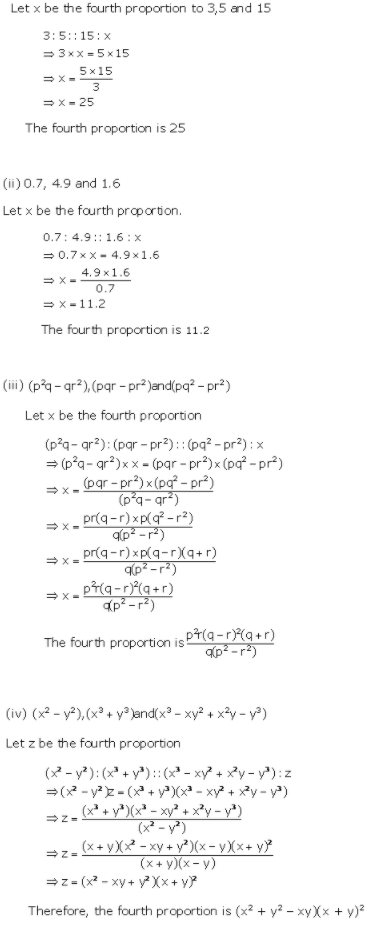
2. Find the fourth proportion to the following:
(i) 3, 5 and 15
(ii) 0.7, 4.9 and 1.6
(iii) (p2q - qr2).(pqr - pr2) and (pq2 - pr2)
(iv) (x2 - y2), (x3 + y3) and (x3 - xy2 + x2y - y3)
Answer
(i) 3, 5 and 15





3. Find the third proportion to the following:
(i) 3 and 15
(ii) 16x2 and 24x
(iii) (x - y) and m(x - y)
(iv) 9/25 and 18/25
Answer
(i) 3 and 15





4. Find the mean proportion of the following:
(i) 24 and 6
(ii) 0.09 and 0.25
(iii) ab3 and a3b
(iv) 28/3 and 175/27
Answer
(i) 24 and 6





5. If x, 12 and 16 are in continued proportion, find x.
Answer
Since x, 12 and 16 are in continued proportion





6. If 1/12, x and 1/75 are in continued proportion, find x.
Answer
Since 1/12, x and 1/75 are in continued proportion





7. If y is the mean proportional between x and z, show that :
xyz(x + y + z)3 = (xy + yz + xz)3
Answer
Since y is the mean proportion between x and z





8. If y is the mean proportional between x and y; show that y(x + z) is the mean proportional between x2 + y2 and y2 + z2.
Answer
Since y is the mean proportion between x and z.





9. If three quantities are in continued proportion, show that the ratio of the first to the third is the duplicate ratio of the first to the second.
Answer
Let x, y and z are the three quantities which are in continued proportion.





10. Given four quantities p, q, r and s are in proportion, show that q2(p - r): rs(q - s) = (p2 - r2 - pq) : (r2 - s2 - rs).
Answer
p, q, r and s are in proportion then, p : q : : r : s





11. If a : b = c : d; then show that (ax + by) : b = (cx + dy) : d
Answer
a/b = c/d ⇒ ax/b = cx/d





12. If (a + c) : b = 5 : 1 and (bc + cd) = 5 : 1, then prove that a: b = c : d
Answer
(a + c)/b = 5/1





13. Find the smallest number that must be subtracted from each of the number 20, 29, 84 and 129 so that they are in proportion.
Answer
Let x be subtracted from each number so that 20 - x, 29 - x, 84 - x and 129 - x are in proportion.




14. Find two numbers mean proportional is 12 and the third proportional is 324.
Answer
Let a and b be the two numbers, whose mean proportional is 12.





15. Find two numbers whose mean proportional is 18 and the third proportional is 486.
Answer
Let a and b be the two numbers, whose mean proportional is 18.





Exercise 9.3
1. If a : b : : c : d, then prove that
(i) 2a + 7b : 2a - 7b = 2c + 7d : 2c - 7d
(ii) 7a + 11b : 7a - 11b = 7c + 11d : 7c - 11d
(iii) (4 + 9b)/(4c + 9d) = (4a - 9b)/(4c - 9d)
(iv) (ax + by) : (cx + dy) = (ax - by) : (cx - dy)
Answer
(i) 2a + 7b : 2a - 7b = 2c + 7d : 2c - 7d







2. If (7a + 12b)/(7c + 12d) = (7a - 12b)/(7c - 12d), then prove that a/b = c/d.
Answer
(7a + 12b)/(7c + 12d) = (7a - 12b)/(7c - 12d)







3. If (7m + 8n)(7p - 8q) = (7m - 8n)(7p + 8q), then prove that m : n = p : q
Answer
(7m + 8n)(7p - 8q) = (7m - 8n)(7p + 8q)







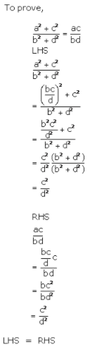
4. If a : b = c : d, then prove that (a2 + c2)/(b2 + d2) = ac/bd
Answer
a/b = c/d

⇒ a = bc/d





5. If a : b = c : d, then prove that (a2 + ab + b2)/(a2 - ab + b2) = (c2 + cd + d2)/(c2 - cd + d2)
Answer
a/b = c/d

⇒ a = bc/d





6. If a : b : : c : d : : e : f, then prove that (ae + bf)/(ae - bf) = (ce + df)/(ce - df)
Answer
a/b = c/d = e/f





7. If p, q, r and s are in continued proportion, then prove that (p3 + q3 + r3) : (q3 + r3 + s3) : : p : s
Answer
p/q = q/r = r/s = k





8. If u, v, w and x are in continued proportion, then prove that (2u + 3x) : (3u + 4x) : : (2u3 + 3v3) : (3u3 + 4v3)
Answer
u/v = v/w = w/x = a





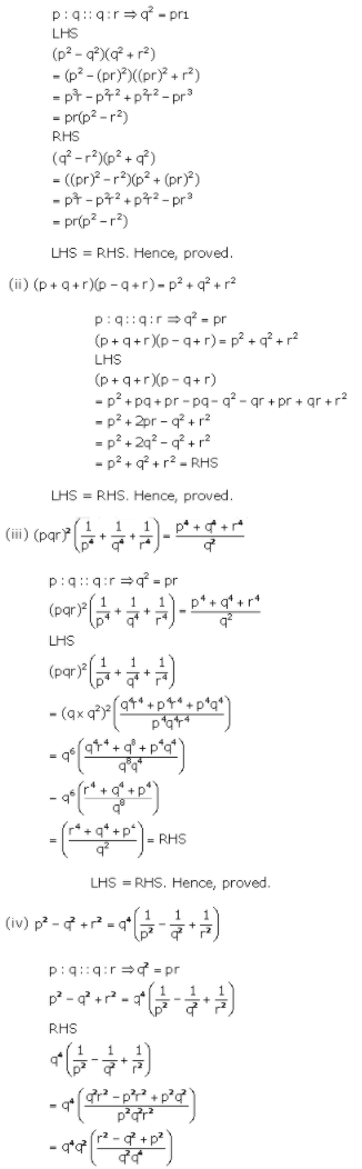
9. If p, q and r in continued proportion, then prove the following:
(i) (p2 - q2)(q2 + r2) = (q2 - r2)(p2 + q2)
(ii) (p + q + r)(p - q + r) = p2 + q2 + r2
(iii) (pqr)2 (1/p4 + 1/q4 + 1/r4) = (p4 + q4 + r4)/q2
(iv) p2 - q2 + r2 = q4 (1/p2 - 1/q2 + 1/r2)
Answer
(i) (p2 - q2)(q2 + r2) = (q2 - r2)(p2 + q2)











10. If a, b, c and d are in continued proportion, then prove that
(i) ad(c2 + d2) = c3(b + d)
(ii)







(iii) (a + d)(b + c) - (a + c)(b + d) - (b - c)2
Answer
(i) ad(c2 + d2) = c3(b + d)





11. If x/(b + c - a) = y/(c + a - b) = z/(a + b - c), then prove that each ratio is equal to the ratio of (x + y + z)/(a + b + c).
Answer
x/(b + c - a) = y/(c + a - b) = z/(a + b - c) = k





12. If a/(b + c) = b/(c + a) = c/(a + b), then prove that a(b - c) + b(c - a) + c(a - b) = 0
Answer
a/(b + c) = b(c + a) = c/(a + b) = k





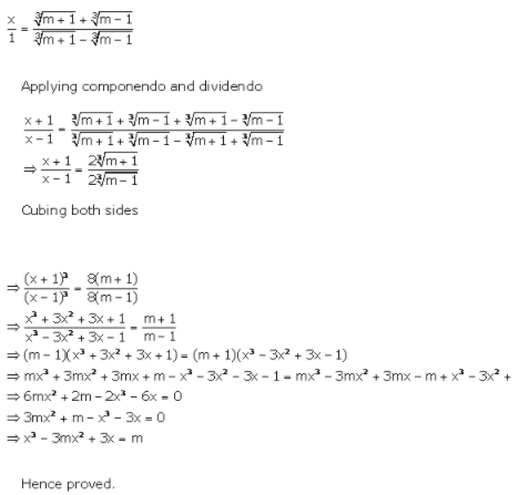
13. If x =



then prove that x3 - 3mx2 + 3x = m
Answer










14. If x = pab/(a + b), then prove that (x + pa)/(x - pa) + (x + pb)/(x - pb) = 2(a2 - b2)/ab
Answer
x = pab/(a + b) ⇒ x/pa = b/(a + b)





15. Show that the value of x is 11, when (x3 + 3x)/(3x2 + 1) = 341/91
Answer
(x3 + 3x)/(3x2 + 1) = 341/91